Neoproterozoic volcanosedimentary and plutonic complexes of Northern Ulutau (Central Kazakhstan)
- Authors: Tretyakov A.A.1, Zhuravlev A.N.1, Degtyarev K.E.1, Kanygina N.A.1, Salnikova E.B.2, Kotov A.B.3, Plotkina Y.V.2, Skuzovatov S.Y.4, Fedorov B.V.5
-
Affiliations:
- Geological Institute of the Russian Academy of Sciences
- Institute of Precambrian Geology and Geochronology, Russian Academy of Sciences
- Institute of Precambrian Geology and Geochronology
- Vinogradov Institute of Geochemistry of the Siberian Branch RAS
- Sergo Ordzhonikidze Russian State University for Geological Prospecting (MGRI)
- Issue: No 3 (2024)
- Pages: 3-29
- Section: Articles
- URL: https://journals.rcsi.science/0016-853X/article/view/268308
- DOI: https://doi.org/10.31857/S0016853X24030013
- EDN: https://elibrary.ru/FGOCZS
- ID: 268308
Cite item
Full Text
Abstract
The article presents the results of studying and substantiating the age of Late Precambrian volcanogenic sedimentary and plutonic complexes of the northern part of the Ulutau terrane (Northern Ulutau) in the west of Central Kazakhstan. The age estimates obtained (SHRIMP II, ID-TIMS, LA-ICP-MS) indicate the formation of acidic effusions and granitoids in the second half of the Tonian Neoproterozoic period ~835‒747 million years ago. Geochronological and isotope-geochemical data allow us to consider these formations as analogues of stratified and plutonic complexes of Southern Ulutau, formed in various parts of the lateral series of structures of the late precambrian active continental margin.
Keywords
Full Text
ВВЕДЕНИЕ
В западной части Центрально-Азиатского складчатого пояса, которая охватывает территории Казахстана, Киргизии и северо-западного Китая, террейны с докембрийской континентальной корой, занимающие около 50% площади, располагаются среди нижнепалеозойских аккреционных и островодужных комплексов (рис. 1).
Рис. 1. Схема расположения докембрийских террейнов в западной части Центрально-Азиатского складчатого пояса.
Обозначены докембрийские террейны: К – Кокчетавский; И – Ишкеольмесский; Е-Н – Ерементау-Ниязский; АМ – Актау-Моинтинский; У – Улутауский; Ч-К – Чуйско-Кендыктасский; ИЛ – Илийский; ИК – Иссыккульский; ЦТ – Центрально-Тяньшаньский.
1 ‒ кайнозойские отложения; 2 ‒ докембрийские террейны; 3‒5 ‒ комплексы: 3 ‒ нижнепалеозойские вулканогенно-осадочные, 4 ‒ средне-верхнепалеозойские вулканогенно-осадочные, 5 ‒ докембрийские и палеозойские Таримского кратона; 6 ‒ крупные разрывные нарушения; 7 ‒ государственная граница
В строении этих террейнов участвуют раннедокембрийские и мезопротерозойские метаосадочные и метамагматические комплексы, но явно преобладающими являются магматические и осадочные породы неопротерозоя. Особенности строения и состава мезо- и неопротерозйоских комплексов, позволили выделить среди докембрийских террейнов этой части пояса северо-восточную (Исседонскую) и юго-западную (Улутау-Моюнкумскую) группы, различающихся особенностями позднедокембрийской тектоно-магматической эволюции [20].
Характерным элементом строения большинства докембрийских террейнов Улутау-Моюнкумской группы, в которую входят террейны Улутауский, Чуйско-Кендыктасский, Жельтавский, Срединного Тянь-Шаня, Малого Каратау и Таласского Алатау, являются в различной степени метаморфизованные вулканогенно-осадочные толщи кислого состава, прорванные массивами гранитоидов, дифференцированные и бимодальные вулканогенно-осадочные, в том числе железорудные, серии. Возраст этих комплексов традиционно принимался в широком диапазоне как раннего, так и позднего протерозоя [4, 5].
В 2014‒2024 гг. были получены новые данные о формировании большей части докембрийских стратифицированных и плутонических комплексов этой группы террейнов в сравнительно узком интервале неопротерозоя – с середины тонийского до начала криогенийского периодов [20]. Также было показано, что их формирование происходило в разных сегментах активной континентальной окраины, располагавшейся либо на северо-западе суперконтинента Родиния, либо на независимом от Родинии позднедокембрийском континенте [10, 18]. Возрастные и палеотектонические аналоги рассматриваемых комплексов участвуют в строении северо-западной части Таримского кратона и кратона Янцзы, где их образование связывают с эволюцией дуги Паньси-Ханьнань [31, 41].
Наиболее полно комплексы различных частей латерального ряда структур позднедокембрийской активной континентальной окраины представлены на юге Улутауского террейна (Южный Улутау) на западе Центрального Казахстана [10, 11] (см. рис. 1). Здесь выделяются субмеридиональные зоны, различающиеся строением, составом и возрастом неопротерозойских комплексов, участвующих в их строении (рис. 2).
Рис. 2. Схема геологического строения Улутауского террейна (по [15], с дополнениями).
Показаны (контур) районы детальных исследований: 1 ‒ междуречье Ащи-Тасты – Жаксы-Коянды, 2 ‒ междуречье Жаксы-Каянды и Улькен-Сабасалды-Тургай, 3 – горы Жаксы-Араганаты.
1 ‒ мезозойско‒кайнозойские отложения; 2 – девонские и каменноугольные вулканогенные толщи; 3 – палеозойские гранитоиды; 4‒9 ‒ толщи: 4 ‒ нижнепалеозойские кремнисто-терригенные и терригенные, 5 – эдиакарские вулканогенно-осадочные и грубообломочные, 6 – позднетонийские вулканогенно-осадочные и грубообломочные боздакской серии, 7 – средне- и позднетонийские вулканогенно-осадочные (аралбайская серия), 8 – средне-позднетонийские и эдиакарские (карсакпайская серия), 9 ‒ средне-позднетонийские и эдиакарские (белеутинская серия); 10 – метаморфические комплексы (бектурганская и баладжездинская серии); 11 – среднетонийские вулканогенно-осадочные толщи кислого состава (майтюбинская и коксуйская серии); 12 ‒ карсакпайский комплекс щелочных сиенитов; 13 – массивы среднетонийских гранитоидов; 14 – геологические границы
В западной (Майтюбинской) зоне распространены анорогенные вулканогенные и вулканогенно-осадочные толщи кислого состава (майтюбинская и коксуйская серии), входящие вместе с гранитоидами Жаункарского и Актасского комплексов, в состав вулкано-плутонических ассоциаций. Их формирование происходило в интервале 790‒~830 млн лет во внутриплитной обстановке и связано с рифтогенными процессами в тыловой области активной окраины [10]. В восточной (Карсакпайской) зоне распространены дифференцированные, бимодальные вулканогенные и вулканогенно-осадочные толщи (аралбайская и белеутинская серии). Формирование этих комплексов было приурочено к фронтальной области активной окраины (энсиалическая дуга) и связано с двумя этапами надсубдукционного магматизма ~840‒820 и ~760 млн лет [11].
Аналоги стратифицированных и плутонических комплексов Южного Улутау традиционно выделялись и в северной части этого террейна (Северный Улутау) [13‒15]. Однако достоверные изотопно-геохимические и геохронологические данные подтверждающие такие корреляции до настоящего времени отсутствовали.
Нами в последние годы были проведены детальные работы по комплексному изучению докембрийских комплексов Северного Улутау. Цель настоящей статьи ‒ установить их возраст, сделать обоснованные предположения об обстановках формирования и разработать общую модель геодинамической эволюции Улутауского террейна в составе позднедокембрийской активной континентальной окраины.
ГЕОЛОГИЧЕСКИЙ ОЧЕРК
Особенности геологического строения стратифицированных и плутонических комплексов Северного Улутау
В Северном Улутау докембрийские комплексы представлены в различной степени метаморфизованными вулканогенными, вулканогенно-осадочными, осадочными и интрузивными образованиями (см. рис. 2, рис. 3).
Рис. 3. Схема расчленения доэдиакарских стратифицированных и плутонических комплексов Северного Улутау.
1 – эпидот-хлоритовые сланцы, рассланцованные туфы, эффузивы основного состава; 2 – мраморизованные известняки; 3 – железистые сланцы и кварциты; 4 – кварц-серицитовые сланцы; 5‒6 ‒ эффузивы: 5 – кислого состава, 6 – среднего состава; 7– кианитовые кварциты; 8 – туфопесчаники, туфоалевролиты; 9 – туфы кислого состава; 10 – пара- и ортогнейсы; 11 ‒ амфиболиты и амфиболовые сланцы; 12 ‒ массивы рассланцованных гранитоидов
Наиболее низкое положение в структуре Северного Улутау занимают сланцы, гнейсы и амфиболиты бектурганской серии, которая ранее относилась к архею-нижнему протерозою [13, 14, 16]. Детальные исследования бектурганской серии, проведенные авторами несколько лет назад, позволили установить, что формирование этого комплекса происходило во второй половине тонийского периода неопротерозоя в интервале 788‒762 млн лет, а его дометаморфическими протолитами являлись являлись вулканогенные, туффогенные и терригенные породы, которые входили в состав риолит-базальтовой вулканогенно-осадочной ассоциации [7] (см. рис. 3).
Более высокое положение в структуре Северного Улутау занимают слабометаморфизованные вулканогенно-осадочные толщи, которые наиболее широко распространены в междуречье Ащи-Тасты – Жаксы-Коянды и в горах Жаксы-Арганаты (см. рис. 3).
Междуречье Ащи-Тасты – Жаксы-Коянды. В верховьях реки Ащи-Тасты среди докембрийских стратифицированных образований, участвующих в строении крупной антиклинальной складки, выделены вулканогенный и вулканогенно-осадочный комплексы (рис. 4).
Рис. 4. Схема геологического строения междуречья Ащи-Тасты–Жаксы-Коянды (по [15], с дополнениями и исправлениями).
1 – кайнозойские отложения; 2 – девонские вулканогенные толщи; 3 – позднетонийский вулканогенно-осадочный комплекс (эффузивы, туфы основного, кислого состава, сланцы с горизонтами железистых кварцитов и мраморов); 4–5 ‒ среднетонийский вулканогенный комплекс: 4 – эффузивы, туфы среднего, кислого состава, 5 – кианитовые кварциты; 6 – рассланцованные гранитоиды Акжарского массива; 7 – границы: а ‒ геологические, б ‒ тектонические; 8 ‒ точки отбора и номера проб для геохронологических исследований
Вулканогенный комплекс
Вулканогенный комплекс залегает в ядре антиклинали и объединяет рассланцованные эффузивы среднего, кислого состава и игнимбриты с реликтовой структурой фьямме и флюидально-полосчатой текстурой, которые чередуются с маломощными горизонтами эпидот-хлоритовых сланцев мощностью до 1200 м [15]. В эффузивах сохраняется отчетливая порфировая структура, выраженная реликтовыми вкрапленниками плагиоклаза (олигоклаз-андезит) и кварца, которые погружены в мелкозернистый лепидогранобластовый агрегат, сложенный кварцем, полевыми шпатами, мусковитом и биотитом.
Характерным элементом строения вулканогенной толщи является пачка кварцитов (мощностью до 200 м), чередующихся с редкими прослоями эффузивов. В кварцитах присутствуют крупные (до 2 см) призматические выделения кианита, погруженные в мелкозернистый лепидогранобластовый агрегат из кварца, мусковита, рутила, что определяют порфиробластовую структуру породы.
Вулканогенно-осадочный комплекс
Он перекрывает с несогласием рассланцованные кислые эффузивы и игнимбриты и слагает крылья антиклинали. В низах его разреза преобладают кварц-серицитовые метатерригенные сланцы с горизонтами железистых кварцитов и мраморов, которые вверх сменяются рассланцованными туфами и эффузивами основного состава.
В верховье р. Ащи-Тасты вулканогенный комплекс прорван гранитоидами Акжарского массива (см. рис. 4).
В его строении преобладают неравномерно рассланцованные, крупнозернистые граниты с реликтовой порфировидной структурой, обусловленной наличием крупных выделений щелочного полевого шпата, которые погружены в более мелкозернистый агрегат, сложенный кварцем и плагиоклазом (олигоклаз). Второстепенные минералы представлены арфедсонитом и хлоритизированным биотитом.
Южнее верховья р. Ащи-Тасты (в междуречье р. Жаксы-Коянды и р. Улькен-Сабасалды-Тургай) стратифицированные комплексы прорваны гранитоидами Соуктальского массива, которые представлены рассланцованными крупнозернистыми гранитами, с участками порфировидной структуры (рис. 5).
Рис. 5. Схема геологического строения междуречья Жаксы-Каянды и Улькен-Сабасалды-Тургай (по [15], с изменениями и дополнениями).
1 – кайнозойские отложения; 2 ‒ девонские и каменноугольные вулканогенные толщи; 3 ‒ позднетонийский вулканогенно-осадочный комплекс (эффузивы, туфы основного, кислого состава, сланцы с горизонтами железистых кварцитов и мраморов); 4 ‒ метаморфические комплексы (бектурганская серия); 5 ‒ среднетонийский вулканогенный комплекс (эффузивы, туфы среднего, кислого состава); 6 – позднеордовикские гранитоиды; 7 – раннепалеозойские (?) ультрабазиты; 8 – рассланцованные гранитоиды Соуктальского массива; 9 – разрывные нарушения; 10 – геологические границы; 11 ‒ точки отбора и номера проб для геохронологических исследований
Главными минералами здесь являются щелочной полевой шпат, кварц и плагиоклаз (олигоклаз-андезин) в равных соотношениях, а второстепенными – роговая обманка, биотит и мусковит.
Горы Жаксы-Арганаты. В горах Жаксы-Арганаты докембрийские образования участвуют в строении крупной субмеридиональной антиклинальной складки протяженностью на 65 км и ширине до 60 км (рис. 6).
Рис. 6. Схема геологического строения гор Жаксы-Арганаты (по [15], с изменениями и дополнениями).
1 – кайнозойские отложения; 2‒4 – бимодальный вулканогенно-осадочный комплекс: 2 – базальты и туфы базальтового состава, 3 – филлитовидные сланцы, железистые сланцы и кварциты, конгломераты, 4 – туфы, туфопесчаники, туфоалевролилиты, туффиты и эффузивы кислого состава; 5 – дифференцированый комплекс (эффузивы, туфы среднего и кислого состава); 6 ‒ позднепалеозойские гранитоиды; 7 – раннепалеозойские (?) ультрабазиты; 8 – позднедокембрийские дайки основного состава; 9 – границы: а – геологические, б ‒ тектонические; 10 – точки отбора и номера проб для геохронологических исследований
Она образована толщей вулканогенных, туфогенно-терригенных и осадочных пород, которая может быть разделена на дифференцированный и бимодальный вулканогенно-осадочные комплексы (см. рис. 3).
Дифференцированный комплекс
Этот комплекс мощностью до 1000 м слагает ядро антиклинали и в основном сложен полевошпат- и кварц-полевошпат порфировыми эффузивами, которые чередуются с пачками туфов и туфопесчаников.
Бимодальный комплекс
Этот комплекс мощностью до 3000 м залегает на крыльях антиклинали, в низах его разреза преобладают лито-кристаллокластические туфы разной размерности с горизонтами туфопесчаников, туфоалевролитов и туффитов с хорошо проявленной слоистостью, вверх по разрезу они сменяются кварц-полевошпатовыми порфировыми эффузивами. Выше залегают филлитовидные кварц-серицитовые сланцы с горизонтами железистых сланцев и кварцитов. На некоторых участках ниже сланцев присутствуют горизонты конгломератов с галькой туфов и эффузивов подстилающих вулканогенно-осадочных пород. Верхи разреза комплекса представлены эффузивами основного состава и зелеными сланцами по туфам и туффитам.
ДАННЫЕ U‒Pb ГЕОХРОНОЛОГИЧЕСКИХ ИССЛЕДОВАНИЙ
Для обоснования возраста вулканических и плутонических пород были проведены U‒Pb геохронологические исследования акцессорных цирконов (табл. 1).
Таблица 1. Характеристика проб, использованных для изотопно-геохронологических U–Th–Pb исследований и полученные оценки возраста
Образец | Широта (с.ш.) | Долгота (в.д.) | Место отбора проб | Порода | Тип цирконов | Возраст (млн лет) |
U-1641 | 49°48′46.80″ | 66°21′18.70″ | р. Улькен-Сабасалды-Тургай | гранит | акцессорные | 835 ± 6 |
U-1646 | 50°13′35.90″ | 66°33′6.10″ | р. Байкожа | трахидацит | акцессорные | 833 ± 12 |
U-1643 | 50° 7′35.40″ | 66°34′7.20″ | р. Ащи-Тасты | гранит | акцессорные | 797 ± 3 |
U-1805 | 50°13′15.80″ | 66°32′12.90″ | р. Байкожа | кварцит | акцессорные | 828 ± 3 |
U-1835 | 49°20′12.90″ | 66°56′30.40″ | р. Балга | риолит | акцессорные | 747 ± 4 |
Выделение циркона из кислых вулканитов и гранитоидов проводилось в ГИН РАН (г. Москва, Россия) по стандартной методике с использованием тяжелых жидкостей. Геохронологические исследования классическим U‒Pb методом (ID-TIMS) выполнены в лаборатории изотопной геологии Института геологии и геохронологии докембрия РАН (г. Санкт-Петербург, Россия) в соответствии с методикой, изложенной в [6], локальным методом (SIMS) – в Центре изотопных исследований Института Карпинского (г. Санкт-Петербург, Россия) по методике, приведенной в [3, 29].
Также U–Pb датирование цирконов проводилось методом лазерной абляции с индукционно-связанной плазмой и масс-спектрометрическим окончанием (LA-ICP-MS) в Департаменте геологических наук Национального университета Тайваня (г. Тайпей, Тайвань) по методике [19].
Пробы пород междуречья Ащи-Тасты–Жаксы-Коянды
Для определения возраста вулканогенного комплекса была отобрана проба U-1646 (50°13′35.90″ с.ш., 66°33′6.10″ в.д.) из трахидациов по р. Байкожа (см. табл. 1). В них акцессорный циркон представлен субидиоморфными полупрозрачными кристаллами короткопризматического, призматического облика. Циркон розового, розовато-желтого цвета, как правило, характеризуется пониженным двупреломлением. Размер кристаллов изменяется от 50 до 150 мкм, коэффициент удлинения = 2.0‒3.0. Циркон характеризуется зональным строением, осцилляторная зональность часто нарушена.
U‒Pb изотопные исследования (ID-TIMS) были проведены для шести микронавесок (10‒25 кристаллов) циркона из размерных фракций 50‒100 и <85 мкм, предварительно подвергнутого как аэро-абразивной, так и кислотной обработкам с различной экспозицией (табл. 2: №№ 5–10).
Таблица 2. Результаты геохронологических U–Pb исследований зерен циркона методом ID-TIMS
№ п/п | Размерная фракция (мкм) и характеристика циркона | U/ Pb* | Изотопные отношения | Rho | Возраст (млн лет) | ||||||
206Pb/ 204Pb | 207Pb/ 206Pba | 208Pb/ 206Pb** | 207Pb/ 235U | 206Pb/ 238U | 207Pb/ 235U | 206Pb/ 238U | 207Pb/ 206Pb | ||||
U-1641 | |||||||||||
1 | <100, A = 20% | 7.0 | 717 | 0.0663 ± 1 | 0.1501 ± 1 | 1.1368 ± 23 | 0.1244 ± 1 | 0.83 | 771 ± 1 | 755 ± 1 | 816 ± 2 |
2 | 100‒150, A = 20% | 6.9 | 1489 | 0.0666 ± 1 | 0.1715 ± 1 | 1.2003 ± 22 | 0.1306 ± 1 | 0.80 | 801 ± 1 | 791 ± 1 | 827 ± 2 |
3 | 100‒150, кисл.обр = 3 | 7.1 | 16458 | 0.0668 ± 1 | 0.1483 ± 1 | 1.2464 ± 22 | 0.1353 ± 1 | 0.95 | 822 ± 1 | 818 ± 1 | 832 ± 1 |
4 | 100‒150, кисл.обр = 2 | 6.8 | 2306 | 0.0672 ± 1 | 0.1810 ± 1 | 1.2483 ± 23 | 0.1347 ± 1 | 0.94 | 823 ± 1 | 815 ± 1 | 844 ± 1 |
U-1646 | |||||||||||
5 | <85, ВО, кисл.обр. = 7.0 | 7.4 | 1077 | 0.0667 ± 1 | 0.1781 ± 1 | 1.1589 ± 24 | 0.1261 ± 1 | 0.77 | 781 ± 1 | 765 ± 1 | 827 ± 3 |
6 | <85, ВО, кисл.обр. = 3.0 | 6.6 | 378 | 0.0669 ± 2 | 0.1995 ± 1 | 1.1687 ± 35 | 0.1267 ± 1 | 0.64 | 786 ± 1 | 769 ± 1 | 835 ± 4 |
7 | <85, кисл.обр. = 3.0 | 7.0 | 1552 | 0.0667 ± 2 | 0.1674 ± 1 | 1.2021 ± 31 | 0.1308 ± 1 | 0.69 | 802 ± 2 | 792 ± 1 | 827 ± 4 |
8 | 50–100, A = 50% | 6.5 | 202 | 0.0669 ± 3 | 0.2177 ± 2 | 1.2455 ± 77 | 0.1350 ± 2 | 0.51 | 821 ± 3 | 816 ± 1 | 835 ± 11 |
9 | <85, ВО, кисл.обр. = 3.0 | 6.0 | 269 | 0.0672 ± 2 | 0.1934 ± 1 | 1.2201 ± 48 | 0.1316 ± 2 | 0.53 | 810 ± 4 | 797 ± 1 | 846 ± 8 |
10 | <85, ВО, кисл.обр. = 4.0 | 6.8 | 10637 | 0.0689 ± 1 | 0.1907 ± 1 | 1.2986 ± 22 | 0.1366 ± 1 | 0.95 | 845 ± 1 | 825 ± 1 | 897 ± 1 |
Примечание. * – навеска циркона не определялась; A = 20% ‒ количество вещества циркона, удаленное в результате аэро-абразивной обработки; ** – изотопные отношения, скорректированные на бланк и обычный свинец; Rho – коэффициент корреляции ошибок отношений 207Pb/235U–206Pb/238U; ВО ‒ высокотемпературный отжиг циркона; кисл. обр. = 3.0 – кислотная обработка циркона с заданной экспозицией (часы); величины ошибок (2σ) соответствуют последним значащим цифрам.
При этом в большинстве случаев кислотной обработке предшествовал высокотемпературный отжиг циркона (“химическая абразия”). Точки изотопного состава аппроксимируются дискордией, верхнее пересечение которой с конкордией отвечает возрасту 833 ± 12 млн лет, нижнее пересечение отвечает нулю (56 ± 220 млн лет), СКВО = = 1.5 (см. табл. 2: №№ 5–8; рис. 7, a).
Рис. 7. Диаграммы с конкордией для цирконов: (а) ‒ из трахидацитов (проба U-1646); (б) – для цирконов из кианитовых кварцитов (проба U-1805) Ащи-Тасты – Жаксы-Коянды.
При этом две точки состава циркона, подвергнутого “химической абразии”, располагаются правее этой дискордии, что, очевидно, связано с присутствием унаследованной компоненты радиогенного свинца (см. табл. 2: №№ 9, 10).
Принимая во внимание морфологические особенности изученного циркона, указывающие на его магматическое происхождение, есть все основания рассматривать оценку возраста 833 ± 12 млн лет в качестве оценки возраста его кристаллизации.
Также отобрана проба U-1805 (50°13′15.80″ с.ш., 66°32′12.90″ в.д.) из толщи кианитовых кварцитов по р. Байкожа (Supplement 1: Tabl. S1).
В них акцессорный циркон обладает кристалломорфологическими особенностями близкими к пробе U-1646. Преобладают субидиоморфные прозрачные и полупрозрачные кристаллы короткопризматического, призматического облика розовато-желтого и желтого цвета. Размер кристаллов изменяется от 50 до 200 мкм, коэффициент удлинения = 2.0‒3.0. Циркон характеризуется зональным строением. U‒Pb изотопные исследования (LA-ICP-MS) были выполнены для 73 кристаллов циркона, для которых получено 47 конкордатных оценок возраста. Конкордантный возраст, рассчитанный по отношению 206Pb/238U, составляет 828 ± 3 млн лет (см. рис. 7, б).
Учитывая морфологические особенности циркона, указывающие на его магматическое происхождение, полученная оценка возраста принимается в качестве оценки возраста его кристаллизации.
Для установления возраста гранитоидов Соуктальского массива была отобрана проба U-1641 (49°48′46.80″ с.ш., 66°21′18.70″ в.д.) из амфибол-биотитовых гранитов в междуречье Жаксы-Каянды и Улькен-Сабасалды-Тургай (см. табл. 1). В них акцессорный циркон представлен идиоморфными и субидиоморфными короткопризматическими и призматическими кристаллами. Зерна прозрачные, реже полупрозрачные имеют светло-желтую окраску. Циркон характеризуется тонкой осцилляторной зональностью и секториальностью, а также наличием большого количества минеральных включений. Размер кристаллов изменяется от 50 до 250 мкм, коэффициент удлинения = 2.0‒3.0.
Для U‒Pb (ID-TIMS) геохронологических исследований выбраны четыре микронавески наиболее “чистых” и прозрачных кристаллов циркона из размерных фракций <100 и 100‒150 мкм, подвернутых предварительной обработке:
- аэро-абразивной (см. табл. 2: №№ 1, 2);
- кислотной (см. табл. 2: №№ 2, 3).
Точки изотопного состава циркона № 1‒3 аппроксимируются дискордией, верхнее пересечение которой с конкордией соответствует возрасту 835 ± 6 млн лет (СКВО = 0.18, нижнее пересечение составляет 225 ± 92 млн лет) (рис. 8, а).
Рис. 8. Диаграммы с конкордией: (а) ‒ для цирконов из гранитоидов Соуктальского (проба U-1641) массива; (б) ‒ для цирконов из гранитоидов Акжарского (проба U-1643) массива.
Точка изотопного состава циркона микронавески № 4 располагается правее дискордии, а величина возраста (207Pb/206Pb) этого циркона несколько древнее и составляет 844 ± 1 млн лет, что указывает на присутствие в нем древней компоненты радиогенного свинца. Морфологические особенности изученного циркона свидетельствуют о его магматическом происхождении, следовательно, полученное значение возраста 835 ± 6 млн лет можно рассматривать в качестве наиболее точной оценкой возраста образования.
Для установления возраста гранитоидов Акжарского массива была отобрана проба U-1643 (50°7′35.40″ с.ш., 66°34′7.20″ в.д.) из арфедсонитовых гранитов по р. Ащи-Тасты. В них акцессорный циркон представлен идиоморфными и субидиоморфными кристаллами длинно призматического габутиса, а также их обломками.
Циркон розового, розовато-желтого цвета, как правило характеризуется пониженным двупреломлением и зональным строением. Размер кристаллов изменяется от 100 до 300 мкм, коэффициент удлинения = 3.0‒4.0. U‒Pb (SIMS) геохронологические исследования были выполнены для 7 кристаллов циркона (табл. 3).
Таблица 3. Результаты геохронологических U–Pb исследований зерен циркона локальным методом (SIMS)
Проба (номер анализа) | 206Pbс (%) | Содержание (мкг/г) | Изотопные отношения | Rho | Возраст (млн лет) | |||||
206Pb* | U | Th | 232Th/238U | 207Pb*/206Pb* | 207Pb*/235U | 206Pb*/238U | 206Pb/238U | |||
U-1643 | ||||||||||
10.1 | 1.73 | 60.9 | 539 | 119 | 0.23 | 0.0659 ± 2.2 | 1.174 ± 2.4 | 0.1292 ± 1.0 | 0.42 | 783.2 ± 7.5 |
5.1 | 0.20 | 47.5 | 422 | 253 | 0.62 | 0.0666 ± 1.2 | 1.203 ± 1.5 | 0.1310 ± 1.0 | 0.65 | 793.3 ± 7.4 |
12.1 | 0.16 | 41.5 | 367 | 193 | 0.54 | 0.0648 ± 1.2 | 1.174 ± 1.6 | 0.1314 ± 1.0 | 0.63 | 795.8 ± 7.5 |
13.1 | 0.31 | 37.5 | 331 | 141 | 0.44 | 0.0645 ± 1.5 | 1.169 ± 1.8 | 0.1315 ± 1.0 | 0.56 | 796.6 ± 7.6 |
3.1 | 0.13 | 137.0 | 1209 | 458 | 0.39 | 0.0657 ± 0.6 | 1.190 ± 1.2 | 0.1315 ± 1.0 | 0.84 | 796.3 ± 7.3 |
11.1 | 0.09 | 19.7 | 174 | 111 | 0.66 | 0.0660 ± 1.5 | 1.200 ± 1.9 | 0.1318 ± 1.2 | 0.61 | 798.0 ± 8.6 |
2.1 | 0.93 | 39.6 | 346 | 150 | 0.45 | 0.0662 ± 2.2 | 1.208 ± 2.4 | 0.1322 ± 1.0 | 0.43 | 800.5 ± 7.7 |
U-1835 | ||||||||||
3.1 | 0.19 | 40.5 | 406 | 351 | 0.89 | 0.0652 ± 2.3 | 1.0427 ± 3.2 | 0.1160 ± 2.3 | 0.70 | 707 ± 15 |
6.1 | ‒ | 147 | 1441 | 1759 | 1.26 | 0.0637 ± 0.9 | 1.0434 ± 1.4 | 0.1187 ± 1.1 | 0.77 | 723 ± 8 |
11.1 | 0.10 | 75.8 | 735 | 1958 | 2.75 | 0.0633 ± 1.5 | 1.0484 ± 1.8 | 0.1200 ± 1.0 | 0.54 | 731 ± 7 |
8.1 | 0.77 | 23.1 | 223 | 147 | 0.68 | 0.0602 ± 4.8 | 0.9998 ± 5.4 | 0.1204 ± 2.6 | 0.47 | 733 ± 18 |
17.1 | 0.28 | 25.8 | 249 | 185 | 0.77 | 0.0620 ± 3.1 | 1.0294 ± 3.3 | 0.1204 ± 1.0 | 0.31 | 733 ± 7 |
1.1 | 0.17 | 45.7 | 441 | 927 | 2.17 | 0.0632 ± 2.1 | 1.0500 ± 2.9 | 0.1205 ± 1.9 | 0.67 | 733 ± 13 |
13.1 | 0.28 | 95.5 | 920 | 767 | 0.86 | 0.0622 ± 1.6 | 1.0353 ± 2.4 | 0.1208 ± 1.7 | 0.73 | 735 ± 12 |
16.1 | 0.23 | 53.3 | 513 | 485 | 0.98 | 0.0617 ± 2.1 | 1.0303 ± 3.0 | 0.1211 ± 2.2 | 0.73 | 737 ± 15 |
15.1 | 0.03 | 83.4 | 799 | 780 | 1.01 | 0.0638 ± 1.3 | 1.0695 ± 1.4 | 0.1215 ± 0.7 | 0.46 | 739 ± 6 |
9.1 | ‒ | 60.8 | 582 | 558 | 0.99 | 0.0638 ± 1.5 | 1.0695 ± 2.3 | 0.1216 ± 1.7 | 0.73 | 740 ± 12 |
20.1 | 0.55 | 47.6 | 454 | 1209 | 2.75 | 0.0605 ± 2.8 | 1.0172 ± 2.9 | 0.1219 ±0.8 | 0.26 | 741 ±59 |
10.1 | 0.36 | 43.8 | 417 | 414 | 1.03 | 0.0635 ± 2.6 | 1.0722 ± 2.9 | 0.1224 ± 1.3 | 0.43 | 744 ± 9 |
2.1 | ‒ | 10.6 | 100 | 52 | 0.53 | 0.0664 ± 3.4 | 1.1268 ± 3.6 | 0.1231 ± 1.3 | 0.35 | 749 ± 9 |
12.1 | ‒ | 45.3 | 428 | 360 | 0.87 | 0.065 ± 1.9 | 1.1056 ± 2.7 | 0.1232 ± 1.9 | 0.71 | 749 ± 14 |
5.1 | 0.26 | 19.9 | 188 | 127 | 0.70 | 0.0635 ± 3.6 | 1.0814 ± 3.8 | 0.1235 ± 1.0 | 0.27 | 751 ± 7 |
7.1 | 0.29 | 25.3 | 238 | 429 | 1.86 | 0.0641 ± 3.2 | 1.0939 ± 4.1 | 0.1238 ± 2.6 | 0.63 | 753 ± 18 |
19.1 | ‒ | 30.9 | 289 | 258 | 0.92 | 0.0628 ± 2.1 | 1.0770 ± 2.9 | 0.1243 ± 2.0 | 0.70 | 755 ± 14 |
21.1 | 0.48 | 27 | 252 | 465 | 1.91 | 0.0615 ± 3.7 | 1.0561 ± 3.9 | 0.1246 ± 1.0 | 0.27 | 757 ± 7 |
4.1 | 0.17 | 42.2 | 388 | 495 | 1.32 | 0.0626 ± 2.1 | 1.0928 ± 2.3 | 0.1266 ± 0.8 | 0.35 | 769 ± 6 |
18.1 | 0.53 | 27.7 | 254 | 372 | 1.51 | 0.0611 ± 3.7 | 1.0728 ± 4.3 | 0.1273 ± 2.2 | 0.51 | 772 ± 16 |
22.1 | 0.21 | 82.6 | 748 | 1548 | 2.14 | 0.0625 ± 1.6 | 1.1077 ± 1.8 | 0.1286 ± 0.7 | 0.41 | 780 ± 5 |
Примечание. 206Pbс – обыкновенный Pb; 206Pb* – радиогенный Pb; Rho – коэффициент корреляции ошибок 207Pb/235U–206Pb/238U; ошибка измерений изотопных отношений дана (%) на уровне 1σ.
Конкордантный возраст, рассчитанный по отношению 206Pb/238U, составляет ‒ 797 ± 3 млн лет (см. рис. 8, б).
Пробы пород гор Жаксы-Арганаты
Для установления U‒Pb возраста акцессорного циркона из вулканогенных пород бимодального комплекса была отобрана проба U-1835 (49°20′12.90″ с.ш., 66°56′30.40″ в.д.) из риолитов по р. Балга (см. табл. 1). В них акцессорный циркон представлен идиоморфными и субидиоморфными короткопризматическими и призматическими кристаллами, а также их обломками. Зерна полупрозрачные, имеют розовато-желтую окраску. Размер кристаллов изменяется от 70 до 200 мкм, коэффициент удлинения ‒ 2.0‒3.0.
U‒Pb (SIMS) геохронологические исследования были выполнены для 21-го кристалла циркона (см. табл. 3). Конкордантный возраст, рассчитанный по отношению 206Pb/238U, составляет 747 ± 4 млн лет (рис. 9).
Рис. 9. Диаграмма с конкордией для цирконов из эффузивов бимодального комплекса (проба U-1835) гор Жаксы-Арганаты.
Для вулканогенных пород дифференцированного комплекса ранее была получена оценка возраста кристаллизации андезидацитов – 757 ± 7 млн лет [7].
Полученные данные позволяют считать, что формирование вулканогенно-осадочных и плутонических комплексов Северного Улутау происходило во второй половине тонийского периода неопротерозоя на протяжении трех временных интервалов: ~835‒825, ~800 и ~760‒740 млн лет.
ГЕОХИМИЧЕСКИЕ ОСОБЕННОСТИ ВУЛКАНИЧЕСКИХ И ПЛУТОНИЧЕСКИХ ПОРОД
Изучение состава магматических пород проводилось в лаборатории химико-аналитических исследований ГИН РАН (г. Москва, Россия) рентгено-флюоресцентным методом на спектрометре “S4 Pioneer” (Bruker, Germany) (главные петрогенные элементы) и в Аналитическом сертификационном испытательном центре Института микроэлектроники и особо чистых материалов РАН (г. Черноголовка, Московская обл., Россия) методами атомно-эмиссионной спектрометрии с индуктивно связанной плазмой на спектрометре “ICAP-61” (Thermo Jarrеll Ash, USA) и масс-спектрометрии с индуктивно связанной плазмой на спектрометре “Х-7” (Thermo Elemental, USA) (редкие и редкоземельные элементы). Изотопные Nd исследования валовых проб пород проводились в ЦКП ИГХ СО РАН (г. Иркутск, Россия) с использованием масс-спектрометра ThermoFinigan Neptune plus (Thermo Scientific, Bremen, Germany).
Магматические породы междуречья Ащи-Тасты–Жаксы-Коянды
Эффузивы вулканогенного комплекса по содержанию SiO2 (57.2–65.9 мас. %) и Na2O + K2O (8.3–9.8 мас. %) соответствуют трахиандезитам и трахидацитам щелочной серии (MALI = 8.15–9.35) (табл. 4, рис. 10).
Таблица 4. Содержание окислов (мас. %) и элементов (г/т) в эффузивных и интрузивных породах междуречья Ащи-Тасты–Жаксы-Коянды
Оксиды (мас. %) | Образец | ||||||||||
U1804 | U1805 | U1801 | U1802 | U1646 | U1645 | U1807 | U1641 | U1642 | U1643 | U1644 | |
вулканогенный комплекс | вулканогенно-осадочный комплекс | Соуктальский массив | Акжарский массив | ||||||||
кварциты | эффузивы | эффузивы | граниты | граниты | |||||||
SiO2 | 85.69 | 79.10 | 57.16 | 65.98 | 64.92 | 57.02 | 47.70 | 73.30 | 72.78 | 76.45 | 76.03 |
TiO2 | 0.13 | 0.13 | 0.83 | 0.52 | 0.58 | 0.81 | 1.30 | 0.29 | 0.28 | 0.09 | 0.12 |
Al2O3 | 12.06 | 16.59 | 21.63 | 15.12 | 16.22 | 21.14 | 14.08 | 13.18 | 13.57 | 12.02 | 12.31 |
Fe2O3 | 0.18 | 0.12 | 6.26 | 4.42 | 3.59 | 6.09 | 8.35 | 2.11 | 1.93 | 1.12 | 1.05 |
FeO | 0.10 | 0.10 | 0.16 | 0.14 | 0.18 | 0.18 | 7.18 | 0.15 | 0.46 | 0.21 | 0.11 |
MnO | 0.01 | 0.00 | 0.01 | 0.15 | 0.15 | 0.01 | 0.23 | 0.02 | 0.02 | 0.01 | 0.01 |
MgO | 0.02 | 0.02 | 0.63 | 0.30 | 0.50 | 1.26 | 5.42 | 0.59 | 0.33 | 0.10 | 0.16 |
CaO | 0.06 | 0.02 | 0.45 | 1.99 | 1.71 | 0.51 | 9.01 | 0.67 | 0.15 | 0.60 | 0.13 |
K2O | 0.90 | 2.00 | 7.84 | 5.80 | 6.78 | 7.75 | 1.19 | 5.21 | 5.76 | 5.18 | 5.93 |
Na2O | 0.20 | 0.29 | 1.96 | 3.55 | 3.08 | 2.07 | 2.23 | 3.57 | 3.88 | 3.80 | 3.87 |
P2O5 | 0.04 | 0.03 | 0.30 | 0.14 | 0.14 | 0.32 | 0.18 | 0.05 | 0.06 | 0.01 | 0.02 |
п.п.п. | 0.60 | 1.59 | 2.75 | 1.87 | 2.12 | 2.81 | 2.32 | 0.84 | 0.73 | 0.38 | 0.24 |
Сумма | 99.99 | 100.00 | 99.98 | 99.99 | 99.97 | 99.98 | 99.19 | 99.98 | 99.94 | 99.97 | 99.98 |
FeO* | 0.26 | 0.20 | 5.79 | 4.12 | 3.41 | 5.66 | 14.70 | 2.05 | 2.19 | 1.22 | 1.06 |
ASI | 8.93 | 6.30 | 1.78 | 0.97 | 1.06 | 1.72 | 0.67 | 1.04 | 1.06 | 0.93 | 0.95 |
MALI | 1.04 | 2.27 | 9.35 | 7.37 | 8.15 | 9.31 | –5.59 | 8.11 | 9.48 | 8.38 | 9.68 |
FeO*/FeO* + + MgO | 0.92 | 0.91 | 0.96 | 0.97 | 0.89 | 0.82 | 0.73 | 0.77 | 0.87 | 0.92 | 0.87 |
элемент (г/т) | U1804 | U1805 | U1801 | U1802 | U1646 | U1645 | U1807 | U1641 | U1642 | U1643 | U1644 |
Sc | 3.76 | 3.87 | ‒ | 10.99 | 7.88 | 9.49 | 42.85 | 2.20 | 2.00 | 0.70 | 1.60 |
V | 5.76 | 8.98 | ‒ | 38.90 | 13.30 | 100.14 | 363.47 | 14.90 | 14.90 | ‒ | ‒ |
Cr | 12.77 | 4.59 | ‒ | 7.49 | 6.60 | 4.47 | 157.91 | 11.00 | 9.50 | 19.50 | 15.40 |
Co | 0.16 | 0.20 | ‒ | 1.42 | 1.53 | 5.23 | 37.64 | 1.60 | 1.60 | 0.44 | 0.57 |
Ni | 6.90 | 3.48 | ‒ | 4.65 | 5.37 | 2.21 | 64.54 | 6.50 | 6.50 | 10.80 | 8.50 |
Cu | 2.42 | 2.33 | ‒ | 3.88 | 2.39 | 2.13 | 125.64 | 1.80 | 2.30 | 1.60 | 0.70 |
Zn | 4.81 | 4.05 | ‒ | 54.42 | 58.78 | 84.45 | 118.67 | 61.20 | 35.30 | 15.80 | 39.10 |
Ga | 14.20 | 16.58 | ‒ | 15.38 | 14.53 | 18.59 | 20.65 | 22.30 | 21.60 | 22.20 | 21.40 |
Rb | 13.34 | 34.04 | ‒ | 155.05 | 174.11 | 254.76 | 27.35 | 226.00 | 170.00 | 303.00 | 184.00 |
Sr | 39.89 | 35.39 | ‒ | 75.10 | 121.48 | 120.08 | 405.41 | 56.50 | 39.40 | 10.50 | 7.50 |
Y | 2.72 | 5.22 | ‒ | 23.97 | 23.46 | 20.87 | 29.47 | 67.20 | 45.00 | 135.20 | 93.80 |
Zr | 165.59 | 214.47 | ‒ | 273.84 | 211.40 | 184.78 | 26.49 | 268.00 | 246.00 | 243.00 | 358.00 |
Nb | 20.84 | 25.49 | ‒ | 21.29 | 17.54 | 13.64 | 8.54 | 24.60 | 21.60 | 51.70 | 20.50 |
Cs | 0.17 | 0.34 | ‒ | 1.44 | 2.19 | 6.95 | 0.71 | 1.80 | 1.10 | 0.77 | 0.68 |
Ba | 33.79 | 62.58 | ‒ | 1384.70 | 1376.68 | 1369.26 | 421.29 | 282.00 | 309.00 | 32.90 | 44.70 |
La | 40.49 | 37.39 | ‒ | 54.89 | 53.03 | 42.86 | 10.71 | 65.10 | 74.20 | 94.50 | 3.30 |
Ce | 53.23 | 61.36 | ‒ | 103.89 | 99.12 | 83.06 | 25.11 | 155.60 | 145.50 | 171.40 | 16.10 |
Pr | 3.75 | 4.73 | ‒ | 11.15 | 10.22 | 8.32 | 3.38 | 13.00 | 16.40 | 18.40 | 1.70 |
Nd | 8.25 | 13.09 | ‒ | 42.80 | 40.61 | 34.17 | 16.43 | 49.60 | 58.60 | 62.10 | 10.50 |
Sm | 0.65 | 1.54 | ‒ | 8.28 | 7.43 | 6.44 | 4.42 | 10.20 | 11.50 | 13.60 | 5.50 |
Eu | 0.05 | 0.10 | ‒ | 2.06 | 1.73 | 1.92 | 1.61 | 0.38 | 0.46 | 0.04 | 0.05 |
Gd | 0.51 | 1.08 | ‒ | 6.88 | 6.05 | 5.37 | 5.48 | 9.40 | 10.40 | 14.10 | 8.40 |
Tb | 0.08 | 0.14 | ‒ | 0.88 | 0.84 | 0.75 | 0.87 | 1.60 | 1.60 | 2.90 | 1.90 |
Dy | 0.50 | 0.89 | ‒ | 4.77 | 4.45 | 4.02 | 5.46 | 10.20 | 8.40 | 19.50 | 13.20 |
Ho | 0.11 | 0.19 | ‒ | 0.89 | 0.82 | 0.73 | 1.07 | 2.20 | 1.50 | 4.30 | 3.00 |
Er | 0.43 | 0.70 | ‒ | 2.59 | 2.49 | 2.11 | 2.99 | 6.80 | 4.40 | 13.80 | 9.90 |
Tm | 0.08 | 0.13 | ‒ | 0.38 | 0.36 | 0.30 | 0.39 | 1.00 | 0.62 | 2.10 | 1.60 |
Yb | 0.74 | 1.06 | ‒ | 2.59 | 2.45 | 2.13 | 2.32 | 6.70 | 4.20 | 13.90 | 10.60 |
Lu | 0.13 | 0.19 | ‒ | 0.40 | 0.38 | 0.30 | 0.31 | 0.95 | 0.61 | 1.90 | 1.60 |
Hf | 5.26 | 6.76 | ‒ | 6.56 | 5.62 | 4.68 | 0.76 | 8.70 | 8.00 | 12.40 | 13.60 |
Ta | 1.38 | 1.88 | ‒ | 1.20 | 1.05 | 0.76 | 0.52 | 1.60 | 1.50 | 3.70 | 1.70 |
Pb | 6.09 | 15.90 | ‒ | 15.59 | 9.08 | 5.99 | 5.00 | 27.90 | 10.20 | 15.20 | 6.00 |
Th | 13.56 | 16.02 | ‒ | 10.03 | 8.83 | 6.96 | 1.23 | 30.70 | 25.30 | 32.30 | 21.30 |
U | 1.86 | 1.20 | ‒ | 1.52 | 1.21 | 1.12 | 0.48 | 5.10 | 2.70 | 5.10 | 3.00 |
(Gd/Yb)n | 0.56 | 0.82 | ‒ | 2.15 | 1.99 | 2.04 | 1.91 | 1.13 | 2.00 | 0.82 | 0.64 |
(La/Yb)n | 37.11 | 23.88 | ‒ | 14.31 | 14.61 | 13.59 | 3.12 | 6.56 | 11.92 | 4.59 | 0.21 |
Eu/Eu* | 8.80 | 4.92 | ‒ | 2.40 | 2.50 | 1.00 | 1.00 | 0.12 | 0.13 | 0.01 | 0.02 |
Примечание. FeO* = 0.9 × FeO + F2O3; ASI ‒ (Al/(Ca ‒ 1.67P + Na + K)); MALI ‒ (Na2O + K2O–CaО).
Рис. 10. Диаграмма SiO2–Na2O + K2O для докембрийских эффузивных и плутонических пород Северного Улутау (по данным [30]).
1‒4 – магматические породы междуречья Ащи-Тасты – Жаксы-Коянды: 1‒2 – эффузивы: 1‒ вулканогенного комплекса, 2 – вулканогенно-осадочного комплекса; 3‒4 – гранитоиды: 3‒ Соуктальского массива, 4 – Акжарского массива; 5‒7 – магматические породы гор Жаксы-Арганаты: 5 – эффузивы дифференцированного комплекса, 6 – эффузивы кислого состава бимодального комплекса, 7 – эффузивы основного состава бимодального комплекса
Они характеризуются высокой железистостью (FeO*/(FeO* + MgO) – 0.82–0.97) и широким вариациями глиноземистости (ASI – 1.78–0.97) (рис. 11).
Рис. 11. Петрохимические диаграммы для позднедокембрийских пород среднего, кислого состава Северного Улутау (по данным [24]).
(а) ‒ SiO2 –MALI (Na2O + K2O – CaO); (б) ‒ SiO2 – ASI (Al/(Ca – 1.67P + Na + K)); (в) ‒ SiO2 – FeO*/(FeO* + MgO).
1‒3 ‒ породы междуречья Ащи-Тасты – Жаксы-Коянды: 1 ‒ эффузивы вулканогенного комплекса, 2 – гранитоиды Соуткальского массива, 3 – гранитоиды Акжарского массива; 4‒5 – горы Жаксы-Арганаты: 4 – эффузивы дифференцированного комплекса, 5 – эффузивы бимодального комплекса
Для пород характерно обогащение Cs, Rb, Ba, U, Th, Zr, Y и дифференцированный спектр распределения РЗЭ ((La/Yb)n = 13.5‒14.6) и слабая Eu-аномалия (Eu/Eu* = 0.78‒0.83) (рис. 12).
Рис. 12. Спектры распределения редких и редкоземельных элементов в породах среднего, кислого состава, нормированные на состав: (а) хондрита (по [37]) и (б) примитивной мантии (по [37]).
1‒3 ‒ междуречье Ащи-Тасты – Жаксы-Коянды: 1 ‒ эффузивы вулканогенного комплекса, 2 – гранитоиды Соуткальского массива, 3 – гранитоиды Акжарского массива; 4‒5 – эффузивы комплексов (горы Жаксы-Арганаты): 4 – дифференцированного, 5 – бимодального
Кианитовые кварциты, залегающие согласно с эффузивами, обладают низкими концентрациями всех петрогенных оксидов, за исключением SiO2 (79.10–85.69 мас. %) и Al2O3 (12.06‒16.59 мас. %) (см. табл. 4), высокие значения индексов химического выветривания (CIA = 99‒92) и аргиллитизации (AAAI = 92‒96), а также обеднение пород LILe (Cs, Rb, Ba, Sr) указывают на метасоматическое образование кианитовых кварцитов (аргиллизиты) в равновесии с кислыми (pH 5‒2) растворами [22, 33].
Соотношения в кварцитах Zr, Ti, Nb, Y, инертных при данных pH, позволяют рассматривать в качестве протолита – породы трахитового состава [40]
Эффузивы вулканогенно-осадочного комплекса представлены базальтами (SiO2 ‒ 47.7 мас. %, Na2O + K2O ‒ 3.42 мас. %) толеитовой серии (см. табл. 4, рис. 10, рис. 13).
Рис. 13. Диаграмма AFM для пород основного состава, (по [26]).
Обозначено: FeO* = 0.9FeO + F2O3; эффузивы (область серого цвета) основного состава боздакской и карсакпайской серий, (по [2, 9, 11]).
1 – эффузивы основного состава вулканогенно-осадочного комплекса участка междуречье Ащи-Тасты – Жаксы-Коянды; 2 – эффузивы основного состава бимодального комплекса участка гор Жаксы-Арганаты; 3 – амфиболиты бектурганской и баладжездинской серий, (по [8])
Породы обладают дифференцированным спектром распределения с незначительным обогащением легкими РЗЭ ((La/Yb)n = 3.2) и обеднением тяжелыми РЗЭ ((Gd/Yb)n = 1.9) и отсутствием Eu-ой аномалии ((Eu/Eu* = 0.99). Для базальтов характерно обогащение Cs, Rb, Ba, на фоне отсутствия обеднения Nb, Ta (рис. 14).
Рис. 14. Спектры распределения редких и редкоземельных элементов в породах основного состава, нормированные на состав: (а) хондрита (по [37]) и (б) примитивной мантии (по [37]).
Обозначены (область серого цвета) эффузивы основного состава боздакской и карсакпайской серий, (по [2, 9, 11]).
1‒2 – эффузивы основного состава: 1‒ вулканогенно-осадочного комплекса участка междуречье Ащи-Тасты – Жаксы-Коянды, 2 – бимодального комплекса участка гор Жаксы-Арганаты; 3 – амфиболиты бектурганской и баладжездинской серий, (по [8]); 4‒6 – базальты: 4 ‒ N-Morb, (по [37]), 5 – E-Morb, (по [37]), 6 – OIB, (по [37])
Гранитоиды Соуктальского массива близки к субщелочным и щелочным гранитам (SiO2 (72.78–73.70 мас. %) и Na2O + K2O (8.78–9.64 мас. %) (см. табл. 4), принадлежат щелочной и щелочно-известковистой сериям (MALI – 8.11–9.48), характеризуются умеренной глиноземистостью (ASI – 1.04–1.06) и железистостью ((FeO*/(FeO* + + MgO) – 0.77–0.87) (см. рис. 11).
Граниты обладают дифференцированным спектром распределения РЗЭ ((La/Yb)n 6.55–11.92) и проявленной Eu-ой аномалией (Eu/Eu* ‒ 0.11–0.13). На фоне обогащения большинством несовместимых элементов, характерно обеднение Sr, P, Ti (см. рис. 12).
Гранитоиды Акжарского массива отличаются более высокими содержаниями SiO2 и близки к аляскитам (SiO2 ‒ 76.03–76.45 мас. %, Na2O + + K2O ‒ 8.98–9.8 мас. %) шелочно-известковистой серии (MALI – 8.38–9.68) (см. табл. 4); характеризуются умеренной глиноземистостью (ASI – 0.93–0.95) и железистостью ((FeO*/(FeO* + + MgO) – 0.87–0.92) (см. рис. 11).
Породы демонстрируют широкие вариации в спектрах распределения РЗЭ ((La/Yb)n ‒ 0.26–4.58). В сравнении с гранитоидами Соуктальского массива больше проявлено обеднение Ba, Sr, P, Ti (см. рис. 12).
Магматические породы гор Жаксы-Арганаты
Породы дифференцированного комплекса представлены эффузивами андезидацитового, дацитого и риолитового состава (SiO2 ‒ 63.2–74.7 мас. %, Na2O + K2O ‒ 6–8.1 мас. %) известково-щелочной и известковистой серий (MALI – 2.93–6.34) (табл. 5, см. рис. 10); характеризуются умеренной железистостью (FeO*/(FeO* + MgO) – 0.78–0.93) и глиноземистостью (ASI – 0.89–0.96) (см. рис. 11).
Таблица 5. Содержание окислов (мас. %) и элементов (г/т) в эффузивных породах гор Жаксы-Арганаты
Окислы (мас. %) | Образец | |||||||||
U1811 | U1812 | U1832 | U1833 | U1829 | U1813 | U1814 | U1816 | U1834 | U1835 | |
дифференцированный комплекс | бимодальный комплекс | |||||||||
эффузивы | ||||||||||
SiO2 | 70.40 | 74.75 | 63.25 | 71.85 | 65.96 | 48.68 | 70.74 | 69.47 | 46.58 | 72.33 |
TiO2 | 0.54 | 0.53 | 0.91 | 0.45 | 0.80 | 2.43 | 0.68 | 0.26 | 2.84 | 0.51 |
Al2O3 | 13.95 | 11.45 | 14.66 | 12.6 | 14.37 | 11.06 | 12.43 | 10.88 | 13.10 | 13.03 |
Fe2O3 | 2.82 | 2.93 | 5.00 | 3.50 | 4.51 | 9.53 | 4.38 | 1.22 | 12.03 | 2.05 |
FeO | 0.71 | 0.70 | 1.39 | 0.46 | 1.22 | 7.76 | 1.73 | 0.12 | 6.28 | 1.51 |
MnO | 0.12 | 0.07 | 0.19 | 0.16 | 0.15 | 0.25 | 0.13 | 0.16 | 0.22 | 0.09 |
MgO | 0.78 | 0.62 | 1.42 | 0.47 | 1.41 | 5.20 | 1.10 | 0.11 | 5.65 | 0.67 |
CaO | 1.75 | 1.33 | 3.21 | 3.08 | 3.16 | 9.45 | 1.17 | 5.81 | 5.19 | 1.20 |
K2O | 3.15 | 2.27 | 1.12 | 2.20 | 2.20 | 0.36 | 0.52 | 5.87 | 0.83 | 3.53 |
Na2O | 4.94 | 4.43 | 5.07 | 3.81 | 4.36 | 2.67 | 5.86 | 2.27 | 4.2 | 4.21 |
P2O5 | 0.14 | 0.10 | 0.20 | 0.07 | 0.15 | 0.25 | 0.12 | 0.04 | 0.24 | 0.10 |
п.п.п. | 0.62 | 0.76 | 1.88 | 1.30 | 1.56 | 1.50 | 0.95 | 3.78 | 2.14 | 0.60 |
Сумма | 99.92 | 99.92 | 98.3 | 99.94 | 99.86 | 99.14 | 99.81 | 99.98 | 99.3 | 99.83 |
FeO* | 3.25 | 3.34 | 5.89 | 3.61 | 5.28 | 16.34 | 5.67 | 1.22 | 17.11 | 3.36 |
ASI | 0.96 | 0.95 | 0.97 | 0.89 | 0.95 | 0.51 | 1.02 | 0.53 | 0.77 | 1.02 |
MALI | 6.34 | 5.37 | 2.98 | 2.93 | 3.40 | -6.42 | 5.21 | 2.33 | -0.16 | 6.53 |
FeO*/FeO* + MgO | 0.84 | 0.93 | 0.81 | 0.88 | 0.79 | 0.55 | 0.86 | 0.98 | 0.75 | 0.83 |
Элементы (г/т) | U1811 | U1812 | U1832 | U1833 | U1829 | U1813 | U1814 | U1816 | U1834 | U1835 |
Sc | 8.10 | 8.90 | 15.40 | 8.20 | 15.50 | 31.50 | 15.10 | 7.60 | 37.60 | 12.20 |
V | 31.30 | 42.40 | 77.50 | 38.70 | 83.00 | 339.00 | 75.00 | 12.70 | 390.00 | 32.30 |
Cr | 14.60 | 20.10 | 9.60 | 4.70 | 14.10 | 62.40 | 12.00 | 22.70 | 54.80 | 15.00 |
Co | 3.30 | 4.50 | 7.60 | 2.30 | 7.70 | 43.50 | 7.30 | 2.70 | 53.00 | 3.40 |
Ni | 11.30 | 12.90 | 5.30 | 3.20 | 10.20 | 60.10 | 9.10 | 28.00 | 61.90 | 11.10 |
Cu | 7.40 | 10.90 | 5.10 | 2.80 | 17.80 | 141.00 | 3.40 | 7.10 | 54.40 | 10.80 |
Zn | 113.00 | 41.00 | 112.00 | 74.00 | 70.90 | 118.00 | 56.60 | 979.00 | 140.00 | 46.30 |
Ga | 14.40 | 11.40 | 18.90 | 19.70 | 17.80 | 22.60 | 15.20 | 5.50 | 24.90 | 17.30 |
Rb | 83.20 | 50.20 | 25.00 | 39.30 | 49.30 | 8.10 | 9.30 | 88.30 | 6.60 | 79.20 |
Sr | 118.00 | 124.00 | 243.00 | 219.00 | 283.00 | 223.00 | 34.50 | 49.10 | 283.00 | 173.00 |
Y | 33.70 | 25.00 | 34.10 | 44.80 | 38.30 | 24.90 | 32.60 | 46.00 | 29.00 | 42.10 |
Zr | 301.00 | 173.00 | 144.00 | 298.00 | 149.00 | 14.90 | 141.00 | 154.00 | 14.90 | 242.00 |
Nb | 12.30 | 5.00 | 5.40 | 12.10 | 5.90 | 13.30 | 2.60 | 8.50 | 17.10 | 9.20 |
Cs | 0.92 | 0.70 | 1.50 | 0.67 | 1.20 | 1.50 | 0.18 | 0.30 | 0.12 | 0.78 |
Ba | 1397.00 | 669.00 | 293.00 | 470.00 | 786.00 | 56.80 | 104.00 | 2485.00 | 111.00 | 829.00 |
La | 44.60 | 23.70 | 24.80 | 41.50 | 27.10 | 11.60 | 14.80 | 49.30 | 13.90 | 36.20 |
Ce | 92.00 | 50.30 | 52.60 | 89.30 | 57.30 | 29.60 | 31.80 | 84.60 | 36.00 | 75.90 |
Pr | 10.20 | 5.50 | 6.10 | 10.20 | 6.80 | 4.00 | 3.90 | 9.30 | 4.90 | 8.70 |
Nd | 40.00 | 22.60 | 25.40 | 39.60 | 28.50 | 19.30 | 18.30 | 34.90 | 23.40 | 34.80 |
Sm | 7.70 | 4.50 | 5.70 | 7.90 | 6.40 | 5.10 | 4.40 | 6.30 | 6.20 | 7.20 |
Eu | 1.90 | 1.00 | 1.90 | 1.60 | 1.70 | 1.70 | 1.20 | 1.70 | 2.10 | 1.50 |
Gd | 6.70 | 4.40 | 5.80 | 7.20 | 6.30 | 5.80 | 5.00 | 6.10 | 7.00 | 6.80 |
Tb | 1.00 | 0.70 | 0.91 | 1.20 | 1.00 | 0.87 | 0.82 | 0.94 | 1.10 | 1.10 |
Dy | 6.10 | 4.50 | 5.80 | 7.50 | 6.60 | 5.10 | 5.40 | 5.90 | 6.30 | 7.10 |
Ho | 1.20 | 0.93 | 1.20 | 1.60 | 1.40 | 0.95 | 1.20 | 1.20 | 1.10 | 1.50 |
Er | 3.70 | 2.80 | 3.70 | 4.80 | 4.00 | 2.40 | 3.50 | 3.60 | 2.90 | 4.60 |
Tm | 0.53 | 0.42 | 0.54 | 0.71 | 0.59 | 0.28 | 0.52 | 0.51 | 0.33 | 0.70 |
Yb | 3.60 | 2.90 | 3.60 | 4.80 | 3.80 | 1.60 | 3.60 | 3.40 | 1.90 | 4.80 |
Lu | 0.54 | 0.45 | 0.55 | 0.71 | 0.58 | 0.20 | 0.54 | 0.53 | 0.20 | 0.73 |
Hf | 7.20 | 4.40 | 3.60 | 7.30 | 4.00 | 0.77 | 3.80 | 3.80 | 0.64 | 6.30 |
Ta | 0.68 | 0.31 | 0.33 | 0.64 | 0.38 | 0.86 | 0.18 | 0.55 | 1.10 | 0.53 |
Pb | 19.00 | 5.00 | 8.60 | 17.30 | 9.50 | 4.50 | 1.70 | 13.30 | 1.70 | 12.90 |
Th | 8.20 | 3.60 | 4.00 | 7.40 | 4.50 | 0.89 | 2.10 | 6.20 | 1.20 | 6.60 |
U | 1.50 | 0.80 | 0.89 | 1.50 | 0.75 | 0.40 | 0.46 | 2.40 | 0.35 | 1.10 |
(Gd/Yb)n | 1.50 | 1.23 | 1.30 | 1.21 | 1.34 | 2.93 | 1.12 | 1.45 | 2.98 | 1.14 |
(La/Yb)n | 8.36 | 5.52 | 4.65 | 5.84 | 4.81 | 4.89 | 2.77 | 9.79 | 4.94 | 5.09 |
Eu/Eu* | 0.81 | 0.69 | 1.01 | 0.65 | 0.82 | 0.96 | 0.78 | 0.84 | 0.97 | 0.66 |
Примечание. FeO* = 0.9 × FeO + F2O3; ASI ‒ (Al/(Ca ‒ 1.67P + Na + K)); MALI ‒ (Na2O + K2O–CaO).
Вулканиты обладают в различной степени дифференцированными спектрами распределения РЗЭ ((La/Yb)n ‒ 4.64.5‒8.36) и Eu-аномалией (Eu/Eu* ‒ 0.64‒1.01), они обогащены Cs, Rb, Ba, Th, U на фоне обеднения Nb, Ta, Sr, P и Ti (см. рис. 12). Эффузивы дифференцированного комплекса характеризуются положительные значения εNd(t) (+2.6) и значениями модельного возраста (tNd(DM) = ~1.27 млрд лет) (табл. 6).
Таблица 6. Результаты Sm–Nd изотопного исследования позднедокембрийских эффузивов Северного Улутау
Образец | Порода | Возраст (млн лет) | Sm (г/т) | Nd (г/т) | 147Sm/144Nd | 143Nd/144Nd | εNd(t) | tNdDM |
U-1816 | риодацит | 800 | 7.00 | 33.12 | 0.1287 | 0.511949 ± 8 | –6.5 | 2149 |
U-1832 | андезидацит | 800 | 4.86 | 24.63 | 0.1202 | 0.512368 ± 8 | 2.6 | 1276 |
U-1835 | риолит | 800 | 6.92 | 33.56 | 0.1256 | 0.512134 ± 5 | –2.6 | 1756 |
Примечание. Величины εNd(t) рассчитаны на возраст 800 млн лет.
Кислые эффузивы бимодального комплекса представлены риолитами (SiO2 ‒ 69.47–72.33 мас. %, Na2O + K2O – 5.03–7.74 мас. %), принадлежащими к известково-щелочной и известковистой серям (MALI – 2.33–6.53) (см. табл. 5, рис. 10); характеризуются широкими вариациями железистости (FeO*/(FeO* + MgO) – 0.83–0.98) и глиноземистости (ASI – 0.77–1.02) (см. рис. 11).
Породы в разной степени обогащены легкими РЗЭ ((La/Yb)n – 2.77–6.53) и обладают отрицательной Eu-ой аномалией (Eu/Eu* ‒ 0.65‒0.83). На мультиэлементных диаграммах проявлено в различное обогащение Cs, Rb, Ba, Th, U на фоне обеднения Nb, Ta, Sr, P и Ti (см. рис. 12).
Риолиты бимодального комплекса характеризуются отрицательными значения εNd (‒2.6–‒6.5) и значениями модельного возраста (tNd(DM) = = ~1.75–2.15 млрд лет) (см. табл. 6).
Эффузивы основного состава бимодального комплекса представлены базальтами (SiO2 ‒ 46.6–48.7 мас. %, Na2O + K2O – 3.02–5.03 мас. %) толеитовой серии (см. табл. 5, см. рис. 10, см. рис. 13).
Породы обладают дифференцированным спектром распределения с обогащением легкими РЗЭ ((La/Yb)n = 4.89–4.93) и обеднением тяжелыми РЗЭ ((Gd/Yb)n = 2.92–2.97), отсутствием Eu-аномалии ((Eu/Eu* = 0.95‒0.97). Для базальтов характерно обогащение всеми несовместимыми элементами, за исключением Zr, Y и тяжелых РЗЭ (рис. 14).
ОБСУЖДЕНИЕ РЕЗУЛЬТАТОВ
Проведенные геологические, геохронологические и изотопно-геохимические исследования докембрийских комплексов Северном Улутау позволили выделить две неопротерозойские ассоциации:
- среднетонийская (~835‒800 млн лет), в состав которой входят кислые вулканогенно-осадочные толщи и гранитоиды;
- позднетонийская (~760‒735 млн лет), представленная дифференцированными и базальтовыми вулканогенными, туфогенно-терригенными и осадочными толщами.
Обстановки формирования и источники неопротерозойских комплексов Северного Улутау
В строении среднетонийской ассоциации преобладающими являются кислые эффузивы, а также гранитоды Соуктальского и Акжарского массивов, которые обладают близкими особенностями химического состава, характерными для гранитов А-типа. Это выражается в их принадлежности к щелочной и щелочно-известковистой сериям, умеренной глиноземистости и железистости (см. рис. 11).
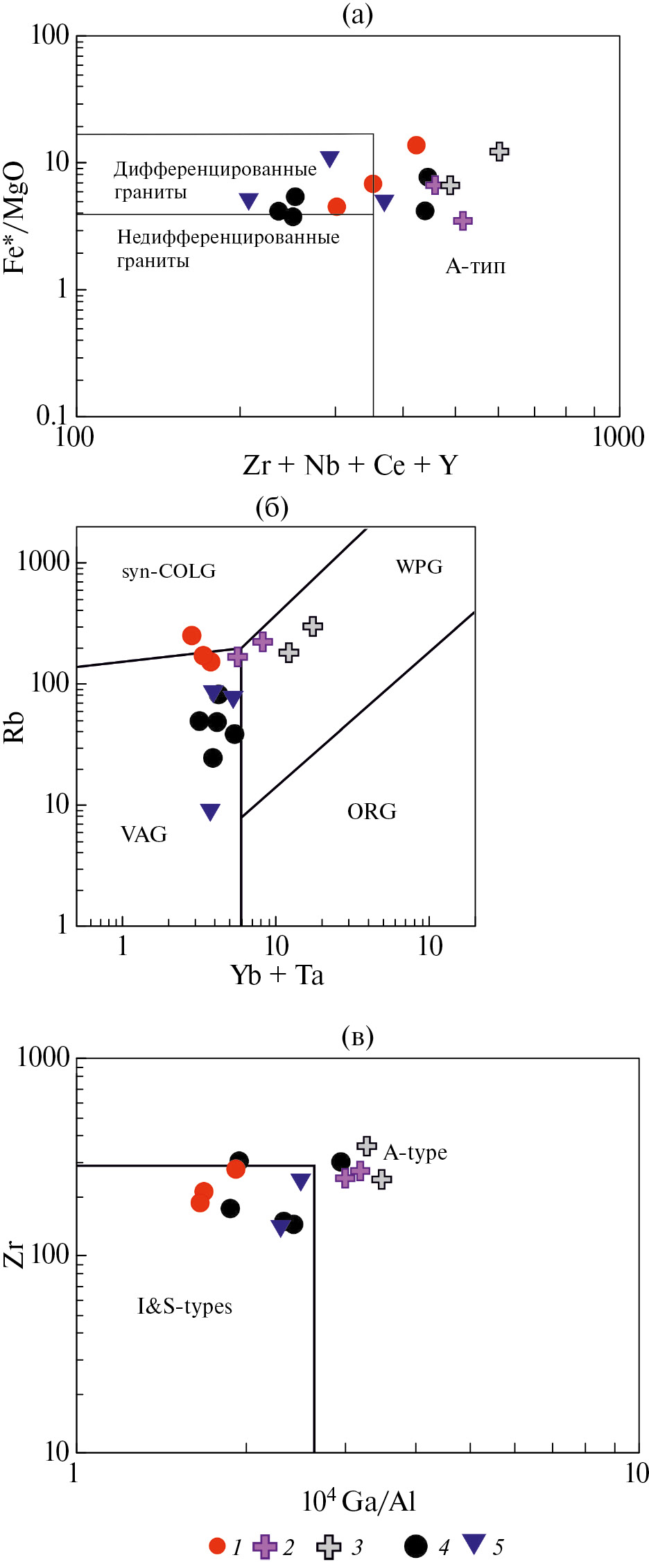
По соотношениям FeO*/MgO к Zr + Nb + Ce + + Y, а также Zr к 104 Ga/Al они также могут быть отнесены к гранитоидам А-типа, что подтверждается обогащением пород U, Th, Zr, Y и незначительным обеднением Nb, Ta на фоне резкого обеднения Ba, Sr, P, Eu, Ti [39] (см. рис. 12, рис. 15).
Рис. 15. Тектоно-магматические дискриминационные диаграммы для пород среднего, кислого Северного Улутау.
(a) – FeO*/MgO – Zr + Nb + Ce + Y, (по [38]); (б) – Rb – Yb + Ta, (по [34]); (в) – Zr – 104 Ga/Al, (по [38]).
1‒3 ‒ междуречье Ащи-Тасты – Жаксы-Коянды: 1 ‒ эффузивы вулканогенного комплекса, 2 – гранитоиды Соуткальского массива, 3 – гранитоиды Акжарского массива; 4‒5 – горы Жаксы-Арганаты: 4‒5 – эффузивы комплексов: 4 ‒ дифференцированного, 5 – бимодального
Расчетные температуры насыщения родоначальных для эффузивов и гранитов расплавов цирконием (TZr среднее 819°С (~эффузивы) и 830°С (~гранитоиды Акжарского и Соуктальского массивов)) указывают на высокотемпературный режим их образования, что является характерной чертой А-гранитов железистого типа, при этом соотношения Rb–Y + Nb предполагают формирование расплавов в обстановке внутриплитного растяжения [32, 34, 38] (см. рис. 15).
Дифференцированные эффузивы позднетонийской ассоциации характеризуются пониженной щелочностью и принадлежат умеренно железистой и глиноземистой сериям, что на фоне обеднения Nb, Ta, Ti указывает на их надсубдукционное происхождение. Это подтверждается и расположением фигуративных точек их составов на тектоно-магматических дискриминантных диаграммах в областях гранитоидов островных дуг, активных континентальных окраин, а также гранитов I-типа (см. рис. 15). Изотопные составы Nd андезидацитов (εNd +2.6; (tNd(DM) = ~1.27 млрд лет) свидетельствуют о вероятном об участии в их формировании как ювенильного, так и более древнего корового источников (рис. 16).
Рис. 16. Диаграмма эволюции изотопного состава Nd кислых эффузивов гор Жаксы-Арганты.
Показано: линия эволюции деплетированной мантии (наклонная линия), (по [21]); поле (серое) изотопной эволюции кислых ортопород бектурганской и баладжездинской серий [8].
Обозначено: CHUR – однородный хондритовый резервуар, (по [28]).
1‒2 – эффузивы комплексов: 1 ‒ дифференцированного, 2 ‒ эффузивы бимодального
Занимающие более высокое положение в структуре докембрийских образований Северного Улутау вулканогенно-осадочный (междуречье Ащи-Тасты–Жаксы-Коянды) и бимодальный (горы Жаксы-Арганаты) комплексы, с несогласием перекрывают как внутриплитные, так и надсубдукционные вулканогенные толщи.
В строении этих комплексов преобладают толеитовые базальты с геохимическими характеристиками базальтов типа E-MORB‒OIB, о чем свидетельствуют высокие содержания РЗЭ на фоне обеднения тяжелыми РЗЭ ((Gd/Yb)n = 1.9–2.97), что позволяет относить эти базальты к внутриплитным (см. рис. 14).
Риолиты бимодального комплекса отличаются повышенной известковистостью и широкими вариациями железистости (см. рис. 11).
Обеднение эффузивов Nb, Ta, Ti, а также положение фигуративных точек их составов на дискриминантных диаграммах может указывать насубдукционное происхождение этих пород (см. рис. 14).
Однако изотопные составы Nd риолитов (εNd(t) ‒2.6–‒6.5; (tNd(DM) = ~1.75–2.15 млрд лет) и тесная ассоциация с обогащенными толеитовыми базальтами позволяют рассматривать кислые эффузивы как продукты плавления раннедокембрийской континентальной коры во внутриплитных обстановках.
Таким образом, формирование неопротерозойских комплексов Северного Улутау происходило в разных геодинамических обстановках. Образование среднетонийских (~835‒800 млн лет) кислых эффузивов и гранитоидов А-типа было связано с этапом внутпиплитного магматизма. Позднетонийский (~760 млн лет) дифференцированный комплекс формировался в надсубдукционной обстановке, которая в дальнейшем (~735 млн лет) вновь сменилась внутриплитной обстановкой.
Корреляция довендских комплексов Северного и Южного Улутау
Полученные данные о возрастах и обстановках формирования комплексов Северного Улутау позволяют провести их надежную корреляцию с одновозрастными образованиями южной части Улутауского террейна, выявить общие черты и различия.
В Южном Улутау формирование среднетонийских магматических комплексов Майтюбинской зоны связано с процессами рифтогенеза в тыловой области активной континентальной окраины и образованием двух риолит-гранитных ассоциаций с возрастами ~830 млн лет (Дюсембайская) и ~800–790 млн лет (Актасская) [10] (рис. 17).
Рис. 17. Схема корреляции докембрийских стратифицированных и плутонических комплексов различных зон Южного и Северного Улутау.
1 – кварц-серицитовые сланцы; 2 ‒ мраморизованные известняки; 3 ‒ железистые сланцы и кварциты; 4 ‒ эпидот-хлоритовые сланцы, рассланцованные туфы, эффузивы основного состава; 5 ‒ эффузивы кислого состава; 6 – туфы, туфоконгломераты кислого состава; 7 ‒ туфопесчаники, туфоалевролиты кислого состава; 8 – эффузивы среднего состава; 9 – конгломераты; 10 ‒ пара- и ортогнейсы; 11 ‒ амфиболиты и амфиболовые сланцы; 12 – кварциты, кварцито-сланцы; 13 – массивы рассланцованных гранитоидов
В Северном Улутау (междуречье Ащи-Тасты – Жаксы-Коянды) выявлены близкие по возрасту толщи анорогенных кислых эффузивов и гранитоиды Соуктальского и Акжарского массивов, также связанные с двумя эпизодами среднетонийского (~835‒825 и ~800 млн лет) внутриплитного магматизма (см. рис. 17).
В Карсакпайской зоне Южного Улутау распространены дифференцированные вулканогенные и вулканогенно-осадочные толщ (аралбайская и белеутинская серии), формирование которых связано с двумя этапами (~760 млн лет и ~840‒820 млн лет) надсубдукционного магматизма в пределах энсиалической островной дуги [11] (см. рис. 17).
В Северном Улутау стратиграфическим и формационным аналогом более молодых тощ является дифференцированный вулканогенный комплекс гор Жаксы-Араганаты верхнего тония (~760 млн лет) (см. рис. 17).
Характерным элементом строения докембрийских комплексов Южного Улутау являются вулканогенно-осадочные железорудные последовательности. В Майтюбинской зоне они представлены породами боздакской серии, колдыбайшокинской и тумурзинской свит. Боздакская серия с мощной пачкой (до 300 м) конгломератов в основании перекрывает анорогенные вулкано-плутонические ассоциации. Верх по разрезу грубообломочные породы сменяются эффузивами основного состава, филлитовидными сланцами с горизонтами железистых кварцитов и мраморизованных известняков.
Изучение обломочного циркона из цемента конгломератов боздакской свиты показало, что их накопление началось не ранее 800 млн лет в основном за счет эрозии ранненеопротерозойских вулкано-плутонических ассоциаций, а также комплексов палеопротерозойского и неоархейского возраста [2, 11]. В Карсакпайской зоне наиболее распространена железорудная вулканогенно-осадочная карсакпайская серия, в разрезе которой, наряду с основными эффузивами, присутствуют пачки туфов кислого и средне-кислого состава с оценками возраста ~745 млн лет [9] (см. рис. 17).
Аналогом данных железорудных толщ в Северном Улутау является ассоциация эффузивов основного и кислого составов и железистых кварцитов верхнего тония (~747 млн лет), участвующая в строении вулканогенно-осадочного (участок междуречья Ащи-Тасты – Жаксы-Коянды) и бимодального (участок гор Жаксы-Арганаты) комплексов (см. рис. 17).
Таким образом, образование вулканогенно-осадочных железорудных комплексов как Южного, так и Северного Улутау происходило во второй половине тонийского периода, а основной максимум магматической активности (~747–745 млн лет) может быть связан с рифтогенными процессами как в тыловой, так и фронтальной областях активной континентальной окраины.
Как в Южном, так в Северном Улутау наиболее низкое положение в структуре занимают метаморфические толщи, сложенные амфиболитами, ортопарагнейсами и сланцами (баладжездинская и бектурганская серии) [14]. Дометаморфическиме протолиты обеих серий представлены вулканогенными, туфогенными и осадочными породами. При этом эффузивы и туфогенные породы могут быть отнесены к риолит-базальтовой вулканогенно-обломочной ассоциации, основной объем которой был сформирован ~760 млн лет назад [8].
Эти данные указывают, что формирование дометаморфических протолитов балажездинской и бектурганской серий и, залегающих структурно выше слабометаморфизованных вулканогенно-осадочных железорудных серий Северного и Южного Улутау происходило в позднетонийское время и может быть связано с рифтогенными процессами.
Образование расплавов этих комплексов во внутриплитной обстановке подчеркивается и геохимическими особенностями пород. Амфиболиты бектурганской и баладжездинской серий, как и их неметаморфизованные аналоги ‒ базальты железорудных толщ, принадлежат толеитовой серии. Отношение Ti/V позволяют относить их к внутрплитным базальтам (рис. 18).
Рис. 18. Тектоно-магматические дискриминационные диаграммы для пород основного состава.
(а) ‒ V‒Ti/1000, (по [36]); (б) ‒ Th/Yb‒Nb/Yb, (по [35]); (в) – TiO2/Yb–Nb/Yb, (по [35]); (г) – Sm/Yb–La/Sm, (по [17]).
Область серого цвета ‒ эффузивы основного состава боздакской и карсакпайской серий, (по [2, 9, 11]).
1‒2 – эффузивы основного состава: 1 ‒ вулканогенно-осадочного комплекса участка междуречье Ащи-Тасты – Жаксы-Коянды, 2 – бимодального комплекса участка гор Жаксы-Арганаты; 3 – амфиболиты бектурганской и баладжездинской серий, (по [8])
Низкие Th/Nb и высокие Nb/U свидетельствуют о незначительной контаминации веществом нижней континентальной коры, что позволяет рассматривать их геохимические особенности, как отражение состава мантийного источника (рис. 19).
Рис. 19. Диаграммы для пород основного состава.
(а) ‒ Th/Nb ‒ La/Nb, (по [27]); (б) ‒ Nb/U – Nb, (по [27]).
Показано: н.к – нижняя кора, с.к. – средняя кора, в.к. – верхняя кора.
Область серого цвета – эффузивы основного состава боздакской и карсакпайской серий, (по [2, 9, 11]).
1‒2 – эффузивы основного состава: 1 ‒ вулканогенно-осадочного комплекса участка междуречье Ащи-Тасты – Жаксы-Коянды, 2 –бимодального комплекса участка гор Жаксы-Арганаты; 3 – амфиболиты бектурганской и баладжездинской серий, (по [8])
Дифференцированный спектр распределения РЗЭ на фоне обеднения тяжелыми РЗЭ ((Gd/Yb) =1.9–2.9) позволяет предполагать образование расплавов при плавлении гранатсодержащего обогащенного источника мантийного источника. Наше предположение подтверждают значения ΔNb ((1.74 + log(Nb/Y) – 1.92 log(Zr/Y)) в базальтах (1.3–1.8) и амфиболитах (1.2–2.4) [23].
Положение фигуративных точек составов пород на диаграмме Th/Yb – Nb/Yb в области между базальтами E-MORB и OIB и вариации отношений Sm/Yb и La/Sm могут указывать на различия в степенях частичного плавления обогащенного мантийного субстрата (гранатовых и гранат-шпинелевых лерцолитов) [17, 35] (см. рис. 18).
С этим, вероятно, связано расположение фигуративных точек составов на диаграмме TiO2/Yb–Nb/Yb в виде тренда, характеризующего смену источников и глубину образования расплавов [35] (см. рис. 18).
Ортогнейсы бектурганской и баладжездинской серий, как и анорогенные риолиты и граниты, обладают петро-геохимическими характеристиками гранитоидов А-типа; изотопные составы Nd свидетельствуют о ведущей роли в их образовании пород палеопротерозойской континентальной коры [8] (см. рис. 16).
Эволюция Улутауского террейна в позднем докембрии
Изучение докембрийских комплексов Северного и Южного Улутау показало, что их формирование можно связать с разными этапами эволюции активной континентальной окраины на протяжении второй половины (~830‒745 млн лет) тонийского периода неопротерозоя.
В течение первого этапа во фронтальной области активной окраины в пределах энсиалической островной дуги, происходило образование дифференцированных вулканогенно-осадочных толщ, связанных в двумя эпизодами надсубдукционного магматизма ~760 млн лет и ~840‒820 млн лет. В тыловой области этой окраины в обстановках растяжения формировались вулканогенно-осадочные толщи кислого состава и комагматичные им гранитоиды, связанных с двумя эпизодами внутриплитного магматизма ~830 и ~800–790 млн лет.
Второй этап эволюции активной окраины отмечен началом накопления железорудных комплексов, которые с несогласием и конгломератами в основании перекрывают более древние как надсубдукционные, так анорогенные образования. Формирование этих комплексов происходило в рифтогенной обстановке и сопровождалось толеитовым базальтовым и бимодальным базальт-риолитовым магматизмом в интервале ~760‒745 млн лет.
Смена геодинамических режимов развития активных окраин может быть связана с различными процессами. Изучение эволюции окраин Тихого океана показало, что такие изменения могут быть связаны с коллизией островной дуги с континентом, сменой направления движения океанической плиты, а также пересечением глубоководного жёлоба спрединговым хребтом или отмиранием хребта вдоль континентальной окраины.
Следствием таких процессов является превращение конвергентной границы плит в трансформую, прекращение надсубдукционного магматизма и начало формирования магматических комплексов с внутриплитными геохимическими характеристиками. Возникновение таких пород связано с появлением области без слэба (slab-window или разрыв слэба), которое провоцирует апвеллинг астеносферной мантии, при этом базитовые продукты декомпрессионного плавления имеют обогащенные характеристики типа OIB, а ассоциирующие с ними кислые разности, являются результатом мантийно-корового взаимодействия [25]. Характерной особенностью позднетонийских базальтов и амфиболитов Улутауского террейна является положение на дискриминантных диаграммах А.В. Гребенникова и А.И. Ханчука [1] фигуративных точек их составов в полях пород, образованных в условиях трансформных окраин (рис. 20).
Рис. 20. Тектоно-магматические дискриминационные диаграммы для пород основного состава.
(а) – FeO*‒TiO2‒MgO; (б) – Ba/La‒Nb*5‒Yb*10, (по [25]).
Показано: 1 – поле магматических пород трансформных окраин, 2 – поле магматических пород конвергентных окраин, 3 – область перекрытия.
Область серого цвета – эффузивы основного состава боздакской и карсакпайской серий, ([2, 9, 11]).
1‒2 – эффузивы основного состава: 1 ‒ вулканогенно-осадочного комплекса участка междуречье Ащи-Тасты – Жаксы-Коянды, 2 –бимодального комплекса участка гор Жаксы-Арганаты; 3 – амфиболиты бектурганской и баладжездинской серий, (по [8])
Полученные позволяют предполагать, что позднетонийский базальтовый и бимодальный вулканизм, сопровождавший накоплением железорудных толщ, и проявленный как во фронтальной, так и в тыловой частях неопротерозойской активной окраины, может быть связан со сменой геодинамического конвергентного режима ее эволюции на трансформный. Причиной интенсивного метаморфизма внутриплитных образований фронтальной области активной окраины, приведшего к образованию амфиболит-гнейсовых комплексов бектурганской и баладжездинской серий, могли являться синсдвиговые тектонические процессы на трансформной границе континента.
Заложение новой зоны субдукции и возобновление островодужного магматизма произошло на границе криогения–эдикария [12]. Вулканогенно-осадочные комплексы этого возраста выявлены в Южном Улутау, где с несогласием перекрывают в различной степени метаморфизованные стратифицированные и плутонические образования тонийской активной континентальной окраины.
ВЫВОДЫ
- Полученные данные позволили установить, что плутонические, вулканогенно-осадочные и осадочные комплексы Северного Улутау были сформированы во второй половине тонийского периода неопротерозоя (~835‒747 млн лет) и являются аналогами стратифицированных и плутонических комплексов Южного Улутау, образование которых происходило в различных частях латерального ряда структур позднедокембрийской активной континентальной окраины.
- Образования тыловой области активной окраины представлены в Северном Улутау комплексом кислых анорогенных эффузивов и массивами гранитоидов, формирование которых было связано с внутриплитным магматизмом в интервале ~835‒800 млн лет.
- Образования фронтальной части активной окраины представлены в Северном Улутау дифференцированным вулканогенным комплексом, формирование которого было связано с этапом надсубдукционного магматизма ~760 млн лет.
- Во второй половине тонийского периода (~747‒745 млн лет) как в тыловой, так и фронтальной областях активной континентальной окраины происходит формирование вулканогенно-осадочных железорудных комплексов, связанных с процессами рифтогенного магматизма, вызванного, вероятно, сменой геодинамического конвергентного режима на трансформный.
Благодарности. Авторы благодарны рецензенту А.А. Сорокину (Институт геологии и природопользования ДВО РАН (ИГиП), г. Благовещенск, Амурская обл., Россия) и анонимному рецензенту за полезные комментарии, а также редактору М.Н. Шуплецовой (Геологический институт РАН (ГИН РАН), г. Москва, Россия) за тщательное редактирование.
Финансирование. Работы выполнены за счет гранта Российского научного фонда, проект №22-17-00069, в рамках выполнения государственного задания ГИН РАН, Nd изотопные исследования были выполнены в ЦКП “Изотопно-геохимических исследований” ИГХ СО РАН.
Конфликт интересов. Авторы заявляют, что не имеют конфликта интересов.
Дополнительные материалы размещены в электронном виде по DOI статьи: 10.31857/S0016853X24030013, доступны для авторизованных пользователей.
About the authors
A. A. Tretyakov
Geological Institute of the Russian Academy of Sciences
Author for correspondence.
Email: and8486@yandex.ru
Russian Federation, bld. 7, Pyzhevsky per., 119017 Moscow
A. N. Zhuravlev
Geological Institute of the Russian Academy of Sciences
Email: and8486@yandex.ru
Russian Federation, bld. 7, Pyzhevsky per., 119017 Moscow
K. E. Degtyarev
Geological Institute of the Russian Academy of Sciences
Email: and8486@yandex.ru
Russian Federation, bld. 7, Pyzhevsky per., 119017 Moscow
N. A. Kanygina
Geological Institute of the Russian Academy of Sciences
Email: and8486@yandex.ru
Russian Federation, bld. 7, Pyzhevsky per., 119017 Moscow
E. B. Salnikova
Institute of Precambrian Geology and Geochronology, Russian Academy of Sciences
Email: and8486@yandex.ru
Russian Federation, bld. 2, emb. Makarova, 199034 St. Petersburg
A. B. Kotov
Institute of Precambrian Geology and Geochronology
Email: and8486@yandex.ru
Russian Federation, Russian Academy of Sciences, bld. 2, emb. Makarova, 199034 St. Petersburg
Yu. V. Plotkina
Institute of Precambrian Geology and Geochronology, Russian Academy of Sciences
Email: and8486@yandex.ru
Russian Federation, bld. 2, emb. Makarova, 199034 St. Petersburg
S. Y. Skuzovatov
Vinogradov Institute of Geochemistry of the Siberian Branch RAS
Email: and8486@yandex.ru
Russian Federation, bld. 1A, Favorsky str., 664033 Irkutsk
B. V. Fedorov
Sergo Ordzhonikidze Russian State University for Geological Prospecting (MGRI)
Email: and8486@yandex.ru
Russian Federation, bld. 23, Miklukho-Maklaya str., 117997 Moscow
References
- Гребенников А.В., Ханчук А.И. Геодинамика и магматизм трансформных окраин Тихого океана: основные теоретические аспекты и дискриминационные диаграммы // Тихоокеанская геология. 2021. Т. 40. № 1. С. 3–24.
- Дмитриева Н.В., Летникова Е.Ф., Школьник С.И., Вишневская И.А., Каныгина Н.А., Николаева М.С., Шарф И.В. Неопротерозойские метавулканогенно-осадочные породы боздакской серии Южного Улутау (Центральный Казахстан): изотопно-геохимические и геохронологические данные // Геология и геофизика. 2016. Т. 57. № 11. С. 1969–1991.
- Носова А.А., Возняк А.А., Богданова С.В., Савко К.А., Лебедева Н.М., Травин А.В., Юдин Д.С., Пейдж Л., Ларионов А.Н., Постников А.В. Раннекембрийский сиенитовый и монцонитовый магматизм на юго-востоке Восточно-Европейской платформы: петрогенезис и тектоническая обстановка формирования // Петрология. 2019. Т 27. № 4. С. 357‒400.
- Докембрий и палеозой. ‒ В кн.: Решения III Казахстанского стратиграфического совещания по докембрию и фанерозою. ‒ Алма-Ата: ИГН, 1991. Ч. 1. 148 с.
- Ранний докембрий Центрально-Азиатского складчатого пояса. ‒ СПб.: Наука, 1993. 272 с.
- Сальникова Е.Б., Яковлева С.З., Котов А.Б., Толмачева Е.В., Плоткина Ю.В., Козловский А.М., Ярмолюк В.В., Федосеенко А.М. Кристаллогенезис циркона щелочных гранитов и особенности его U‒Pb датирования (на примере Хангайского магматического ареала) // Петрология. 2014. Т. 22. № 5. С. 482–495.
- Третьяков А.А., Дегтярев К.Е., Каныгина Н.А., Данукалов Н.К. Поздненеопротерозойский возраст дифференцированных вулканогенных комплексов Улутауского массива (Центральный Казахстан): результаты U–Th–Pb (SIMS)-геохронологических исследований // ДАН. 2020. Т. 494. № 1. С. 9–13.
- Третьяков А.А., Дегтярев К.Е., Каныгина Н.А., Летникова Е.Ф., Жимулев Ф.И., Ковач В.П., Данукалов Н.К., Lee H.-Y. Позднедокембрийские метаморфические комплексы Улутауского массива (Центральный Казахстан): возраст, состав и обстановки формирования протолитов // Геотектоника. 2020. № 5. С. 3–28.
- Третьяков А.А., Дегтярев К.Е., Данукалов Н.К., Каныгина Н.А. Неопротерозойский возраст железорудной вулканогенно-осадочной серии Улутауского террейна (Центральный Казахстан) // ДАН. 2022. Т. 502. № 2. С. 49–55.
- Третьяков А.А., Дегтярев К.Е., Каныгина Н.А., Ковач В.П., Федоров Б.В. Позднедокембрийские риолит-гранитные вулкано-плутонические ассоциации Южного Улутау (Центральный Казахстан) // Геотектоника. 2022. № 4. С. 3–34.
- Третьяков А.А., Дегтярев К.Е., Каныгина Н.А., Летникова Е.Ф., Журавлев А.Н., Третьякова К.А. Эволюция Улутауского террейна (Центральный Казахстан) в палеопротерозое – эдиакарии. ‒ Мат-лы научной конференции “Геодинамическая эволюция литосферы Центрально-Азиатского подвижного пояса (от океана к континенту)”, 17‒20 окт. 2023 г., Иркутск. ‒ Иркутск: ИЗК СО РАН, 2023. Вып. 21. С. 252‒254.
- Третьяков А.А., Дегтярев К.Е., Каныгина Н.А., Журавлев А.Н., Скузоватов С.Ю. Эдиакарские и кембрийские вулканогенные и осадочные комплексы Южного Улутау (Центральный Казахстан): строение, обоснование возраста и обстановки формирования // Геотектоника. 2023. № 5. С. 37‒69.
- Трусова И.Ф, Вишневская И.И. Новые данные по стратиграфии Северного Улутау // Известия ВУЗов. Геология и разведка. 1969. № 3. С. 34–48.
- Филатова Л.И. Докембрий Улу-Тау. ‒ Под ред. А.А. Богданова. М.: МГУ, 1962. 323 с.
- Филатова Л.И. Стратиграфия и историко-геологический (формационный) анализ метаморфических толщ докембрия Центрального Казахстана. ‒ М.: Недра, 1983. 160 с.
- Филатова Л.И., Богатырева Н.A. О самых древних докембрийских отложениях Южного Улутау. ‒ В сб.: Вопросы геологии Центрального Казахстана. ‒ Мат-лы конф. по геологии Центрального Казахстана. ‒ Под ред. А.А. Богданова ‒ М.: МГУ, 1971. Т. 10. С. 92–106.
- Aldanmaz E., Pearce J.A., Thirlwall M.F., Mitchell J.G. Petrogenetic evolution of late Cenozoic, post-collision volcanism in Western Anatolia, Turkey // J. Volcanol. Geotherm. Res. 2000. Vol. 102. P. 67–95.
- Alexeiev D.V., Khudoley A.K., DuFrane S.A., Glorie S.,Vishnevskaya I.A., Semiletkin S.A., Letnikova E.F. Early Neoproterozoic fore-arc basin strata of the Malyi Karatau Range (South Kazakhstan): depositional ages, provenance and implications for reconstructions of Precambrian continents // Gondwana Research. 2023. Vol. 119. P. 313–340.
- Chiu H.-Y., Chung S.-L., Wu F.-Y., Liu D., Liang Y.-H., Lin I.-J., Iizuka Y., Xie L.-W., Wang Y., Mei-Fei Chu M.-F. Zircon U–Pb and Hf isotopic constraints from eastern Transhimalayan batholiths on the precollisional magmatic and tectonic evolution in southern Tibet // Tectonophysics. 2009. Vol. 477. P. 3–19.
- Degtyarev K.E., Yakubchuk A.S., Tretyakov A.A., Kotov A.B., Kovach V.P. Precambrian geology of the Kazakh Uplands and Tien Shan: An overview // Gondwana Research. 2017. Vol. 47. P. 44–75.
- Depaolo D.J. Neodymium isotopes in the Colorado Front Range and crust-mantle evolution in the Proterozoic // Nature. 1981. Vol. 291. P. 193–196.
- Doyle M.G., Fletcher I.R., Foster J., Spencer E.T., Wilkinson J.J. Possible submarine advanced argillic alteration at the Basin Lake Prospect, Western Tasmania, Australia Nicholas // Economic Geology. 2004. Vol. 99. P. 987–1002.
- Fitton J.G. The OIB paradox. ‒ In: “Plates, Plumes, and Planetary Processes”. ‒ Ed.by G.R. Foulger, D.M. Jurdy, (Geol. Soc. Am. Bull. Spec. Pap. 2007. Vol. 430), P. 387–412.
- Frost B.R., Barnes C.G., Collins W.J., Arculus R.J., Ellis D.J., Frost C.D. A geochemical classification for granitic rocks // J. Petrol. 2001. Vol. 42. P. 2033–2048.
- Grebennikov A.V., Khanchuk A.I. Pacific-type transform and convergent margins: Igneous rocks, geochemical contrasts and discriminant diagrams // Int. Geol. Rev. 2021. Vol. 63. No. 5. P. 601–629.
- Irvine T.N., Baragar W.R.A. A guide to the chemical classification of the common volcanic rocks // Can. J. Earth Sci. 1971. Vol. 8. P. 523–548.
- Hofmann A.W., Jochum K.P., Seufert M., White W.M. Nb and Pb in oceanic basalts: New constraints on mantle evolution // Earth and Planet. Sci. 1986. Vol. 79. P. 33‒45.
- Jacobsen S.B., Wasserburg G.J. Sm‒Nd evolution of chondrites and achondrites // Earth Planet. Sci. Lett. 1984. Vol. 67. P. 137–150.
- Larionov A.N., Andreichev V.A., Gee D.G. The Vendian alkaline igneous suite of northern Timan: ion microprobe U‒Pb zircon ages of gabbros and syenite the Vendian alkaline igneous suite of northern Timan: Ion microprobe U‒Pb zircon ages of gabbros and syenite // Geol. Soc. London Mem. 2004. Vol. 30. P. 69–74.
- Le Bas M.J., Le Maitre R.W., Streckeisen A., Zanettin B. A chemical classification of volcanic rocks based on the total alkali-silica diagram // J. Petrol. 1986. Vol. 27. P. 745–750.
- Li S.Z., Li X.Y., Wang G.Z., Liu Y.M., Wang Z.C., Wang T.S., Cao X.Z., Guo X.Y., Somerville I., Li Y., Zhou J., Dai L.M., Jiang S.H., Zhao H., Wang Y., Wang G., Yu S. Global Meso-Neoproterozoic plate reconstruction and formation mechanism for Precambrian basins: Constraints from three cratons in China // Earth–Sci. Rev. 2019. Vol. 198. Art. 102946. https://doi.org/10.1016/j.earscirev.2019.102946
- Miller C.F., McDowell S.M., Mapes R.W. Hot and cold granites? Implications of zircon saturation temperatures and preservation of inheritance // Geology. 2003. Vol. 31. P. 529–532.
- Owens B.E., Pasek M.A. Kyanite quartzites in the Piedmont Province of Virginia: evidence for a possible high-sulfidation system // Economic Geology. 2007. Vol. 102. № 3. P. 495–509.
- Pearce J.A., Harris N.W., Tindle A.G. Trace element discrimination diagrams for the tectonic interpretation of granitic rocks // J. Petrol. 1984. Vol. 25. P. 956–983.
- Pearce J.A. Geochemical fingerprinting of oceanic basalts with applications to ophiolite classification and the search for Archean oceanic crust // Lithos. 2008. Vol. 100. P. 14–48.
- Shervais J.W. Ti‒V plots and the petrogenesis of modern and ophiolitic lavas // Earth Planet. Sci. Lett. 1982. Vol. 59. P. 101–118.
- Sun S.S., McDonough W.F. Chemical and isotopic systematic of oceanic basalts: Implications for mantle composition and processes. ‒ In: “Magmatism in the Ocean Basins”. Ed.by A.D. Saunders, M.J. Norry, (Geol. Soc. London. Spec. Publ. 1989. Vol. 42). P. 313–345.
- Watson E.B., Harrison T.M. Zircon saturation revisited: Temperature and composition effects in a variety of crustal magma types // Earth Planet. Sci. Lett. 1983. Vol. 64. P. 295–304.
- Whalen J.B., Currie K.L., Chappell B.W. A-type granites-geochemical characteristics, discrimination and petrogenesis // Contrib. Mineral. Petrol. 1987. Vol. 95. P. 407–419.
- Winchester J.A., Floyd P.A. Geochemical discrimination of different magma series and their differentiation products using immobile elements // Chem. Geology. 1977. Vol. 20. P. 325–343.
- Zhao J.H., Li Q.W., Liu H., Wang W. Neoproterozoic magmatism in the western and northern margins of the Yangtze Block (South China) controlled by slab subduction and subduction-transform-edge-propagator // Earth- Sci. Rev. 2018. Vol. 187. P. 1–18.
Supplementary files






















