Эдиакарские и кембрийские вулканогенные и осадочные комплексы Южного Улутау (Центральный Казахстан): строение, обоснование возраста и обстановки формирования
- Авторы: Третьяков А.А.1, Дегтярев К.Е.1, Каныгина Н.А.1, Журавлев А.Н.1, Скузоватов С.Ю.2
-
Учреждения:
- Геологический институт РАН
- Институт геохимии им. А.П. Виноградова Сибирского отделения РАН
- Выпуск: № 5 (2023)
- Страницы: 37-69
- Раздел: Статьи
- URL: https://journals.rcsi.science/0016-853X/article/view/140374
- DOI: https://doi.org/10.31857/S0016853X23050090
- EDN: https://elibrary.ru/OSVGIM
- ID: 140374
Цитировать
Полный текст
Аннотация
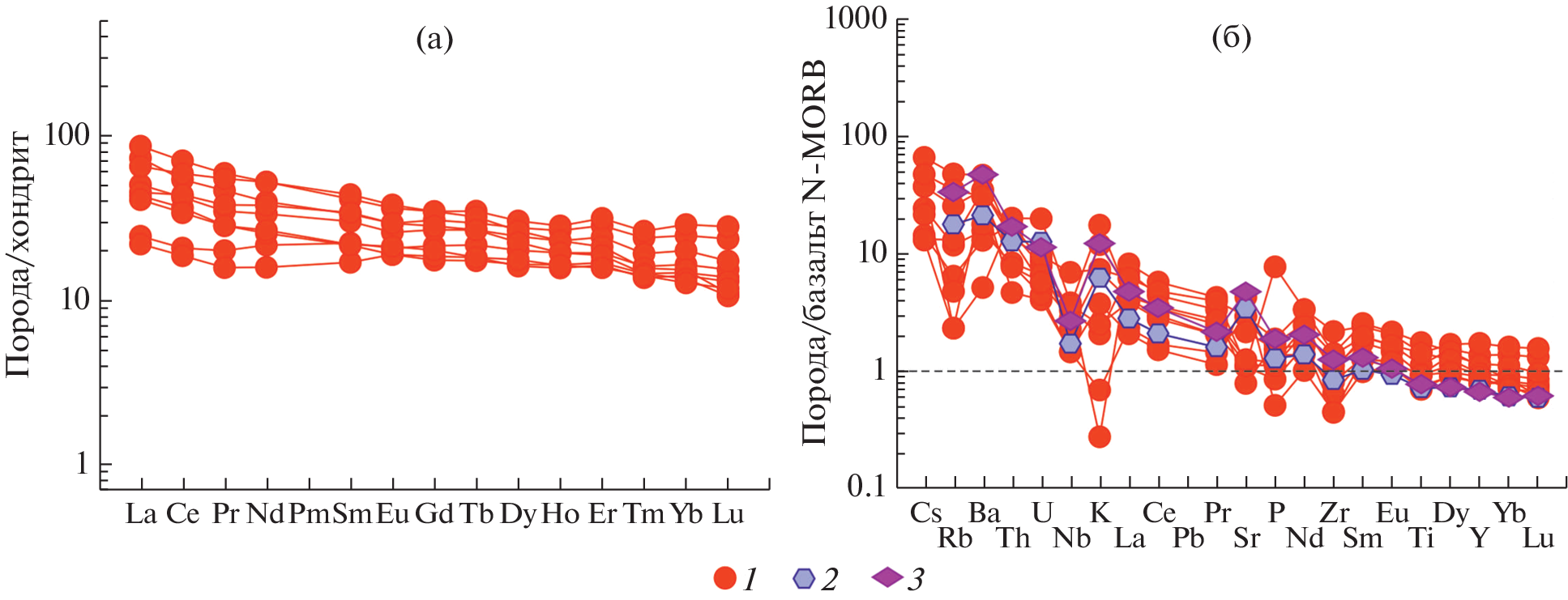
В статье приведены результаты изучения и обоснования возраста эдиакарских слабометаморфизованных вулканогенно-осадочных и кембрийских осадочных толщ, выделенных впервые в пределах южной части Улутауского террейна (Южном Улутау) на западе Центрального Казахстана. Оценки возраста (SHRIMP II) 594 ± 3, 595 ± 5, 600 ± 2 млн лет для эффузивных и туфогенных пород, а также их изотопно-геохимические характеристики являются первым свидетельством проявления эдиакарского надсубдукционного магматизма в палеозоидах Казахстана и Северного Тянь-Шаня. Полученные данные указывают на участие Улутауского террейна в конце докембрия в строении вулкано-плутонического пояса, фрагментами которого также являются неопротерозойские блоки в пределах Юго-Западного Казахстана (Жельтавский и Чуйско-Кендыктасский террейны), Южного Тянь-Шаня и Каракумо-Таджикского террейна. Формирование эдиакарского надсубдукционного пояса может являться продолжением эволюции неопротерозойской активной континентальной окраины, возникшей в тонийское время на северо-западной окраине суперконтинента Родиния.
Об авторах
А. А. Третьяков
Геологический институт РАН
Автор, ответственный за переписку.
Email: and8486@yandex.ru
Россия, 119017, Москва, д. 7, Пыжевский пер.
К. Е. Дегтярев
Геологический институт РАН
Email: and8486@yandex.ru
Россия, 119017, Москва, д. 7, Пыжевский пер.
Н. А. Каныгина
Геологический институт РАН
Email: and8486@yandex.ru
Россия, 119017, Москва, д. 7, Пыжевский пер.
А. Н. Журавлев
Геологический институт РАН
Email: and8486@yandex.ru
Россия, 119017, Москва, д. 7, Пыжевский пер.
С. Ю. Скузоватов
Институт геохимии им. А.П. Виноградова Сибирского отделения РАН
Email: and8486@yandex.ru
Россия, 664033, г. Иркутск, ул. Фаворского, 1А
Список литературы
- Зайцев Ю.А., Хераскова Т.Н. Венд Центрального Казахстана. ‒ Под ред. Ю.А. Зайцева ‒ М.: МГУ, 1979. 251 с.
- Крылов И.Н., Сергеев В.Н., Хераскова Т.Н. Находка кремнистых микрофоссилий в кембрийских отложениях Байконурского синклинория // Изв. АН СССР. Сер. геол. 1986. № 1. С. 51–56.
- Милеев В.С., Розанов С.Б. Геология и тектоника докембрия Центрального Казахстана. ‒ Под ред. Ю.А. Зайцева ‒ М.: МГУ, 1976. 366 с.
- Миркамалов Р.Х., Чирикин В.В., Хан Р.С., Харин В.Г., Сергеев С.А. Hезультаты U‒Pb (SHRIMP) датирования гранитоидных и метаморфических комплексов Тянь-Шаньского складчатого пояса (Узбекистан) // Вестн. СПбГУ. 2012. № 7. С. 3–25.
- Носова А.А., Возняк А.А., Богданова С.В., Савко К.А., Лебедева Н.М., Травин А.В., Юдин Д.С., Пейдж Л., Ларионов А.Н., Постников А.В. Раннекембрийский сиенитовый и монцонитовый магматизм на юго-востоке Восточно-Европейской платформы: петрогенезис и тектоническая обстановка формирования // Петрология. 2019. Т. 27. № 4. С. 357‒400.
- Третьяков А.А., Дегтярев К.Е., Каныгина Н.А., Федоров Б.В. Мезопротерозойский бимодальный магматизм Улутауского террейна Центрального Казахстана // ДАН. Науки о Земле. 2023. Т. 508. № 1. С. 5‒13.
- Третьяков А.А., Дегтярев К.Е., Каныгина Н.А., Ковач В.П., Федоров Б.В. Позднедокембрийские риолит-гранитные вулкано-плутонические ассоциации Южного Улутау (Центральный Казахстан) // Геотектоника. 2022. № 4. С. 3–34.
- Третьяков А.А., Данукалов Н.К., Дегтярев К.Е. Позднедокембрийские вулканогенные и вулканогенно осадочные толщи Улутауского массива (Центральный Казахстан): особенности состава и обоснование возраста. ‒ В сб.: Фундаментальные проблемы тектоники и геодинамики. ‒ Мат-лы LII Тектонического совещания. ‒ М.: ГЕОС, 2020. С. 338‒343.
- Филатова Л.И. Стратиграфия и историко-геологический (формационный) анализ метаморфических толщ докембрия Центрального Казахстана. ‒ М.: Недра, 1983.160 с.
- Ярмолюк В.В., Дегтярев К.Е. Докембрийские террейны Центрально-Азиатского орогенного пояса: сравнительная характеристика, типизация и особенности тектонической эволюции // Геотектоника. 2019. № 1. С. 3‒43.
- Alexeiev D.V., Biske G.S., Kröner A., Tretyakov A.A., Kovach V.P., Rojas-Agramonte Y., Ediacaran, Early Ordovician and early Silurian arcs in the South Tianshan orogen of Kyrgyzstan // J. Asian Earth Sci. 2020. Vol. 190. P. 104194.
- Alexeiev D.V., Khudoley A.K., DuFrane S.A., Glorie S., Vishnevskaya I.A., Semiletkin S.A., Letnikova E.F. Early Neoproterozoic fore-arc basin strata of the Malyi Karatau Range (South Kazakhstan): depositional ages, provenance and implications for reconstructions of Precambrian continents // Gondwana Research. 2023. Vol. 119. P. 313–340.
- Biske Yu.S., Ershova V.B., Konopelko D.L., Stockl D., Mamadjanov Yu.M., Wang X.S. Detrital-zircon geochronology and provenance of Ediacaran–Silurian rocks of the central to northern Tajikistan traverse: Geodynamic implications for the evolution of the Tian Shan // Gondwana Research. 2021. Vol. 99. P. 247–268.
- Cohen K.M., Finney S.C., Gibbard P.L., Fan J.X. The ICS International Chronostratigraphic Chart // Episodes. 2013 (updated 02.2022). Vol. 36. № 3. P. 199–204.
- Condie K.C. Chemical Composition and Evolution of the Upper Continental Crust: Contrasting Results from Surface Samples and Shales // Chem. Geol. 1993. Vol. 104. P. 1‒37.
- Cullers R.L. The chemical signature of source rocks in size fractions of Holocene stream sediment derived from metamorphic rocks in the Wet Mountains region, Colorado, U.S.A. // Chem. Geol. 1994. Vol. 113. P. 327–343.
- Degtyarev K., Yakubchuk A., Tretyakov A., Kotov A., Kovach V. Precambrian geology of the Kazakh Uplands and Tien Shan: An overview // Gondwana Research. 2017. Vol. 47. P. 44–75.
- Depaolo D.J. Neodymium isotopes in the Colorado Front Range and crust-mantle evolution in the Proterozoic// Nature. 1981. Vol. 291. P. 193–196.
- Drummond M.S., Defant M.J., Kepezhinskas P.K. Petrogenesis of slab derived trondhjemite–tonalite–dacite/adakite magmas // Trans. R. Soc. Edinb: Earth Sci. 1996. Vol. 87. P. 205–215.
- Elhlou S., Belousova E., Griffin W.L., Pearson N.J., Riley S.Y. Trace element and isotopic composition of GJ-red zircon standard by laser ablation. Geochimica et Cosmochimica Acta. 2006. Vol. 70. A158. https://doi.org/10.1016/J.GCA.2006.06.1383
- Frost B.R., Barnes C.G., Collins W.J., Arculus R.J., Ellis D.J., Frost C.D. A geochemical classification for granitic rocks // J. Petrol. 2001. Vol. 42. P. 2033–2048.
- Herron M.M. Geochemical classification of terrigenous sands and shales from core or log data // J. Sediment. Petrol. 1988. Vol. 58. P. 820–829.
- Horstwood M.S.A., Kosler J., Gehrels G., Jackson S.E., McLean N.M., Paton Ch., Pearson N.J., Sircombe K., Sylvester P., Vermeesch P., Bowring J.F., Condon D.J., Schoene B. Community-derived standards for LA-ICP-MS U‒(Th)‒Pb geochronology – uncertainty propagation, age interpretation and data reporting // Geostandards and Geoanalytical Research. 2016. Vol. 40. № 3. P. 311‒332.
- Ge R., Zhu W., Wilde S.A., He J., Cui X., Wang X., Bihai Z. Neoproterozoic to Paleozoic long-lived accretionary orogeny in the northern Tarim Craton // Tectonics. 2014. Vol. 33. P. 302–329.
- Gehrels G.E., Detrital zircon U‒Pb geochronology: Current methods and new opportunities. ‒ In: Tectonics of Sedimentary Basins: Recent Advances. ‒ Ed. by C. Busby, A. Azor, (Wiley-Blackwell, Chichester, UK. 2012). P. 47–62.
- Jackson S.E., Pearson N.J., Griffin W.L., Belousova E.A. The application of laser ablation-inductively cou-pled plasma-mass spectrometry to in situ U‒Pb zircon geochronology // Chem. Geol. 2004. V. 211. P. 47–69.
- Jiang G., Shi X., Zhang S., Wang Y., Xiao S. Stratigraphy and Paleogeography of the Ediacaran Doushantuo Formation (ca. 635–551 Ma) in South China // Gondwana Research. 2011. Vol. 19. P. 831–849.
- Kanygina N.A., Tretyakov A.A., Degtyarev K.E., Kovach V.P., Skuzovatov S.Y., Pang K.N., Wang K.L., Lee H.Y. Late Mesoproterozoic–early Neoproterozoic quartzite–schist sequences of the Aktau-Mointy terrane (Central Kazakhstan): Provenance, crustal evolution, and implications for paleotectonic reconstruction // Precambrian Research. 2021. Vol. 354. 106040.
- Käßner A., Ratschbacher L., Pfänder J.A., Hacker B.R., Zack G., Sonntag B.-L., Khan J., Stanek K.P., Gadoev M., Oimahmadov I., Proterozoic-Mesozoic history of the Central Asian orogenic belt in the Tajik and southwestern Kyrgyz Tien Shan: U‒Pb, 40Ar/39Ar, and fission-track geochronology and geochemistry of granitoids // GSA Bull. 2017. Vol. 129. P. 281–303.
- Kelemen P.B., Hanghøj K., Greene A.R. One view on the geochemistry of subduction-related magmatic arcs, with an emphasis of primitive andesite and lower crust // Treat. Geochem. 2014. P. 749–806
- Konopelko D., Klemd R., Mamadjanov Y., Hegner E., Knorsch M., Fidaev D., Kern M., Sergeev S. Permian age of orogenic thickening and crustal melting in the Garm Block, South Tien Shan // J. Asian Earth Sci. 2015. Vol. 113. P. 711–727.
- Konopelko D., Seltmann R., Mamadjanov Y., Romer R.L., Rojas-Agramonte Y., Jeffries T., Fidaev D., Niyozov A.A. Geotraverse across two paleo-subduction zones in Tien Shan, Tajikistan // Gondwana Research. 2017. Vol. 47. P. 110–130.
- Konopelko D., Biske Y.S., Kullerud K., Ganiev I., Seltmann R., Brownscombe W., Mirkamalov R., Wang B., Safonova I., Kotler P., Shatov V., Sun M., Wong J. Early Carboniferous metamorphism of the Neoproterozoic South Tien Shan‒Karakum basement: New geochronological results from Baisun and Kyzylkum, Uzbekistan // J. Asian Earth Sci. 2019. Vol. 177. P. 275–286.
- Kovach V., Degtyarev K., Tretyakov A., Kotov A., Tolmacheva E.,Wang K.-L., Chung S.-L., Lee H.-Y., Jahn B.-M. Sources and provenance of the Neoproterozoic placer deposits of the northern Kazakhstan: Implication for continental growth of the western Central Asian Orogenic Belt // Gondwana Research. 2017. Vol. 47. P. 28–43.
- Larionov A.N., Andreichev V.A., Gee D.G. The Vendian alkaline igneous suite of northern Timan: ion microprobe U‒Pb zircon ages of gabbros and syenite the Vendian alkaline igneous suite of northern Timan: Ion microprobe U‒Pb zircon ages of gabbros and syenite // Geol. Soc. London. Mem. 2004. Vol. 30. P. 69–74.
- Le Bas M.J., Le Maitre R.W., Streckeisen A., Zanettin B. A chemical classification of volcanic rocks based on the total alkali-silica diagram // J. Petrol. 1986. Vol. 27. P. 745–750.
- Long X-P., Yuan C., Sun M., Kroner A., Zhao G-C., Wilde S., Hu A-Q. Reworking of the Tarim Craton by underplating of mantle plume-derived magmas: evidence from Neoproterozoic granitoids in the Kuluketage area, NW China // Precambrian Research. 2011. Vol. 187. P. 1–14.
- McLennan S.M., Hemming S.R., McDaniel D.K., Hanson G.N. “Geochemical approaches to sedimentation, provenance, and tectonics,” in: Processes Controlling the Composition of Clastic Sediments. Ed.by M.J. Johnson, A. Basu, (GSA Spec. Pap. 1993. Vol. 284). P. 21–40.
- Nesbitt H.W., Young G.M. Early Proterozoic climates and plate motions inferred from major element chemistry of lutites // Nature. 1982. Vol. 299. P. 715‒717.
- Pearce J.A., Norry M.J. Petrogenetic implications of Ti, Zr, Y, and Nb variations in volcanic rocks // Contrib. Mineral. Petrol. 1979. Vol. 69. P. 33–47.
- Pearce J.A., Harris N.W., Tindle A.G. Trace element discrimination diagrams for the tectonic interpretation of granitic rocks // J. Petrol. 1984. Vol. 25. P. 956–983.
- Pearce J.A. Geochemical fingerprinting of oceanic basalts with applications to ophiolite classification and the search for Archean oceanic crust // Lithos, 2008. Vol. 100. P. 14–48.
- Pilitsyna A.V., Tretyakov A.A., Degtyarev K.E., Salnikova E.B., Kotov A.B., Kovach V.P., Wang K.-L., Batanova V.G. Early Palaeozoic metamorphism of Precambrian crust in the Zheltau terrane (Southern Kazakhstan, Central Asian Orogenic belt): P–T paths, protoliths, zircon dating and tectonic implications // Lithos. 2019. Vol. 324–325. P. 115–140.
- Precambrian Geology of China. ‒ Ed. by M. Zhai, (Springer, NY, USA. 2015). P. 390.
- Ren R., Guan S.W., Zhang S.C., Wu L., Zhang H.Y. How did the peripheral subduction drive the Rodinia breakup: Constraints from the Neoproterozoic tectonic process in the northern Tarim Craton // Precambrian Research. 2020. Vol. 339. P. 1–17.
- Skoblenko (Pilitsyna) A.V., Degtyarev K.E., Kanygina N.A., Tretyakov A.A., Skuzovatov S.Yu., Pang K.-N., Lee H.-Y. Precambrian and Early Palaeozoic metamorphic complexes in the SW part of the Central Asian Orogenic Belt: Ages, compositions, regional correlations and tectonic affinities // Gondwana Research. 2022. Vol. 105. P. 117‒142.
- Sláma J., Košler J., Condon D.J., Crowley J.L., Gerdes A., Hanchar J.M., Horstwood M.S.A., Morris G.A., Nasdala L., Norberg N., Schaltegger U., Schoene B., Tubrett M.N., Whitehouse M.J. Plešovice zircon – a new natural reference material for U‒Pb and Hf isotopic microanalysis // Chem. Geol. 2008. Vol. 249. P. 1–35.
- Sheshukov V.S., Kuzmichev A.B., Dubenskiy A.S., Okina O.I., Degtyarev K.E., Kanygina N.A., Kuznetsov N.B., Romanjuk T.V., Lyapunov S.M. “U‒Pb zircon dating by LA-SF-ICPMS at Geological Institute GIN RAS (Moscow),” in: Analysis of Geological and Environmental Materials of 10th Int. Conf., Sydney, Australia, (Sydney, Australia. 2018. Abstr. Book), P. 63.
- Shervais J.W. Ti‒V plots and the petrogenesis of modern and ophiolitic lavas // Earth Planet. Sci. Lett. 1982. Vol. 59. P. 101–118.
- Sun S.S., McDonough W.F. “Chemical and isotopic systematic of oceanic basalts: Implications for mantle composition and processes,” in: Magmatism in the Ocean Basins. Ed.by A.D. Saunders, M.J. Norry, (Geol. Soc. London. Spec. Publ. 1989. Vol. 42), P. 313–345.
- Taylor S.R., McLennan S.M. The Continental Crust: Its Composition and Evolution. ‒ (Blackwell, Oxford, UK. 1985). P. 312.
- Tretyakov A.A., Pilitsyna A.V., Degtyarev K.E., Kanygina N.A., Salnikova E.B., Kovach V.P., Lee H.-Y., Wang K.-L., Batanova V.G., Kovalchuk E.V. Neoproterozoic granitoid magmatism and granulite metamorphism in the Chu-Kendyktas terrane (Southern Kazakhstan, Central Asian orogenic belt): Zircon dating, Nd isotopy and tectono-magmatic evolution // Precambrian Research. 2019. Vol. 332. P. 105397.
- Whalen J.B., Currie K.L., Chappell B.W. A-type granites ‒ geochemical characteristics, discrimination and petrogenesis // Contrib. Mineral. Petrol. 1987. Vol. 95. P. 407–419.
- Wiedenbeck M.P.A., Corfu F., Griffin W.L., Meier M., Oberli F., von Quadt A., Roddick J.C., Spiegel W. Three natural zircon standards for U‒Th‒Pb, Lu‒Hf, trace element and REE analyses // Geostandards and Geoanalytical Res. 1995. Vol. 19. P. 1–23.
- Wiedenbeck M., Hanchar J.M., Peck W.H., Sylvester P., Valley J., Whitehouse M., Kronz A., Morishita Y., Nasdala L., Fiebig J., Franchi I., Girard J.-P., Greenwood R.C., Hinton R., Kita N., Mason P.R.D., Norman M., Ogasawara M., Piccoli P.M., Rhede D., Satoh H., Schulz-Dobrick B., Skår Ø., Spicuzza M.J., Terada K., Tindle A., Togashi S., Vennemann T., Xie Q., Zheng Y.-F. Further characterization of the 91500 zircon crystal // Geostandards and Geoanalytical Res. 2004. Vol. 28. P. 9–39.
- Worthington J.R., Kapp P., Minaev V., Chapman J.B., Mazdab F.K., Ducea M.N., Oimahmadov I., Gadoev M. Birth, life, and demise of the Andean – syncollisional Gissar arc: Late Paleozoic tectono-magmatic-metamorphic evolution of the southwestern Tian Shan, Tajikistan // Tectonics. 2017. Vol. 36. P. 1861–1912.
- Wu L., Guan S.W., Ren R., Wang X.B., Yang H.J., Jing J.Q., Zhu G.Y. The characteristics of Precambrian sedimentary basin and the distribution of deep source rock: A case study of Tarim basin in Neoproterozoic and source rocks in early Cambrian, Western China // Petrol. Explor. Dev. 2016. Vol. 43. P. 905‒915.
- Wu H.-X., Dilek Y., Zhang F.-Q., Chen H.-L., Chen H., Wang C.-Y., Lin X.-B., Cheng X.-G. Ediacaran magmatism and rifting along the northern margin of the Tarim craton: Implications for the late Neoproterozoic Rodinia configuration and breakup // GSA Bull. 2022. Vol. 135. № 1–2. P. 367–388.
- Xu B., Jian P., Zheng H., Zou H., Zhang L., Liu D. U‒Pb zircon geochronology and geochemistry of Neoproterozoic volcanic rocks in the Tarim Block of northwest China: Implications for the breakup of Rodinia supercontinent and Neoproterozoic glaciations // Precambrian Research. 2005. Vol. 136. P. 107–123.
- Zhang C.-L., Li X.-H., Li Z.-X., Lu S.-N., Ye H.-M., Li H.-M. Neoproterozoic ultramficmafic-carbonatite complex, granitoids in Quruqtagh of northeastern Tarim Block, Western China: Geochronology, geochemistry and tectonic implications // Precambrian Research. 2007. Vol. 152. P. 149–169.
- Zhang C.L., Zou H.B., Li H.K., Wang H.Y. Multiple phases of Neoproterozoic ultramafic-mafic complex in Kuruqtagh, northern margin of Tarim: Interaction between plate subduction and mantle plume? // Precambrian Research. 2012. Vol. 222–223. P. 488–502.
- Zhang C.L., Ye X.T., Zou H.B., Chen X.Y. Neoproterozoic sedimentary basin evolution in southwestern Tarim, NW China: New evidence from field observations, detrital zircon U‒Pb ages and Hf isotope compositions // Precambrian Research. 2016. Vol. 280. P. 31–45.
- Zhao G.C., Wang Y.J., Huang B.C., Dong Y.P., Li S.Z., Zhang G.W., Yu S. Geological reconstructions of the East Asian blocks: From the breakup of Rodinia to the assembly of Pangea // Earth Sci. Rev. 2018. Vol. 186. P. 262–286.
- Overlap-Similarity, http:// www.geo.arizona.edu/alc (Accessed April, 2023).
- Normalized Prob, http:// www.geo.arizona.edu/alc (Accessed Aril, 2023).
- Cumulative Prob plot, http:// www.geo.arizona.edu/alc (Accessed April, 2023).
- Age Pick, http:// www.geo.arizona.edu/alc (Accessed April, 2023).
Дополнительные файлы



























