Популяционно-генетическая структура населения Сибири по данным о частотах полиморфных вариантов генов транспорта и рецепции витамина D
- Авторы: Тхоренко Б.А.1, Мейер А.В.1, Вавин Г.В.1, Имекина Д.О.1, Ульянова М.В.1, Лузина Ф.А.2, Лавряшина М.Б.1
-
Учреждения:
- Кемеровский государственный медицинский университет
- Научно-исследовательский институт комплексных проблем гигиены и профессиональных заболеваний
- Выпуск: Том 60, № 12 (2024)
- Страницы: 83–93
- Раздел: ГЕНЕТИКА ЧЕЛОВЕКА
- URL: https://journals.rcsi.science/0016-6758/article/view/277601
- DOI: https://doi.org/10.31857/S0016675824120092
- EDN: https://elibrary.ru/vzzyto
- ID: 277601
Цитировать
Аннотация
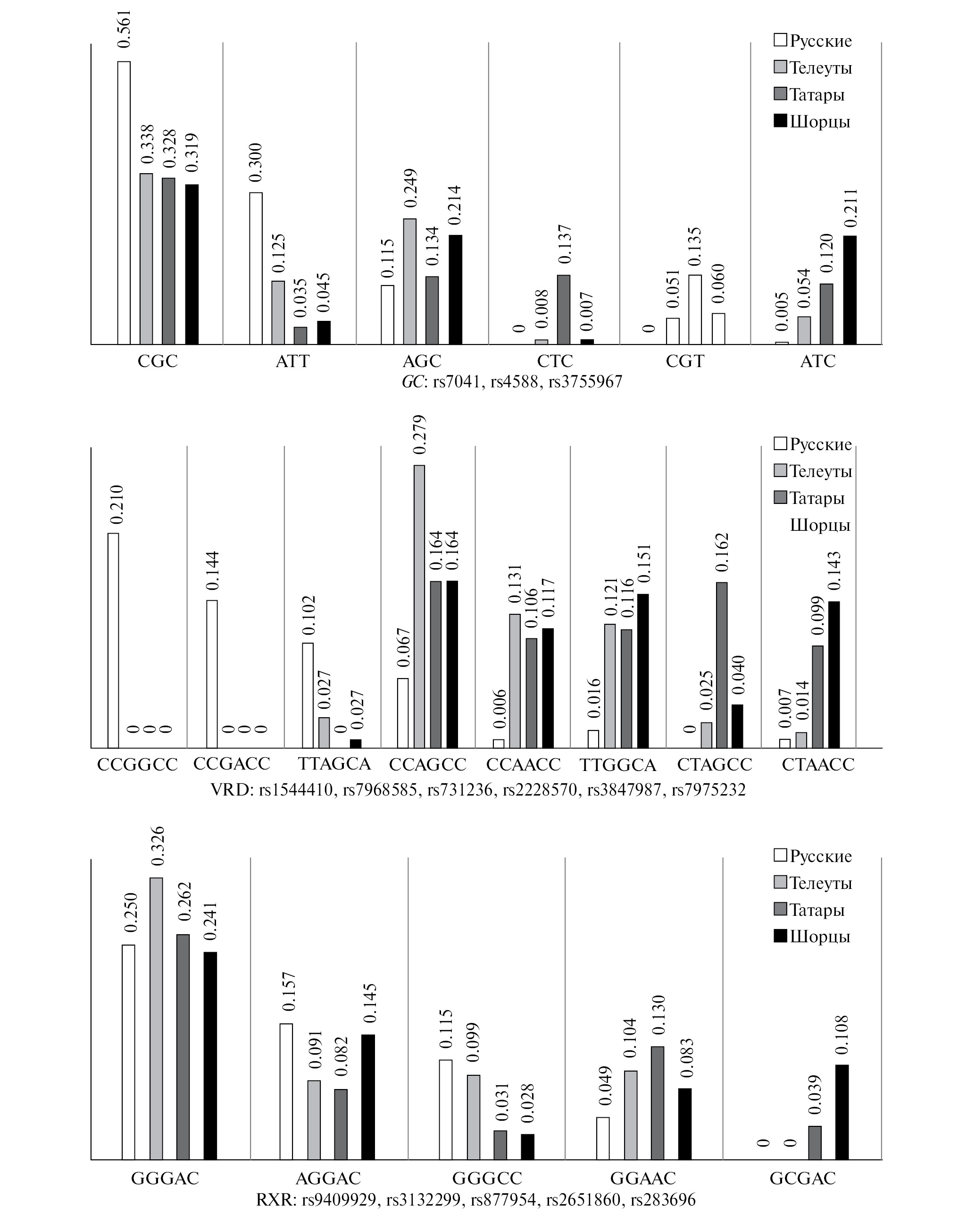
Генофонды народов Сибири – потенциальный источник данных о составах гаплотипов полиморфных вариантов генов, сформировавшихся в ходе эволюции популяций под влиянием специфического комплекса природно-климатических факторов, в условиях относительной географической, культурной изоляции и традиционных практик жизнеобеспечения. С целью изучения генетической адаптации к недостаточной обеспеченности витамином D (низкий уровень инсоляции и доступности нутриентов, содержащих холекальциферол и эргокальциферол) в выборках коренного тюркоязычного (телеуты, томские татары, шорцы) и пришлого восточнославянского (русские) населения Сибири проведено исследование частот полиморфных вариантов (14 SNP) генов, отвечающих за транспорт витамина D – ген GC (Group-Specific Component), структуру его основного рецептора – ген VDR (vitamin D receptor) и рецепторов-партнеров RXR (retinoid X receptor) – гены RXRA и RXRG. Суммарный объем выборки составил 411 человек. Анализ частот полиморфных вариантов продемонстрировал специфические черты генофондов коренных популяций Сибири по сравнению с русским населением, общемировыми частотами и частотами, характерными для популяций Европы и Восточной Азии. При попарном сравнении с выборкой русских статистически значимые отличия выявлены в отношении частот rs7041 (шорцы), rs3847987 (томские татары, телеуты, шорцы), rs9409929 (томские татары, телеуты), rs877954 (томские татары), rs283696 (телеуты). По данным усредненных генетических расстояний (d) минимальные дистанции отмечены между телеутами и томскими татарами. Выборка русских в целом оказалась наиболее удаленной в генетическом пространстве исследованных народов Сибири. Исследование частот гаплотипов полиморфных вариантов генов транспорта и рецепции витамина D продемонстрировало накопление в генофонде коренных популяций SNP, ассоциированных, по данным литературы, с более высоким уровнем сывороточного витамина D. По генам GC и VDR гаплотипический профиль изученных полиморфных вариантов характеризовался выраженной спецификой и отличался по составу от такового у русского населения. Проведенное исследование позволяет сделать заключение о том, что структура генофондов коренных народов Сибири сохраняет своеобразие, отражающее историю их сложения и демонстрирующее черты генетической адаптации коренных популяций к условиям среды обитания.
Ключевые слова
Полный текст
Об авторах
Б. А. Тхоренко
Кемеровский государственный медицинский университет
Автор, ответственный за переписку.
Email: tba2008@mail.ru
Россия, Кемерово, 650056
А. В. Мейер
Кемеровский государственный медицинский университет
Email: tba2008@mail.ru
Россия, Кемерово, 650056
Г. В. Вавин
Кемеровский государственный медицинский университет
Email: tba2008@mail.ru
Россия, Кемерово, 650056
Д. О. Имекина
Кемеровский государственный медицинский университет
Email: tba2008@mail.ru
Россия, Кемерово, 650056
М. В. Ульянова
Кемеровский государственный медицинский университет
Email: tba2008@mail.ru
Россия, Кемерово, 650056
Ф. А. Лузина
Научно-исследовательский институт комплексных проблем гигиены и профессиональных заболеваний
Email: tba2008@mail.ru
Россия, Новокузнецк, 654041
М. Б. Лавряшина
Кемеровский государственный медицинский университет
Email: tba2008@mail.ru
Россия, Кемерово, 650056
Список литературы
- IUPAC-IUB joint commission on biochemical nomenclature (jcbn). Nomenclature of vitamin D. Recommendations 1981 // Mol. Cell. Biochem. 1982. V. 49. № 3. P. 177–181. doi: 10.1007/BF00231180
- Громова О.А., Торшин И.Ю., Гилельс А.В. и др. Метаболиты витамина D: роль в диагностике и терапии витамин-D-зависимых патологий // Фармакокинетика и фармакодинамика. 2016. № 4. С. 9–18.
- Бочкарникова А.Г., Тришкин А.Г., Пустотина О.А., Мозес В. “D-статус” пациенток с репродуктивными нарушениями // Фундаментальная и клиническая медицина. 2018. Т. 3. № 3. С. 6–11.
- Christakos S., Dhawan P., Verstuyf A. et al. Vitamin D: Metabolism, molecular mechanism of action, and pleiotropic effects // Physiol. Rev. 2016. V. 96. № 1. P. 365–408. doi: 10.1152/physrev.00014.2015
- Voltan G., Cannito M., Ferrarese M. et al. Vitamin D: An overview of gene regulation, ranging from metabolism to genomic effects // Genes (Basel). 2023. V. 14. № 9. doi: 10.3390/genes14091691
- Водолазкая А.Н., Орлова С.В., Батышева Т.Т. и др. Факторы, влияющие на биодоступность витамина D // Мед. алфавит. 2023. № 29. С. 55–60. doi: 10.33667/2078-5631-2023-29-55-60
- Козлов А.И., Вершубская Г.Г. 25-гидроксивитамин D в различных группах населения Севера России // Физиология человека. 2019. Т. 45. № 5. С. 125–136. doi: 10.1134/S0131164619050060
- Luthold R.V., Fernandes G.R., Franco-de-Moraes A.C. et al. Gut microbiota interactions with the immunomodulatory role of vitamin D in normal individuals // Metabolism. 2017. № 69. P. 76–86. doi: 10.1016/j.metabol.2017.01.007
- Bakke D., Sun J. Ancient nuclear receptor VDR with new functions: microbiome and inflammation // Inflamm. Bowel. Dis. 2018. V. 24. № 6. P. 1149–1154. doi: 10.1093/ibd/izy092
- Boughanem H., Ruiz-Limón P., Pilo J. et al. Linking serum vitamin D levels with gut microbiota after 1-year lifestyle intervention with mediterranean diet in patients with obesity and metabolic syndrome: A nested cross-sectional and prospective study // Gut Microbes. 2023. V. 15. № 2. doi: 10.1080/19490976.2023.2249150
- Козлов А.И., Вершубская Г.Г., Лавряшина М.Б., Остроухова И.О. Отражение особенностей традиционного питания в генофондах народов с лесо-таёжным типом природопользования // Вестник МГУ. Серия 23: Антропология. 2020. № 3. С. 46–56. doi: 10.32521/2074-8132.2020.3.046-056
- Manousaki D., Mitchell R., Dudding T. et al. Genome-wide association study for vitamin D levels reveals 69 independent loci // Am. J. Hum. Genet. 2020. V. 106. № 3. P. 327–337. doi: 10.1016/j.ajhg.2020.01.017
- Вильмс Е.А., Добровольская Е.В., Турчанинов Д.В. и др. Обеспеченность взрослого населения Западной Сибири витамином D: данные популяционного исследования // Вопросы питания. 2019. Т. 88. № 4. С. 75–82. doi: 10.24411/0042-8833-2019-10044
- Петрушкина А.А., Пигарова Е.А., Рожинская Л.Я. Эпидемиология дефицита витамина D в Российской Федерации // Остеопороз и остеопатии. 2018. Т. 21. № 3. С. 15–20. doi: 10.14341/osteo10038
- Малярчук Б.А. Полиморфизм гена рецептора витамина D у коренного населения Сибири // Вестник Северо-Восточного науч. центра ДВО РАН. 2020. № 3. С. 120–127. doi: 10.34078/1814-0998-2020-3-120-127
- Малярчук Б.А., Деренко М.В., Денисова Г.А. Адаптивные изменения генов десатурации жирных кислот у коренного населения Северо-Востока Сибири // Генетика. 2021. Т. 57. № 12. С. 1458–1464. (Malyarchuk B.A., Derenko M.V., Denisova G.A. Adaptive changes in fatty acid desaturation genes in indigenous populations of Northeast Siberia // Rus. J. Genetics. 2021. V. 57. № 12. P. 1461–1466.) doi: 10.31857/S0016675821120109
- Козлов А.И., Пылев В.Ю., Вершубская Г.Г., Балановская Е.В. Клинальная изменчивость генетических детерминант трегалазной недостаточности в популяциях Южной Сибири, Казахстана, Центральной Азии и Монголии // Вестник МГУ. Серия 23: Антропология. 2023. № 3. С. 63–71. doi: 10.32521/2074-8132.2023.3.063-071
- Малярчук Б.А., Деренко М.В. Оценка роли отбора в эволюции митохондриальных геномов коренного населения Сибири // Вавил. журнал генетики и селекции. 2023. Т. 27. № 3. С. 218–223. doi: 10.18699/VJGB-23-28
- Козлов А.И., Малярчук Б.А., Лавряшина М.Б., Вершубская Г.Г. Нарушения усвоения сахарозы подтверждают своеобразие генетической истории эскимосов // Вестник МГУ. Серия 23: Антропология. 2023. № 2. С. 82–91. doi: 10.32521/2074-8132.2023.2.082-091
- Доскина Е.В. Роль различных форм витамина D в лечении пациентов с дефицитом витамина D (клинический случай) // Эндокринология. Новости. Мнения. Обучение. 2021. Т. 10. № 2(35). С. 123–129. doi: 10.33029/2304-9529-2021-10-2-123-129
- Carlberg C., Raczyk M., Zawrotna N. Vitamin D: A master example of nutrigenomics // Redox. Biol. 2023. V. 62. P. 102695. doi: 10.1016/j.redox.2023.102695
- Балановская Е.В., Жабагин М.К., Агджоян А.Т. и др. Популяционные биобанки: принципы организации и перспективы применения в геногеографии и персонализированной медицине // Генетика. 2016. Т. 52. № 12. С. 1371–1387. (Balanovska E.V., Zhabagin M.K. Agdzhoyan A.T. et al. Population biobanks: organizational models and prospects of application in gene geography and personalized medicine // Rus. J. Genetics. 2016. V. 52. № 12. P. 1227–1243.) doi: 10.7868/S001667581612002X
- Функ Д.А. Бачатские телеуты в XVIII – первой четверти XX века: историко-этнографическое исследование. М.: Ин-т этнологии и антропологии им. Н.Н. Миклухо-Маклая РАН, 1993. 325 с.
- Лавряшина М.Б., Ульянова М.В., Поддубиков В.В. и др. Мониторинг сельских популяций шорцев и телеутов: воспроизводство, среда, гены // Генетика человека и патология: Сб. научных трудов. 2017. №. 11. С. 49–51.
- Лузина Ф.А., Колбаско А.В., Лотош О.Е. Демографическая структура и её динамика у телеутов // Бюл. СО РАМН. 2006. № 3. С. 60–63.
- Hibler E.A., Hu C., Jurutka P.W. et al. Polymorphic variation in the GC and CASR genes and associations with vitamin D metabolite concentration and metachronous colorectal neoplasia // Cancer Epidemiol. Biomarkers Prev. 2012. V. 21. № 2. P. 368–375. doi: 10.1158/1055-9965.EPI-11-0916
- Abbas S., Linseisen J., Slanger T. et al. The GC2 allele of the vitamin D binding protein is associated with a decreased postmenopausal breast cancer risk, independent of the vitamin D status // Cancer Epidemiol. Biomarkers Prev. 2008. V. 17. № 6. P. 1339–1343. doi: 10.1158/1055-9965.EPI-08-0162
- Gibbs D.C., Fedirko V., Um C. et al. Associations of circulating 25-hydroxyvitamin D3 concentrations with incident, sporadic colorectal adenoma risk according to common vitamin D-binding protein isoforms // Am. J. Epidemiol. 2018. V. 187. № 9. P. 1923–1930. doi: 10.1093/aje/kwy102
- Ashok N., Saraswathy R. Association of polymorphisms of vitamin D gene in children with asthma and allergic rhinitis – Hospital based study // Heliyon. 2023. V. 10. № 1. doi: 10.1016/j.heliyon. 2023.e23673
- Ferraz R.S., Silva C.S., Cavalcante G.C. et al. Variants in the VDR gene may influence 25(OH)D levels in type 1 diabetes mellitus in a brazilian population // Nutrients. 2022. V. 14. № 5. doi: 10.3390/nu14051010
- Zhao X.Q., Wan H.Y., He S.Y. et al. Vitamin D receptor genetic polymorphisms associate with a decreased susceptibility to extremity osteomyelitis partly by inhibiting macrophage apoptosis through inhibition of excessive ROS production via VDR-Bmi1 signaling // Front. Physiol. 2022. № 13. doi: 10.3389/fphys.2022.808272
- Jia J., Tang Y., Shen C. et al. Vitamin D receptor polymorphism rs2228570 is significantly associated with risk of dyslipidemia and serum LDL levels in Chinese Han population // Lipids Health Dis. 2018. V. 17. № 1. P. 193. doi: 10.1186/s12944-018-0819-0
- Zhang D., Cheng C., Wang Y. et al. The influence of VDR polymorphisms on the type 2 diabetes susceptibility in Chinese: An interaction with hypertriglyceridemia // Mol. Genet. Genomics. 2021. V. 296. № 4. P. 837–844. doi: 10.1007/s00438-021-01784-z
- Levin G.P., Robinson-Cohen C., de Boer I.H. et al. Genetic variants and associations of 25-hydroxyvitamin D concentrations with major clinical outcomes // Jama. 2012. V. 308. № 18. P. 1898–1905. doi: 10.1001/jama.2012.17304
- Hibler E.A., Jurutka P.W., Egan J.B. et al. Association between polymorphic variation in VDR and RXRA and circulating levels of vitamin D metabolites // The J. Steroid Biochemistry and Mol. Biology. 2010. V. 121. № 1–2. P. 438–441. doi: 10.1016/j.jsbmb.2010.03.05
- Sentinelli F., Minicocci I., Montali A. et al. Association of RXR-gamma gene variants with familial combined hyperlipidemia: genotype and haplotype analysis // J. Lipids. 2013. № 2013. doi: 10.1155/2013/51794
Дополнительные файлы





