Экспрессия генов LYST и SLFN12L в лейкоцитах периферической крови у больных саркоидозом легких с хроническим течением заболевания
- Авторы: Малышева И.Е.1, Балан О.В.2, Тихонович Э.Л.1,3
-
Учреждения:
- Федеральный исследовательский центр «Карельский научный центр Российской академии наук»
- Федеральный исследовательский центр «Карельский научный центр Российской академии наук»,
- Республиканская больница им. В.А. Баранова
- Выпуск: Том 60, № 11 (2024)
- Страницы: 107-111
- Раздел: КРАТКИЕ СООБЩЕНИЯ
- URL: https://journals.rcsi.science/0016-6758/article/view/274213
- DOI: https://doi.org/10.31857/S0016675824110096
- EDN: https://elibrary.ru/wbcmac
- ID: 274213
Цитировать
Полный текст
Аннотация
В настоящей работе изучена экспрессия генов LYST и SLFN12L в лейкоцитах периферической крови (ЛПК) у больных саркоидозом легких с хроническим течением заболевания и у здоровых людей (контроль). В исследовании приняли участие 45 человек – 20 больных (без терапии, с хроническим течением саркоидоза легких (II стадия заболевания), средний возраст больных 41,00 ± 12,56 года) и 25 здоровых людей (средний возраст 45,86 ± 2,13 года). Уровень экспрессии генов определяли методом ПЦР в режиме реального времени. Установлено достоверное снижение количества транскриптов гена SLFN12L (р = 0.002) и уменьшение содержания мРНК гена LYST (р = 0.09) в ЛПК больных саркоидозом легких по сравнению с контролем. Дифференциальная экспрессия LYST и SLFN12L может свидетельствовать о вовлечении указанных генов в патогенез данного заболевания, а также о возможном участии в модулировании иммунных реакций при развитии воспалительных процессов при саркоидозе легких.
Полный текст
Саркоидоз легких (болезнь Бенье–Бека–Шауманна) относится к системным воспалительным заболеваниям неизвестной этиологии. В большинстве случаев (до 90%) эпителиоидно-клеточные гранулемы (характерный признак заболевания) образуются в легких. В дальнейшем они могут рассасываться или претерпевать фиброзные изменения, что может способствовать развитию дыхательной недостаточности [1, 2]. Разнообразие клинических проявлений и вариантов течения заболевания, а также отсутствие конкретного диагностического критерия сопряжено с определенными трудностями диагностики саркоидоза легких [3]. В связи с этим актуальным является поиск молекулярно-генетических маркеров для ранней диагностики и разных вариантов течения заболевания. В развитии данного заболевания важную роль играют средовые, иммунологические, генетические факторы [4]. Генетическая составляющая в патогенезе саркоидоза легких имеет немаловажное значение, о чем свидетельствует более частое возникновение заболевания в определенных расовых и этнических группах, а также более высокая распространенность саркоидоза среди родственников первой степени родства [5, 6].
В последние годы проведены комплексные исследования по анализу данных секвенирования метилома, транскриптома, микроРНК у больных саркоидозом. В результате было выявлено множество новых генетических локусов и генов предрасположенности к саркоидозу, что указывает на сложные генетические и патофизиологические механизмы развития этого заболевания [7]. I. Konigsberg с соавт. [8], анализируя метилом и транскриптом (в частности микроРНК в клетках бронхоальвеолярного лаважа (БАЛ) больных саркоидозом), установили молекулярные изменения, связанные с развитием и прогрессированием заболевания. Выявлены дифференциально зкспрессирующиеся гены, такие как LYST, SLFN12L и др. [8]. Согласно данным литературы, ген LYST (также известный как CHS1) кодирует белок-регулятор лизосомального гомеостаза, участвующий в транспорте везикул, слиянии их с лизосомами и высвобождении лизосомальных ферментов, а также в сохранении количества лизосом после аутофагии [9, 10]. В результате мутаций в гене LYST нарушается формирование внутриклеточных гранул в различных клетках. Так, при синдроме Чедиака–Хигаши (редкое иммунодефицитное аутосомно-рецессивное заболевание), дефектный лизосомальный транспорт в нейтрофилах приводит к образованию в клетках гигантских гранул. При этом происходит снижение хемотаксических реакций и способность этих клеток к внутриклеточному уничтожению бактерий [11]. Наряду с LC3B2 и ATG ген LYST может рассматриваться как маркер аутофагии. Важную роль в процессах апоптоза, а также в дифференцировке иммунных клеток и иммунной регуляции играют белки, кодируемые генами семейства Schlafen (SLFN) [12]. Так, повышение содержания SLFN12 блокирует процессы трансляции и активирует апоптоз. Высокая экспрессия этого гена отмечена в моноцитах, а SLFN5 – в T-лимфоцитах первичных культур клеток человека [13]. В клетках БАЛ у больных саркоидозом регистрируется дифференциальная экспрессия гена SLFN12L [8]. Сведения о том, как изменяется уровень экспрессии указанных генов в лейкоцитах периферической крови (ЛПК) больных при развитии саркоидоза легких II стадии (которая наиболее часто рентгенологически диагностируется у большей части больных [14]), могут иметь важное значение для изучения патогенетических механизмов развития и прогрессирования саркоидоза легких.
В настоящем исследовании проведена оценка уровня экспрессии генов LYST, SLFN12L в ЛПК у больных саркоидозом легких с хроническим течением заболевания (II стадия заболевания), без терапии, а также у здоровых людей (контроль). Было обследовано 45 человек – 20 больных (без терапии, с хроническим течением саркоидоза легких (II стадия заболевания), средний возраст больных 41,00 ± 12,56 года) и 25 здоровых людей (средний возраст 45,86 ± 2,13 года). Диагноз «саркоидоз легких» установлен в соответствии с критериями на основе клинико-рентгенологических и лабораторных изменений. Саркоидоз у всех пациентов (100%) был верифицирован гистологически на основании исследования биоптата. Больные саркоидозом легких со стабильным течением при отсутствии активности данного заболевания находились без терапии и не получали других видов лечения на момент проведения исследования.
Длительность наблюдения больных саркоидозом легких – от 1 года до 12 лет. До проведения исследований было получено информированное письменное согласие от всех пациентов. Критерии исключения из исследования: наличие сахарного диабета, выраженные нарушения функции внутренних органов, а также перенесенные в последний месяц инфекционные заболевания, курение табака, беременность и лактация, алкогольная зависимость, индекс массы тела ≥ 30 кг/м. Работа была выполнена с соблюдением этических норм согласно критериям Всемирной ассоциации медицинских редакторов (The World Association of Medical Editors – WAME) и одобрено локальным этическим комитетом ГБУ3 «Pеспубликанская больница им. В.А. Баранова» г. Петрозаводска, протокол № 165 от 02.11.2023 г. Образцы венозной крови использовали в качестве материала для исследования. Пробы периферической крови в исследуемых группах людей были взяты в утренние часы (8.00), натощак.
Из лейкоцитов периферической крови выделяли тотальную РНК, используя реагент для выделения РНК PureZol (Bio-Rad). Синтез кДНК осуществляли с помощью набора MMLV RT kit («Евроген», Россия). Уровень экспрессии генов LYST, SLFN12L, а также LC3B2, p53 и ATG5 в ЛПК оценивали методом полимеразной цепной реакции в режиме реального времени (ПЦР-РВ) с использованием наборов qPCRmix-HS SYBR («Евроген», Россия). В качестве референсных генов были выбраны 18sRNA и RPL19. ПЦР-РВ для каждого образца проводили не менее трех раз. Конструирование праймеров осуществляли в программе Beacon Designer 5.0. Нуклеотидная последовательность праймеров представлена в табл. 1.
Таблица 1. Последовательность праймеров для ПЦР-РВ
Ген (№ в NCBI) | Праймер | Последовательность праймера 5’–3’ | Источник |
18sRNA (NR_145819.1) | Прямой | agaaacggctaccacatcca | [15] |
Обратный | caccagacttgccctcca | ||
RPL19 (NM_000981.4) | Прямой | aatcgccaatgccaactc | Собственный дизайн |
Обратный | ccttccgcttacctatgc | ||
LYST | Прямой | caaagggagtgctgggatttc | Собственный дизайн |
Обратный | caatagtgctgtggcttcgc | ||
SLFN12L (NM_001363830.2) | Прямой | tctccagtatcaccaggcca | Собственный дизайн |
Обратный | tgttcctgcgttcatcctcc | ||
LC3B2 (NM_001085481.3) | Прямой | cggtgataatagaacgatacaagg | Собственный дизайн |
Обратный | ctgagattggtgtggagacg | ||
p53 (NM_000546.6) | Прямой | cgtcagaagcacccaggact | [16] |
Обратный | catcctcctccccacaacaa | ||
ATG5 (NM_004849.4) | Прямой | ttcctggagtcctgctacc | Собственный дизайн |
Обратный | atctttgtcatctgtcattcttcc |
Статистическая обработка данных проведена в программе StatGraphics Centurion XVI (версия 16.1.11). Достоверность различий уровня транскриптов гена между группами оценивали с помощью непараметрического критерия U Вилкоксона–Манна–Уитни. Различия считали достоверными при p < 0,05. Исследования выполнены на научном оборудовании ЦКП ФИЦ КАРНЦ РАН.
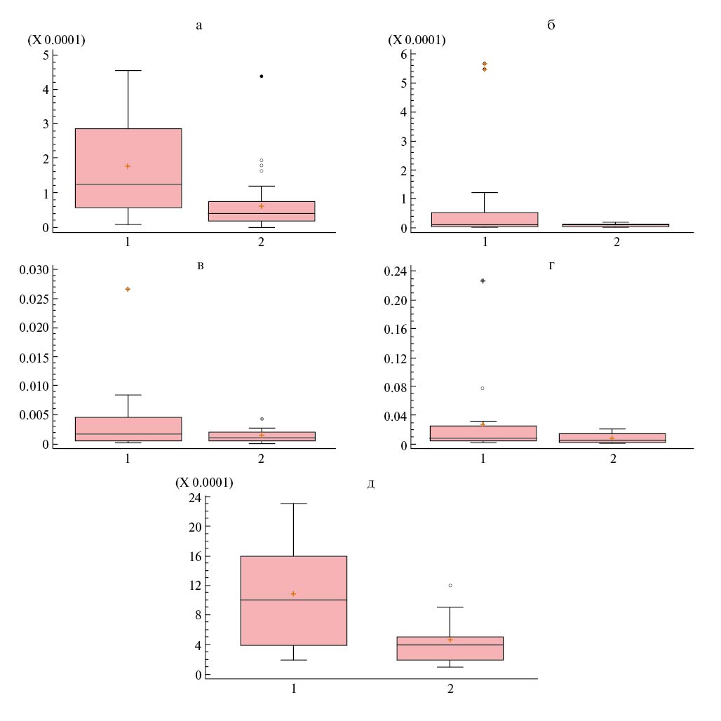
Результаты исследований представлены на рис. 1. На фоне хронического течения саркоидоза легких в ЛПК пациентов, не находящихся на противовоспалительной терапии, отмечается статистически значимое снижение уровня экспрессии SLFN12L, сопровождающееся уменьшением уровня мРНК гена p53. Экспрессия генов LYST и LC3B2 (маркера уровня аутофагии) также была снижена и сопровождалась статистически значимым уменьшением уровня мРНК гена ATG5. Кроме того, положительная тесная связь выявлена между экспрессией LYST и ATG5, коэффициент ранговой корреляции Спирмена составил 0,56 (p = 0,0001).
Рис. 1. Уровень экспрессии генов SLFN12L (a), LYST (б), LC3B2 (в), p53 (г) и ATG5 (д) в ЛПК условно здоровых доноров (1) и пациентов с саркоидозом легких (2). Горизонтальные линии внутри прямоугольников –— - медиана, ● – среднее значение.
Повышенный уровень экспрессии исследуемых генов в ЛПК больных саркоидозом легких, вероятно, свидетельствует об их вовлечении в патогенез данного заболевания. Возможно, кодируемые генами LYST и SLFN12L белковые продукты вовлечены в модулирование иммунных процессов, которые, в свою очередь, могут вносить определенный вклад в развитие воспаления [17] и фибропролиферативные нарушения при саркоидозе легких посредством снижения активности аутофагии. Наблюдаемые изменения уровня экспрессии исследуемых генов в ЛПК больных саркоидозом легких с хроническим развитием заболевания II стадии можно использовать для изучения патогенетических механизмов.
Финансовое обеспечение исследований осуществлялось из средств федерального бюджета на выполнение государственного задания Карельского научного центра Российской академии наук (тема FMEN-2022-0017 12203100099-1).
Исследование одобрено Этическим комитетом ГБУ3 «Pеспубликанская больница им. В.А. Баранова» г. Петрозаводска, протокол № 165 от 02.11.2023 г.
Все процедуры, выполненные в ходе исследования с участием людей, соответствуют этическим стандартам институционального и/или национального комитета по исследовательской этике и Хельсинкской декларации 1964 г. и ее последующим изменениям или сопоставимым нормам этики.
От каждого из включенных в исследование участников или их законных представителей было получено информированное добровольное согласие.
Авторы заявляют, что у них нет конфликта интересов.
Об авторах
И. Е. Малышева
Федеральный исследовательский центр «Карельский научный центр Российской академии наук»
Автор, ответственный за переписку.
Email: i.e.malysheva@yandex.ru
Россия, Петрозаводск, 185910
О. В. Балан
Федеральный исследовательский центр «Карельский научный центр Российской академии наук»,
Email: i.e.malysheva@yandex.ru
Россия, Петрозаводск, 185910
Э. Л. Тихонович
Федеральный исследовательский центр «Карельский научный центр Российской академии наук»; Республиканская больница им. В.А. Баранова
Email: i.e.malysheva@yandex.ru
Россия, Петрозаводск, 185910; Петрозаводск, 185019
Список литературы
- Саркоидоз / под ред. А. А. Визеля. М.: Атмосфера, 2010. 30 с.
- Baughman R. P., Culver D. A., Judson M. A. A concise review of pulmonary sarcoidosis // Am. J. Respir. Crit. Care Med. 2011. V. 183. № 5. P. 573–581. doi: 10.1164/rccm.201006-0865CI
- Lynch J. P., Ma Y. L., Koss M. N., White E. S. Pulmonary sarcoidosis // Semin. Respir. Crit. Care Med. 2007. V. 28. № 31. P. 53–74. doi: 10.1055/s-2007-970333
- Patterson K. C., Chen E. S. The pathogenesis of pulmonary sarcoidosis and implications for treatment // CHEST. 2018. V. 153. № 6. P. 1432–1442. doi: 10.1111/j.1398-9995.2005.00778.x
- McDougal K., Fallin M., Moller D. et al. Variation in the lymphotoxin-alpha/tumor necrosis factor locus modifies risk of erythema nodosum in sarcoidosis // J. Invest. Dermat. 2009. V. 129. № 8. P. 1921–1926. doi: 10.1038/jid.2008.456
- Terwiel M., van Moorsel C. H. M. Clinical epidemiology of familial sarcoidosis: A systematic literature review // Respir. Med. 2019. V. 149. P. 36–41.
- Hocˇevar K., Maver A., Kunej T., Peterlin B. Sarcoidosis related novel candidate genes identified by multi-omics integrative analyses // OMICS. 2018. V. 22. № 5. P. 322–331. doi: 10.1089/omi.2018.0027
- Konigsberg I. R., Lin N. W., Liao S. Y. et al. Multi-omic signatures of sarcoidosis and progression in bronchoalveolar lavage cells // bioRxiv. 2023. doi: 10.1101/2023.01.26.525601
- Ji X., Chang B., Naggert J. K., Nishida P. M. Lysosomal trafficking regulator // Adv. Exp. Med. Biol. 2016. V. 854. P. 745–750. doi: 10.1007/978-3-319-17121-0_99
- Lattao R., Rangone H., Llamazares S. et al. Mauve/LYST limits fusion of lysosome-related and promotes centrosomal recruitment of microtubule nucleating proteins // Dev. Cell. 2021. V. 56. № 7. P. 1000–1013. doi: 10.1016/j.devcel.2021.02.019
- Silva L. M., Brenchley L., Moutsopoulos N. M. Primary immunodeficiencies reveal the essential role of tissue neutrophils in periodontitis // Immunol. Rev. 2019. V. 287. № 1. P. 226–235. doi: 10.1111/imr.12724
- Jo U., Pommier Y. S. Structural, molecular, and functional insights into Schlafen proteins // Exp. Mol. Med. 2022. V. 54. № 6. P. 730–738. doi: 10.1038/s12276-022-00794-0
- Puck A., Aigner R., Modak M. et al. Expression and regulation of Schlafen (SLFN) family members in primary human monocytes, monocyte-derived dendritic cells and T-cells // Res. Immunol. 2015. V. 5. P. 23–32.
- Criado E., Sánchez M., Ramírez J., et al. Pulmonary sarcoidosis: Typical and atypical manifestations at high-resolution CT with pathologic correlation // RadioGraphics. 2010. V. 30(6). P. 1567–1586. doi: 10.1148/rg.306105512
- Pinto J., Dias V., Zoller H. et al. Hepcidin messenger RNA expression in human lymphocytes // Immunology. 2010. V. 130 № 2. P. 217–230. doi: 10.1111/j.1365-2567.2009.03226.x
- Zhang F., Sriram S. Identification and characterization of the interferon-β-mediated p53 signal pathway in human peripheral blood mononuclear cells // Immunology. 2009. V. 128. Pt. 2. P. e905–e918. doi: 10.1111/j.1365-2567.2009.03104.x
- Pang Y., Wu L., Tang C. et al. Autophagy-inflammation interplay during infection: Balancing pathogen clearance and host onflammation // Front. Pharmacol. 2022. V. 13. doi: 10.3389/fphar.2022.832750
Дополнительные файлы



