Calpastatin CAST and Androgen Receptor AR Gene Polymorphism Studyas Meat Quality Predictors in Reindeer Rangifer tarandus
- Authors: Konorov E.A.1,2, Kurbakov K.A.1,2, Semina M.T.1, Stolpovsky Y.A.1, Layshev K.A.1,3
-
Affiliations:
- Vavilov Institute of General Genetics, Russian Academy of Sciences
- Gorbatov Federal Research Center for Food Systems, Russian Academy of Sciences
- Center for Interdisciplinary Research of Food Security Problems
- Issue: Vol 60, No 8 (2024)
- Pages: 48-53
- Section: ГЕНЕТИКА ЖИВОТНЫХ
- URL: https://journals.rcsi.science/0016-6758/article/view/271436
- DOI: https://doi.org/10.31857/S0016675824080046
- EDN: https://elibrary.ru/bfrmeb
- ID: 271436
Cite item
Full Text
Abstract
Marker-based selection on reindeer meat productivity is in the early stages of development, which requires the study of variability in candidate genes for meat productivity. We chose the calpastatin and androgen receptor genes as such genes to study. Polymorphisms and indels in the androgen receptor gene have been associated with height and weight characteristics in different domesticated animal species. Variation in the region of the calpastatin CAST gene, according to the results of many studies, has been associated with meat quality and meat productivity of livestock. Principal component analysis of CAST variability has grouped together wild and domestic deer from Yakutia, as well as wild and domestic deer from the Amur region, which implies gene flow between local breeds of domesticated deer and wild populations. Moreover, in the case of three microsatellite loci found in this study in the intron of the androgen receptor, principal component analysis separated wild and domestic deer.
Full Text
Маркерная селекция для повышения мясной продуктивности северного оленя находится в начальной стадии разработки, для которой требуется изучение изменчивости в генах-кандидатах мясной продуктивности. Кандидатами для изучения полиморфизма и составления SNP-чипов продуктивности являются полиморфные сайты в последовательностях генов к андрогеновым рецепторам (AR) и к рецепторам к гормонам роста (GHR), поскольку изменчивость в них влияет на рост, репродуктивные признаки и формировании скелетной мускулатуры, что было показано на свиньях [1] и овцах [2]. У оленьих же также изучали ассоциацию изменчивости в андрогеновом рецепторе и скорости роста рогов на примере пятнистого оленя [3]. Другим из возможных генов-кандидатов является кальпастатин, наравне с кальпаином, изменчивость в которых связывали с качеством мяса и мясной продуктивностью для овец [4], КРС [5, 6] и свиней [7]. Крайне мало исследований посвящено исследованию изменчивости отдельных генов северного оленя, за исключением филогенетических маркеров и гена прионного белка [8, 9].
Среди доместицированных оленей в России утверждены четыре породы (ненецкая, эвенская, чукотская и эвенкийская), еще несколько региональных популяций (тофаларские, тоджинские олени) имеют фенотипические отличия, достаточные для выделения их в отдельную породу. Из-за свободного выпаса и непланового скрещивания дикие особи могут вносить вклад в генетическое разнообразие географических типов домашних оленей, а генетический пул домашних пород – в приспособленность диких популяций. Таким образом, территории, где дикий олень обитает совместно с домашним оленем, представляют собой отдельный интерес как для изучения экологии и локальной адаптации северного оленя, так и для селекционной работы с внутрипородными типами домашнего подвида.
В настоящей работе мы исследовали изменчивость андрогенового рецептора и кальпастатина домашних и диких северных оленей для поиска полиморфных сайтов и междупородных различий. Помимо тоджинского и ненецкого оленя мы взяли для анализа домашних и диких особей из Амурской обл. и Якутии, чтобы посмотреть, насколько дифференцированы дикие и домашние олени на небольшом расстоянии.
МАТЕРИАЛЫ И МЕТОДЫ
Всего исследовано 95 (70 образцов для AR) оленей, из них 68 (50 для AR) – домашние особи ненецкой, эвенкийской, эвенской и чукотской пород, а также 27 (20 для AR) диких оленей из Амурской области и Якутии (табл. 1).
Таблица 1. Объемы выборок и места сбора
Популяция, порода | n | Место сбора материала |
Дикие | 10 | Якутия |
Дикие | 17 | Амурская обл. |
Эвенкийские | 22 | Тува, Тоджинский р-н |
Эвенская | 7 | Якутия |
Эвенкийская | 23 | Амурская обл., Зейский р-н |
Ненецкая | 16 | Ненецкий АО: колхоз “ЕРВ”, |
Образцы дикой популяции были представлены мышечной тканью, домашних животных – ушным выщипом. ДНК выделялось с использованием набора QIAmp DNA mini Kit (QIAGEN, Хильден, Германия). Амплификация гена PRNP происходила с помощью qPCRmix-HS (Евроген, Москва, Россия) и праймеров, подобранных с помощью Primer-BLAST [10] и OligoAnalyzer v.3 (http://www.idtdna.com/analyzer/applications/oligoanalyzer/). Корректировка последовательностей на основании хроматограммы и поиск гетерозигот проводился с помощью программы EditR [11]. Выравнивание последовательностей генов CAST и AR производилось с помощью пакета Muscle [12], и последующий анализ последовательностей производился с помощью программы Mega X [13]. Анализ изменчивости микросателлитных участков гена AR производился с помощью программы GenAlex 6 [14]. Анализ главных компонент, его визуализация и корреляционный анализ производился с помощью пакета FactoMineR [15] языка программирования R.
РЕЗУЛЬТАТЫ
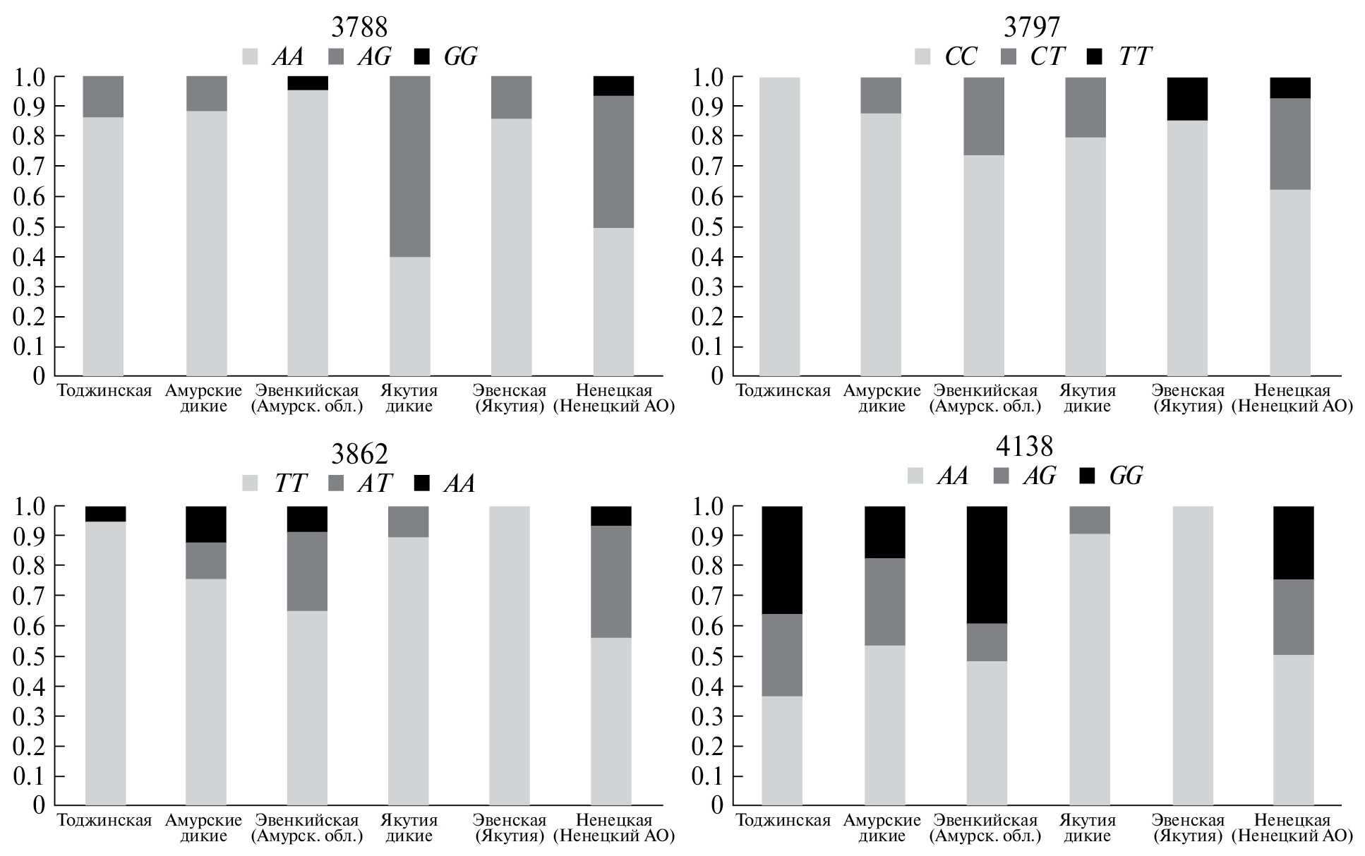
В ходе анализа последовательностей CAST было обнаружено четыре полиморфных сайта, их позиция относительно кальпастатина Bos Taurus – NM_174003.2: 3788, 3797, 3862 и 4138. Данные позиции локализованы в регионе 32 экзона кальпастатина Bos taurus. Ни в одной выборке не было значимым отклонение от равновесия Харди–Вайнберга для каждого из полиморфных сайтов (табл. 2, рис. 1).
Рис. 1. Частоты генотипов для полиморфных сайтов гена CAST у особей R. tarandus, изученных в данной работе.
Анализ главных компонент (рис. 2) показывает, что ненецкая порода оленей и тоджинский экотип отличаются от остальных выборок по полиморфизмам в сайтах 3788 и 3797 (коэф. корреляции r(C) = −0,91, p = 0.012), у ненецкой породы в данных позициях доли минорного аллеля превышают 0.2, в то время как у тоджинских оленей минорный вариант T в позиции 3797 отсутствует. По второй главной компоненте, объясняющей 41.3% дисперсии, обосабливаются от остальных домашние эвенские и дикие олени из Якутии. Их объединяет отсутствие минорных гомозигот и низкая частота минорного аллеля в позициях 3862 (r(A) = 0.83, p = 0.044) и 4138 (r(A) = −0.92, p = 0.008).
Рис. 2. Результаты анализа главных компонент на основании частот аллелей гена CAST для изученных выборок северного оленя.
Таблица 2. Частоты аллелей для полиморфных сайтов гена CAST у R. tarandus (позиция сайта отмечена относительно кальпастатина Bos taurus NM_174003.2)
3788 | 3797 | 3862 | 4138 | ||||||
Популяция, порода | n | A | G | C | T | A | T | A | G |
Тоджинские | 22 | 0.93 | 0.07 | 1 | 0 | 0.05 | 0.95 | 0.5 | 0.5 |
Дикие (Амурская обл.) | 17 | 0.94 | 0.06 | 0.94 | 0.06 | 0.18 | 0.82 | 0.68 | 0.32 |
Эвенкийская (Амур. обл.) | 23 | 0.96 | 0.04 | 0.87 | 0.13 | 0.22 | 0.78 | 0.54 | 0.46 |
Эвенкская (Якутия) | 7 | 0.93 | 0.07 | 0.86 | 0.14 | 0 | 1 | 1 | 0 |
Дикие, Якутия | 10 | 0.7 | 0.3 | 0.9 | 0.1 | 0.05 | 0.95 | 0.95 | 0.05 |
Ненецкая | 16 | 0.72 | 0.28 | 0.78 | 0.22 | 0.25 | 0.75 | 0.63 | 0.38 |
В ходе анализа последовательности участка гена андрогенового рецептора не было обнаружено полиморфных сайтов, однако были найдены три последовательно расположенных микросателлитных локуса (GA)n(GT)n’(GA)n’’. По результатам анализа генетического и аллельного разнообразия у диких оленей Якутии и Амурской обл., а также у ненецкой породы обнаружился дефицит гетерозигот по данным микросателлитным локусам, при этом среднее число аллелей на локус в данных выборках было высоким (табл. 3 и 4).
Таблица 3. Показатели аллельного и генетического разнообразия выборок R. tarandus, основанные на полиморфизме микросателлитов в интроне андрогенового рецептора
Популяции, порода | n | NA | NE | HO | HE(u) | F |
Тоджинская | 14 | 8.7 ± 1.76 | 6.4 ± 1.62 | 0.81 ± 0.104 | 0.85 ± 0.038 | 0.004 ± 0.166 |
Дикие, Амурская обл. | 15 | 10.7 ± 1.429 | 8.3 ± 0.7 | 0.76 ± 0.044 | 0.91 ± 0.012 | 0.14 ± 0.04 |
Эвенкийская порода (Амурская обл.) | 18 | 9 ± 0.58 | 6.3 ± 0.42 | 0.85 ± 0.067 | 0.86 ± 0.038 | –0.015 ± 0.079 |
Эвенская порода (Якутия) | 4 | 4.7 ± 0.33 | 3.8 ± 0.49 | 0.83 ± 0.083 | 0.83 ± 0.043 | –0.14 ± 0.081 |
Дикие, Якутия | 5 | 6 ± 0.58 | 5.1 ± 0.46 | 0.67 ± 0.067 | 0.89 ± 0.022 | 0.17 ± 0.074 |
Ненецкие | 14 | 10 ± 1 | 10 ± 1 | 0.64 ± 0.071 | 0.89 ± 0.014 | 0.26 ± 0.075 |
Примечание. NA – среднее число аллелей на локус, NE – число эффективных аллелей на локус, HO – наблюдаемая гетерозиготность, HE(u) – несмещенная ожидаемая гетерозиготность, FIS – коэффициент инбридинга.
Таблица 4. Показатели аллельного и генетического разнообразия для микросателлитных локусов интрона андрогенового рецептора AR
Na | Ne | Ho | HE(u) | Fis | |
AR10INTTG1 | 8.8 ± 1.14 | 6.6 ± 0.86 | 0.88 ± 0.049 | 0.89 ± 0.019 | –0.059 ± 0.082 |
AR10INTAG2 | 7.7 ± 1.01 | 5.7 ± 0.73 | 0.72 ± 0.059 | 0.86 ± 0.013 | –0.11 ± 0.072 |
AR10INTTG3 | 8 ± 1.13 | 6.4 ± 0.89 | 0.68 ± 0.023 | 0.87 ± 0.026 | 0.16 ± 0.064 |
Примечание. NA – среднее число аллелей на локус, NE – число эффективных аллелей на локус, HO – наблюдаемая гетерозиготность, HE(u) – несмещенная ожидаемая гетерозиготность, FIS – коэффициент инбридинга.
Нами был проведен подсчет повторов для каждого из них и проведен анализ главных компонент, по результатам которого наблюдается обособление диких оленей от домашних (рис. 3). При этом для второго локуса наиболее длинные аллели G(AG)23 и G(AG)20 встречаются чаще у диких особей по сравнению с домашними, что согласуется с их дифференциацией согласно анализу главных компонент (рис. 3, табл. 5).
Рис. 3. Результаты анализа главных компонент на основании частот аллелей микросателлитных локусов гена андрогенового рецептора AR для изученных выборок северного оленя.
Таблица 5. Аллели микросателлитных локусов андрогенового рецептора AR, коррелирующие с диверсификацией изученных выборок северного оленя, выявленной в ходе анализа главных компонент
Коэф. | p-значение | Какая главная | |
AR10INTAG2_35 | 0.90 | 0.013 | PC1 (45.43) |
AR10INTTG3_31 | 0.88 | 0.021 | PC1 (45.43) |
AR10INTTG3_23 | –0.82 | 0.048 | PC1 (45.43) |
AR10INTTG1_28 | –0.86 | 0.028 | PC1 (45.43) |
AR10INTAG2_41 | –0.89 | 0.018 | PC1 (45.43) |
AR10INTAG2_27 | –0.91 | 0.013 | PC1 (45.43) |
AR10INTTG3_17 | –0.94 | 0.005 | PC1 (45.43) |
AR10INTTG1_44 | –0.94 | 0.005 | PC1 (45.43) |
AR10INTAG2_47 | –0.96 | 0.002 | PC1 (45.43) |
AR10INTTG3_43 | –0.84 | 0.037 | PC2 (33.2) |
AR10INTTG1_26 | –0.82 | 0.045 | PC3 (13.16) |
AR10INTAG2_39 | 0.87 | 0.026 | PC3 (13.16) |
При сравнении средних длин аллелей локуса AR10INTAG2 с помощью двустороннего t-теста обнаруживаются значимые отличия между дикими и домашними оленями, при этом для двух других аллелей не наблюдается значимых различий.
ОБСУЖДЕНИЕ
Обнаруженный нами полиморфизм в регионе последних факультативных экзонов гена CAST представляет интерес, поскольку многие исследования генов-кандидатов ограничиваются кодирующим регионом (например, [16]). В некоторых предыдущих исследованиях было показано, что ассоциированы с признаками мясной продуктивности могут быть SNP в интронах [17] и в 3’ UTR-регионах мРНК [5]. В нашем случае полиморфизм располагается в некодирующих регуляторных экзонах. Полиморфизм в них вносит вклад в дивергенцию якутских диких и домашних северных оленей от остальных популяций. Это согласуется с данными, полученными на тех же образцах в результате анализа ядерных микросателлитных локусов [18].
Недавно в ходе анализа изменчивости гена AR у КРС были обнаружены индели в интронах, которые ассоциированы с признаками роста и продуктивности [19]. Повторяющиеся последовательности (GA)n(GT)n’(GA)n’’, полиморфизм в которых был нами обнаружен в данном исследовании, также могут иметь влияние на транскрипцию и экспрессию андрогенового рецептора, а также обусловливать различия между дикими и домашними особями северных оленей. Нами было обнаружено, что в среднем у диких оленей чаще встречаются более длинные аллели данных микросателлитных локусов, и длина повторов в некодирующих регионах часто коррелирует с экспрессией гена [20].
В ходе настоящего исследования нами была обнаружена дивергенция между оленями из Якутии и остальными выборками по гену CAST, а также между дикими и домашними оленями по микросателлитным локусам в интроне гена AR.
Работа выполнена при финансовой поддержке гранта РНФ (проект № 22-16-00062).
Исследование одобрено Этическим комитетом Института Общей Генетики им. Н.И. Вавилова РАН 09.11.2023, № 1.
Все применимые международные, национальные и/или институциональные принципы ухода и использования животных были соблюдены.
Авторы заявляют, что у них нет конфликта интересов.
About the authors
E. A. Konorov
Vavilov Institute of General Genetics, Russian Academy of Sciences; Gorbatov Federal Research Center for Food Systems, Russian Academy of Sciences
Author for correspondence.
Email: casqy@yandex.ru
Russian Federation, Moscow, 119991; Moscow, 109316
K. A. Kurbakov
Vavilov Institute of General Genetics, Russian Academy of Sciences; Gorbatov Federal Research Center for Food Systems, Russian Academy of Sciences
Email: casqy@yandex.ru
Russian Federation, Moscow, 119991; Moscow, 109316
M. T. Semina
Vavilov Institute of General Genetics, Russian Academy of Sciences
Email: casqy@yandex.ru
Russian Federation, Moscow, 119991
Yu. A. Stolpovsky
Vavilov Institute of General Genetics, Russian Academy of Sciences
Email: casqy@yandex.ru
Russian Federation, Moscow, 119991
K. A. Layshev
Vavilov Institute of General Genetics, Russian Academy of Sciences; Center for Interdisciplinary Research of Food Security Problems
Email: casqy@yandex.ru
Russian Federation, St. Petersburg, Moscow, 119991; Pushkin, 196608
References
- Trakooljul N. Molecular and association analyses of the androgen receptor gene as a candidate for production and reproduction traits in pigs. Göttingen: Cuvillier Verlag, 2004. 127 р.
- Трухачев В.И., Криворучко А.Ю., Скрипкин В.С. и др. Новые однонуклеотидные замены (SNP) в гене андрогенного рецептора (AR) у российской породы овец Джалгинский меринос //Генетика. 2016. Т. 52. № 10. С. 1169–1175. https://doi.org/10.7868/S0016675816100131
- Xiong J., Yang F., Hua G. et al. Identification of genetic variants within androgen receptor gene of Sika deer and its association with antler production // J. of Animal and Veterinary Advances. 2012. V. 11. № 12. P. 2059–2063.
- Ramadevi B., Kumari B. P., Sudhakar K. et al. Polymorphism of the Ovine Calpastatin (CAST) gene and its association with productive traits in Nellore sheep // J. of Animal Res. 2020. V. 10. № 6. P. 881–887. https://doi.org/10.1088/1755-1315/613/1/012130
- Corva P., Soria L., Schor A. et al. Association of CAPN1 and CAST gene polymorphisms with meat tenderness in Bos taurus beef cattle from Argentina // Genet. Mol. Biol. 2007. V. 30. P. 1064–1069. https://doi.org/10.1590/S1415-47572007000600006
- Li X., Ekerljung M., Lundström K., Lundén A. Association of polymorphisms at DGAT1, leptin, SCD1, CAPN1 and CAST genes with color, marbling and water holding capacity in meat from beef cattle populations in Sweden // Meat Science. 2013. V. 94. № 2. P. 153–158. https://doi.org/10.1016/j.meatsci.2013.01.010
- Ropka-Molik K., Bereta A., Tyra M. et al. Association of calpastatin gene polymorphisms and meat quality traits in pig // Meat Science. 2014. V.. 97. № 2. P. 143–150. https://doi.org/10.1016/j.meatsci.2014.01.021
- Kholodova M.V., Baranova A.I., Mizin I.A. et al. A genetic predisposition to chronic wasting disease in the reindeer Rangifer tarandus in the Northern European part of Russia // Biology Bulletin. 2019. V. 46. P. 555–561. https://doi.org/10.1134/S1062359019060074
- Курбаков К.А., Коноров Е.А., Семина М.Т., Столповский Ю.А. Распространение ассоциированных с болезнью хронического изнурения аллелей гена PRNP у диких и домашних северных оленей Rangifer tarandus на территории России // Генетика. 2022. Т. 58. № 2. С. 163–168. https://doi.org/10.31857/S0016675822020102
- Ye J., Coulouris G., Zaretskaya I. et al. Primer-BLAST: A tool to design target-specific primers for polymerase chain reaction // BMC Bioinformatics. 2012. V.. 13. № 1. P. 1–11. https://doi.org/10.1186/1471-2105-13-134
- Kluesner M.G., Nedveck D.A., Lahr W.S. et al. EditR: A method to quantify base editing from Sanger sequencing // The CRISPR J. 2018. V.. 1. № 3. P. 239–250. https://doi.org/10.1089/crispr.2018.0014
- Edgar R.C. MUSCLE: Multiple sequence alignment with high accuracy and high throughput // Nucl. Ac. Res. 2004. V.. 32. № 5. P. 1792–1797. https://doi.org/10.1093/nar/gkh340
- Kumar S., Stecher G., Li M., Knyaz C., Tamura K. MEGA X: Molecular evolutionary genetics analysis across computing platforms // Mol. Biol. Evol. 2018. V. 35. № 6. P. 1547–1549. https://doi.org/10.1093/molbev/msy096
- Peakall R.O.D., Smouse P.E. GENALEX 6: Genetic analysis in Excel. Population genetic software for teaching and research // Mol. Ecol. Notes. 2006. V. 6. № 1. P. 288–295. https://doi.org/10.1111/j.1471-8286.2005.01155.x
- Lê S., Josse J., Husson F. FactoMineR: An R package for multivariate analysis // J. Stat. Software. 2008. V.. 25. P. 1–18. https://doi.org/10.18637/jss.v025.i01
- Suleman M., Khan S.U., Riaz M.N. et al. Calpastatin (CAST) gene polymorphism in Kajli, Lohi and Thalli sheep breeds // African J. Biotechnology. 2012. V. 11. № 47. P. 10655–10660. https://doi.org/10.5897/AJB11.2478
- Calvo J.H., Iguácel L.P., Kirinus J.K. et al. A new single nucleotide polymorphism in the calpastatin (CAST) gene associated with beef tenderness // Meat Science. 2014. V.. 96. № 2. P. . 775–782. https://doi.org/10.1016/j.meatsci.2013.10.003
- Svishcheva G., Babayan O., Sipko T. et al. Genetic differentiation between coexisting wild and domestic Reindeer (Rangifer tarandus L. 1758) in Northern Eurasia // Genetic Res. 2022. V. 3. № 6. P.. 1–14. https://doi.org/10.46265/genresj.UYML5006
- Zhao H., Wu M., Wang S. et al. Identification of a novel 24 bp insertion–deletion (indel) of the androgen receptor gene and its association with growth traits in four indigenous cattle breeds // Archives Animal Breeding. 2018. V. 61. № 1. P. 71–78. https://doi.org/10.5194/aab-61-71-2018
- Li Y.C., Korol A.B., Fahima T. et al. Microsatellites: Genomic distribution, putative functions and mutational mechanisms: A review // Mol. Ecology. 2002. V. 11. № 12. P. 2453–2465. https://doi.org/10.1046/j.1365-294X.2002.01643.x
Supplementary files





