Влияние 3Д-организации хроматина на суперэнхансер–промоторные взаимодействия в эмбриональных стволовых и злокачественных клетках
- Авторы: Эйдельман Ю.А.1,2, Андреев С.Г.1,2
-
Учреждения:
- Институт биохимической физики им. Н.М. Эмануэля Российской академии наук
- Национальный исследовательский ядерный университет “МИФИ”
- Выпуск: Том 59, № 6 (2023)
- Страницы: 676-686
- Раздел: МАТЕМАТИЧЕСКИЕ МОДЕЛИ И МЕТОДЫ
- URL: https://journals.rcsi.science/0016-6758/article/view/134608
- DOI: https://doi.org/10.31857/S0016675823060036
- EDN: https://elibrary.ru/SRUZYX
- ID: 134608
Цитировать
Полный текст
Аннотация
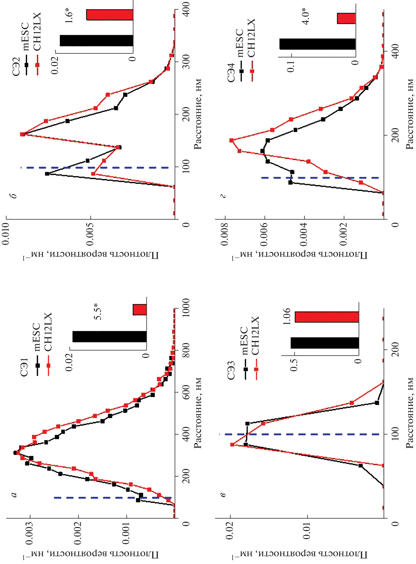
Взаимодействие энхансеров и суперэнхансеров (СЭ) с промотором функционально значимо для регуляции экспрессии генов. Паттерны этих взаимодействий играют ключевую роль в регуляции таких процессов, как дифференцировка, злокачественная трансформация и др. Чтобы получить количественную информацию о взаимосвязи структуры хроматина и экспрессии генов, в настоящей работе был проведен компьютерный анализ конформаций хроматина вблизи гена плюрипотентности Nanog мыши, включая контакты СЭ c промотором, в нормальных эмбриональных стволовых (mESC) и в клетках лимфомы (CH12LX). С помощью биофизических методов моделирования идентифицированы параметры суперэнхансер-промоторных взаимодействий – распределения расстояний между промотором Nanog и СЭ, частоты контактов с одним и несколькими СЭ одновременно. В нормальных mESC частота контактов промоторов с СЭ выше, чем в злокачественных, и чаще образуются сложные контакты, с двумя и более СЭ. В злокачественных клетках обнаружена малая субпопуляция клеток, где промотор контактирует одновременно с тремя СЭ. Субпопуляции злокачественных клеток с множественными контактами промотор–СЭ могут предрасполагать к проявлению свойств стволовых клеток и гипотетически быть кандидатом на опухолевые стволовые клетки.
Об авторах
Ю. А. Эйдельман
Институт биохимической физики им. Н.М. Эмануэля Российской академии наук; Национальный исследовательский ядерный университет “МИФИ”
Автор, ответственный за переписку.
Email: eidel@mail.ru
Россия, 119334, Москва; Россия, 115409, Москва
С. Г. Андреев
Институт биохимической физики им. Н.М. Эмануэля Российской академии наук; Национальный исследовательский ядерный университет “МИФИ”
Автор, ответственный за переписку.
Email: andreev_sg@mail.ru
Россия, 119334, Москва; Россия, 115409, Москва
Список литературы
- Hnisz D., Abraham B.J., Lee T.I. et al. Super-enhancers in the control of cell identity and disease // Cell. 2013. V. 155. № 4. P. 934–947. https://doi.org/10.1016/j.cell.2013.09.053
- Dekker J., Rippe K., Dekker M., Kleckner N. Capturing chromosome conformation // Science. 2002. V. 295. № 5558. P. 1306–1311.https://doi.org/10.1126/science.1067799
- Lieberman-Aiden E., van Berkum N.L., Williams L. et al. Comprehensive mapping of long-range interactions reveals folding principles of the human genome // Science. 2009. V. 326. № 5950. P. 289–293. https://doi.org/10.1126/science.1181369
- Zhang B., Wolynes P.G. Topology, structures, and energy landscapes of human chromosomes // Proc. Natl Acad. Sci. USA. 2015. V. 112. № 19. P. 6062–6067. https://doi.org/10.1073/pnas.1506257112
- Eidelman Y., Salnikov I., Slanina S., Andreev S. Chromosome folding promotes intrachromosomal aberrations under radiation- and nuclease-induced DNA breakage // Int. J. Mol. Sci. 2021. V. 22. № 22. P. 12186. https://doi.org/10.3390/ijms222212186
- Beagrie R.A., Scialdone A., Schueler M. et al. Complex multi-enhancer contacts captured by genome architecture mapping // Nature. 2017. V. 543. № 7646. P. 519–524. https://doi.org/10.1038/nature21411
- Giorgetti L., Galupa R., Nora E.P. et al. Predictive polymer modeling reveals coupled fluctuations in chromosome conformation and transcription // Cell. 2014. V. 157. № 4. P. 950–963. https://doi.org/10.1016/j.cell.2014.03.025
- Annunziatella C., Chiariello A.M., Bianco S., Nicodemi M. Polymer models of the hierarchical folding of the Hox-B chromosomal locus // Phys. Rev. E. 2016. V. 94. № 4-1. P. 042402. https://doi.org/10.1103/PhysRevE.94.042402
- The ENCODE Project Consortium. An integrated encyclopedia of DNA elements in the human genome // Nature. 2012. V. 489. № 7414. P. 57–74. https://doi.org/10.1038/nature11247
- Anders S., Pyl P.T., Huber W. HTSeq – a Python framework to work with high-throughput sequencing data // Bioinformatics. 2015. V. 31. № 2. P. 166–169. https://doi.org/10.1093/bioinformatics/btu638
- Dixon J.R., Selvaraj S., Yue F. et al. Topological domains in mammalian genomes identified by analysis of chromatin interactions // Nature. 2012. V. 485. № 7398. P. 376–380. https://doi.org/10.1038/nature11082
- Rao S.S.P., Huntley M.H., Durand N.C. et al. A 3D map of the human genome at kilobase resolution reveals principles of chromatin looping // Cell. 2014. V. 159. № 7. P. 1665–1680. https://doi.org/10.1016/j.cell.2014.11.021
- Novo C.L., Javierre B.-M., Cairns J. et al. Long-range enhancer interactions are prevalent in mouse embryonic stem cells and are reorganized upon pluripotent state transition // Cell Rep. 2018. V. 22. № 10. P. 2615–2627. https://doi.org/10.1016/j.celrep.2018.02.040
- Whyte W.A., Orlando D.A., Hnisz D. et al. Master transcription factors and mediator establish super-enhancers at key cell identity genes // Cell. 2013. V. 153. № 2. P. 307–319. https://doi.org/10.1016/j.cell.2013.03.035
- Ron G., Globerson Y., Moran D., Kaplan T. Promoter-enhancer interactions identified from Hi-C data using probabilistic models and hierarchical topological domains // Nat. Commun. 2017. V. 8. № 1. P. 2237. https://doi.org/10.1038/s41467-017-02386-3
- Liu L., Kim M.H., Hyeon C. Heterogeneous loop model to infer 3D chromosome structures from Hi-C // Biophys. J. 2019. V. 117. № 3. P. 613–625. https://doi.org/10.1016/j.bpj.2019.06.032
- Wang M.-L., Chiou S.-H., Wu C.-W. Targeting cancer stem cells: emerging role of Nanog transcription factor // Onco. Targets Ther. 2013. V. 6. P. 1207–1220. https://doi.org/10.2147/OTT.S38114
- Schoenfelder S., Fraser P. Long-range enhancer-promoter contacts in gene expression control // Nat. Rev. Genet. 2019. V. 20. № 8. P. 437–455. https://doi.org/10.1038/s41576-019-0128-0
- Finn E.H., Mistely T. Molecular basis and biological function of variability in spatial genome organization // Science. 2019. V. 365. № 6457. P. eaaw9498. https://doi.org/10.1126/science.aaw9498
- Sood V., Misteli T. The stochastic nature of genome organization and function // Curr. Opin. Genet. Dev. 2022. V. 72. P. 45–52. https://doi.org/10.1016/j.gde.2021.10.004
Дополнительные файлы







