Полногеномный поиск новых генов-кандидатов мясной продуктивности у овец северокавказской мясо-шерстной породы
- Авторы: Криворучко А.Ю.1,2, Зуев Р.В.2, Суров А.И.1, Скокова А.В.1, Каниболоцкая А.А.1, Лиховид А.А.2, Яцык О.А.1
-
Учреждения:
- Северо-Кавказский Федеральный научный аграрный центр
- Северо-Кавказский Федеральный университет
- Выпуск: Том 59, № 5 (2023)
- Страницы: 562-572
- Раздел: ГЕНЕТИКА ЖИВОТНЫХ
- URL: https://journals.rcsi.science/0016-6758/article/view/134589
- DOI: https://doi.org/10.31857/S0016675823050090
- EDN: https://elibrary.ru/FNVKYA
- ID: 134589
Цитировать
Полный текст
Аннотация
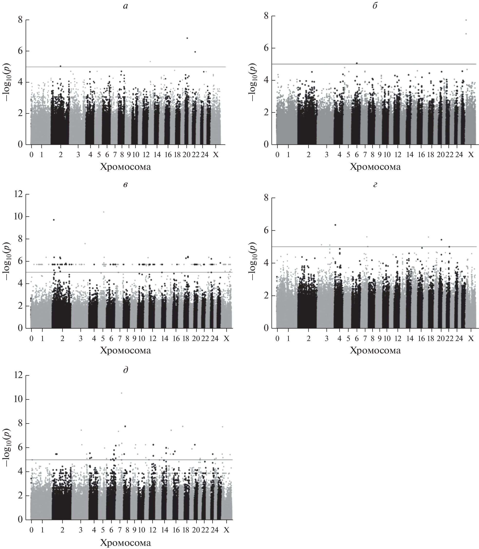
Поиск новых генов, влияющих на рост и развитие мышечной ткани, ассоциированных с признаками мясной продуктивности овец, является актуальной задачей, выполнение которой неразрывно связано с перспективами развития маркер-ориентированной и геномной селекции. В статье приведены данные по использованию нового подхода к обнаружению генов-кандидатов мясной продуктивности овец. Генотипирование животных выполняли с использованием ДНК-биочипов Ovine Infinium HD BeadChip 600K, поиск ассоциаций проводили с использованием программного обеспечения PLINK V.1.07. В ходе проделанной работы выявлены SNP, достоверно ассоциированные с фенотипическими признаками, характеризующими мясную продуктивность у овец северокавказской мясо-шерстной породы: высотой в холке, живой массой при рождении, толщиной жировой ткани, шириной “мышечного глаза”. Для поиска генов-кандидатов было отобрано 19 однонуклеотидных замен с наибольшей достоверностью ассоциаций. Определение местоположения анализируемых SNP позволило установить 16 новых генов-кандидатов, ассоциированных с прижизненными показателями мясной продуктивности овец северокавказской мясо-шерстной породы: CILK1, ENO4, CTPS2, GABRB2, SLC44A1, C12ORF45, SLC41A2, CASD1, SINE2, SLC35F1, RP, SH3KBP1, LRRIQ1, SWAP70, THBS1 и FSIP. Генотипирование животных по этим генам следует использовать в маркер-ассоциированной селекции для улучшения показателей мясной продуктивности овец и изучения их влияния на фенотип.
Ключевые слова
Об авторах
А. Ю. Криворучко
Северо-Кавказский Федеральный научный аграрный центр; Северо-Кавказский Федеральный университет
Автор, ответственный за переписку.
Email: rcvm@yandex.ru
Россия, 356241, Ставропольский край, Михайловск; Россия, 355017, Ставрополь
Р. В. Зуев
Северо-Кавказский Федеральный университет
Email: rcvm@yandex.ru
Россия, 355017, Ставрополь
А. И. Суров
Северо-Кавказский Федеральный научный аграрный центр
Email: rcvm@yandex.ru
Россия, 356241, Ставропольский край, Михайловск
А. В. Скокова
Северо-Кавказский Федеральный научный аграрный центр
Email: rcvm@yandex.ru
Россия, 356241, Ставропольский край, Михайловск
А. А. Каниболоцкая
Северо-Кавказский Федеральный научный аграрный центр
Email: rcvm@yandex.ru
Россия, 356241, Ставропольский край, Михайловск
А. А. Лиховид
Северо-Кавказский Федеральный университет
Email: rcvm@yandex.ru
Россия, 355017, Ставрополь
О. А. Яцык
Северо-Кавказский Федеральный научный аграрный центр
Email: rcvm@yandex.ru
Россия, 356241, Ставропольский край, Михайловск
Список литературы
- Sahu A.R., Nayak N., Panigrahi M., Kumar S. Advances in genomic strategies to improve growth and meat production traits in sheep: An overview // Ind. J. Small Ruminants. 2017. V. 23. № 2. P. 139. https://doi.org/10.5958/0973-9718.2017.00052.6
- Trukhachev V.I., Selionova M.I., Krivoruchko A.Y., Aibasov A.M.M. Genetic markers of meat productivity of sheep (Ovis aries L.). I. Myostatin, calpain, calpastatin // Sel’skokhozyaĭstvennaya Biologiya. 2018. V. 53. № 6. P. 1107–1119. https://doi.org/10.15389/agrobiology.2018.6.1107eng
- Aiello D., Patel K., Lasagna E. The myostatin gene: An overview of mechanisms of action and its relevance to livestock animals // Animal Genet. 2018. V. 49. № 6. P. 505–519. https://doi.org/10.1111/age.12696
- Osman N.M., Shafey H.I., Abdelhafez M.A. et al. Genetic variations in the Myostatin gene affecting growth traits in sheep // Veterinary World. 2021. V. 14. № 2. P. 475. https://doi.org/10.14202/vetworld.2021.475-482
- Sousa-Junior L.P.B., Meira A.N., Azevedo H.C. et al. Variants in myostatin and MyoD family genes are associated with meat quality traits in Santa Inês sheep // Animal Biotechnol. 2022. V. 33. № 2. P. 201–213. https://doi.org/10.1080/10495398.2020.1781651
- Nissinen T.A., Hentilä J., Fachada V. et al. Muscle follistatin gene delivery increases muscle protein synthesis independent of periodical physical inactivity and fasting // The FASEB J. 2021. V. 35. № 3. P. e21387. https://doi.org/10.1096/fj.202002008R
- Sharma R., Kopchick J.J., Puri V., Sharma V.M. Effect of growth hormone on insulin signaling // Mol. Cell. Endocrinol. 2020. V. 518. P. 111038. https://doi.org/10.1016/j.mce.2020.111038
- Abdelmoneim T.S., Brooks P.H., Afifi M., Swelum A.A.A. Sequencing of growth hormone gene for detection of polymorphisms and their relationship with body weight in Harri sheep // Ind. J. Animal Res. 2017. V. 51. № 2. P. 205–211. https://doi.org/10.18805/ijar.11457
- Gorlov I.F., Kolosov Y.A., Shirokova N.V. et al. Association of the growth hormone gene polymorphism with growth traits in Salsk sheep breed // Small Ruminant Res. 2017. V. 150. P. 11–14. https://doi.org/10.1016/j.smallrumres.2017.02.019
- Takeda H., Caiment F., Smit M. et al. The callipyge mutation enhances bidirectional long-range DLK1-GTL2 intergenic transcription in cis // Proc. Natl Acad. Sci. USA. 2006. V. 103. № 21. P. 8119–8124. https://doi.org/10.1073/pnas.0602844103
- Cheng J., Zhang X., Li F. et al. Detecting single nucleotide polymorphisms in MEF2B and UCP3 and elucidating their association with sheep growth traits // DNA Cell Biol. 2021. V. 40. № 12. P. 1554–1562. https://doi.org/10.1089/dna.2021.0782
- Gavran M., Antunović Z., Gantner V. Candidate genes associated with economically important traits of sheep-a review // Agriculturae Conspectus Scientificus. 2021. V. 86. № 3. P. 195–201.
- Trukhachev V.I., Skripkin V.S., Yatsyk O. et al. The polymorphism of REM-1 gene in sheep genome and its influence on some parameters of meat productivity // Research J. Pharmaceutical, Biol. Chem. Sciences. 2016. V. 7. № 3. P. 2351–2357.
- Nesvadbova M., Borilova G. Molecular regulation of skeletal muscle tissue formation and development // Veterinarni Med. (Praha). 2018. V. 63. № 11. P. 500–512. https://doi.org/10.17221/7/2018-VETMED
- Омаров А.А., Гайдашов С.И. Продуктивные показатели овец северокавказской мясо-шерстной породы и их взаимосвязь с основными селекционируемыми признаками // Вестн. Алтайского гос. аграрного ун-та. 2021. № 2(196). С. 66–72.
- Селькин И.И. Породе 50 лет // Сб. науч. трудов Ставропольского научно-исслед. института животноводства и кормопроизводства. 2010. № 13. С. 258–283.
- Purcell S., Neale B., Todd-Brown K. et al. PLINK: A tool set for whole-genome association and population-based linkage analyses // The Am. J. Human Genet. 2007. V. 81. № 3. P. 559–575. https://doi.org/10.1086/519795
- Kijas J.W., McCulloch R., Edwards J. et al. Evidence for multiple alleles effecting muscling and fatness at the Ovine GDF8 locus // J. Animal Breed. Genet. 2013. V. 130. № 6. P. 468–475. https://doi.org/10.1186/1471-2156-8-80
- Fu Z., Gailey C.D., Wang E.J., Brautigan D.L. Ciliogenesis associated kinase 1: Targets and functions in various organ systems // FEBS Letters. 2019. V. 593. № 21. P. 2990–3002. https://doi.org/10.1002/1873-3468.13600
- Nakamura N., Dai Q., Williams J. et al. Disruption of a spermatogenic cell-specific mouse enolase 4 (eno4) gene causes sperm structural defects and male infertility // Biol. Reproduction. 2013. V. 88. № 4. P. 90. https://doi.org/10.1095/biolreprod.112.107128
- Hickl D., Scheuring D., Möhlmann T. CTP Synthase 2 From Arabidopsis thaliana is required for complete embryo development // Frontiers Plant Sci. 2021. V. 12. P. 652434. https://doi.org/10.3389/fpls.2021.652434
- El Achkar C.M., Harrer M., Smith L. et al. Characterization of the GABRB2-Associated Neurodevelopmental Disorders // Annals Neurology. 2021. V. 89. № 3. P. 573–586. https://doi.org/10.1002/ana.25985
- Michel V., Bakovic M. The solute carrier 44A1 is a mitochondrial protein and mediates choline transport // The FASEB J. 2009. V. 23. № 8. P. 2749–2758. https://doi.org/10.1096/fj.08-121491
- Ladoukakis E., Pereira V., Magny E.G. et al. Hundreds of putatively functional small open reading frames in Drosophila // Genome Biol. 2011. V. 12. № 11. P. 1–17. https://doi.org/10.1186/gb-2011-12-11-r118
- Fleig A., Schweigel-Röntgen M., Kolisek M. Solute carrier family SLC41: what do we really know about it? // Wiley Interdisciplinary Reviews: Membrane Transport and Signaling. 2013. V. 2. № 6. P. 227–239. https://doi.org/10.1002/wmts.95
- Baumann A.-M.T., Bakkers M.J.G., Buettner F.F.R. et al. 9-O-Acetylation of sialic acids is catalysed by CASD1 via a covalent acetyl-enzyme intermediate // Nat. Communications. 2015. V. 6. P. 7673. https://doi.org/10.1038/ncomms8673
- Bamaga A., Vajsar J. Spectrin repeat-containing nuclear envelope protein 2: SYNE2 presenting as a congenital myopathy: A case report // Neuromuscul Disord. 2016. V. 26. P. 139. https://doi.org/10.1016/j.nmd.2016.06.195
- Mochizuki T., Mizuno T., Kurosawa T. et al. Functional investigation of solute carrier family 35, member F2, in three cellular models of the primate blood-brain barrier // Drug Metabolism Disposition. 2021. V. 49(1). P. 3–11. https://doi.org/10.1124/dmd.120.000115
- Zhou X., Liao W.-J., Liao J.-M. et al. Ribosomal proteins: Functions beyond the ribosome // J. Mol. Cell Biol. 2015. V. 7. № 2. P. 92–104. https://doi.org/10.1093/jmcb/mjv014
- Hua X.-Y., Bie X.-X., Cheng X., Zhang S.-G. High expression of CIN85 promotes proliferation and invasion of human esophageal squamous cell carcinoma // Mol. Med. Reports. 2021. V. 23. № 1. P. 12. https://doi.org/10.3892/mmr.2020.11650
- Ng A., Xavier R.J. Leucine-rich repeat (LRR) proteins: Integrators of pattern recognition and signaling in immunity // Autophagy. 2011. V. 7. № 9. P. 1082–1084. https://doi.org/10.4161/auto.7.9.16464
- Kriplani N., Duncan R.R., Leslie N.R. SWAP70 undergoes dynamic conformational regulation at the leading edge of migrating cells // FEBS Letters. 2019. V. 593. № 4. P. 395–405. https://doi.org/10.1002/1873-3468.13326
- Gutierrez L.S., Gutierrez J. Thrombospondin 1 in metabolic diseases // Frontiers Endocrinol. 2021. V. 12. P. 638536. https://doi.org/10.3389/fendo.2021.638536
- Chen M., Wu Y., Li W. et al. Loss-of-function variants in FSIP1 identified by targeted sequencing are associated with one particular subtype of mucosal melanoma // Gene. 2020. V. 759. P. 144964. https://doi.org/10.1016/j.gene.2020.144964
- Sun M., Zhao W., Zeng Y. et al. Fibrous sheath interacting protein 1 overexpression is associated with unfavorable prognosis in bladder cancer: A potential therapeutic target // OncoTargets Therapy. 2017. V. 10. P. 3949. https://doi.org/10.2147/OTT.S143491





