Различия во влиянии легких (La) и тяжелых (Yb) лантаноидов на эффективность фотосинтеза и накопление метаболитов одуванчиком Крым-сагыз (Taraxacum hybernum)
- Authors: Воробьев В.Н.1,2, Горшков В.Ю.1,2, Терентьев В.В.3, Исламов Б.Р.2, Котов С.Ф.4, Николенко В.В.4, Якушенкова Т.П.1, Тимофеева О.А.1
- 
							Affiliations: 
							- Федеральное государственное автономное образовательное учреждение высшего образования Казанский (Приволжский) федеральный университет
- Казанский институт биохимии и биофизики – обособленное структурное подразделение Федерального исследовательского центра Казанский научный центр Российской академии наук
- Федеральное государственное бюджетное учреждение науки Федеральный исследовательский центр Пущинский научный центр биологических исследований Российской академии наук Институт фундаментальных проблем биологии Российской академии наук – обособленное подразделение
- Федеральное государственное автономное образовательное учреждение высшего образования Крымский федеральный университет им. В.И. Вернадского
 
- Issue: Vol 71, No 6 (2024)
- Pages: 803-809
- Section: ЭКСПЕРИМЕНТАЛЬНЫЕ СТАТЬИ
- URL: https://journals.rcsi.science/0015-3303/article/view/272110
- DOI: https://doi.org/10.31857/S0015330324060139
- EDN: https://elibrary.ru/LWAIBS
- ID: 272110
Cite item
Abstract
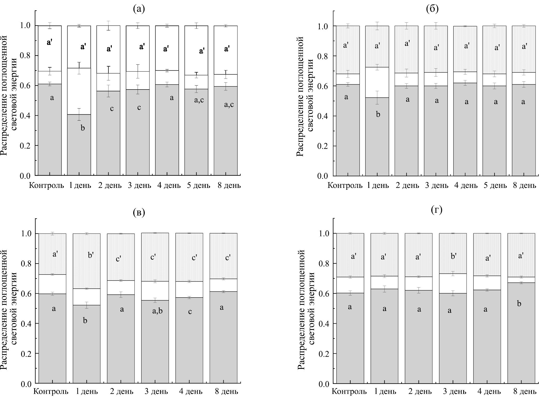
Продемонстрирован стимулирующий эффект нитрата иттербия на прорастание семян, фотосинтез и накопление углеводов в корнях одуванчика Крым-сагыз (Taraxacum hybernum). Выявлены различия между лантаном и иттербием по влиянию на эффективность ФС II (Y(II)). В концентрации 100 мкмоль лантан снижал Y(II) за счет увеличения вклада квантового выхода регулируемой диссипации части энергии (Y(NPQ)), а иттербий – за счет вклада необратимой диссипации энергии (Y(NO)). При снижении концентрации лантаноидов в 10 раз стимулирующий эффект Y(II) наблюдался только в варианте с иттербием. В полевых экспериментах у растений, обработанных раствором нитрата иттербия в концентрации 10 мкмоль, интенсивность фотосинтеза была выше на 31%, что, вероятно, повлияло на накопление в корнях одуванчика каучука и углеводов, которое было большим по сравнению с необработанными растениями на 13 и 26%, соответственно.
Full Text
 
												
	                        About the authors
В. Н. Воробьев
Федеральное государственное автономное образовательное учреждение высшего образования Казанский (Приволжский) федеральный университет; Казанский институт биохимии и биофизики – обособленное структурное подразделение Федерального исследовательского центра Казанский научный центр Российской академии наук
							Author for correspondence.
							Email: vnvorobev.vladimir@yandex.ru
				                					                																			                												                	Russian Federation, 							Казань; Казань						
В. Ю. Горшков
Федеральное государственное автономное образовательное учреждение высшего образования Казанский (Приволжский) федеральный университет; Казанский институт биохимии и биофизики – обособленное структурное подразделение Федерального исследовательского центра Казанский научный центр Российской академии наук
														Email: vnvorobev.vladimir@yandex.ru
				                					                																			                												                	Russian Federation, 							Казань; Казань						
В. В. Терентьев
Федеральное государственное бюджетное учреждение науки Федеральный исследовательский центр Пущинский научный центр биологических исследований Российской академии наук Институт фундаментальных проблем биологии Российской академии наук – обособленное подразделение
														Email: vnvorobev.vladimir@yandex.ru
				                					                																			                												                	Russian Federation, 							Пущино						
Б. Р. Исламов
Казанский институт биохимии и биофизики – обособленное структурное подразделение Федерального исследовательского центра Казанский научный центр Российской академии наук
														Email: vnvorobev.vladimir@yandex.ru
				                					                																			                												                	Russian Federation, 							Казань						
С. Ф. Котов
Федеральное государственное автономное образовательное учреждение высшего образования Крымский федеральный университет им. В.И. Вернадского
														Email: vnvorobev.vladimir@yandex.ru
				                					                																			                												                	Russian Federation, 							Симферополь						
В. В. Николенко
Федеральное государственное автономное образовательное учреждение высшего образования Крымский федеральный университет им. В.И. Вернадского
														Email: vnvorobev.vladimir@yandex.ru
				                					                																			                												                	Russian Federation, 							Симферополь						
Т. П. Якушенкова
Федеральное государственное автономное образовательное учреждение высшего образования Казанский (Приволжский) федеральный университет
														Email: vnvorobev.vladimir@yandex.ru
				                					                																			                												                	Russian Federation, 							Казань						
О. А. Тимофеева
Федеральное государственное автономное образовательное учреждение высшего образования Казанский (Приволжский) федеральный университет
														Email: vnvorobev.vladimir@yandex.ru
				                					                																			                												                	Russian Federation, 							Казань						
References
- Ramirez-Olvera S.M., Trejo-Tellez L.I., Garcia-Morales S., Perez-Sato J.A., Gomez-Merino F.C. Cerium enhances germination and shoot growth, and alters mineral nutrient concentration in rice // PLoS ONE. 2018. V. 13 P. e0194691. https://doi.10.1371/journal.pone.0194691
- Vilela L. A. F., Ramos S. J., Carneiro M. A. C., Faquin V., Guilherme L. R. G., Siqueira J. O. Cerium (Ce) and lanthanum (La) promoted plant growth and mycorrhizal colonization of maize in tropical soil // Aust. J. Crop Sci. 2018. V. 12. P. 704. https://doi.10.21475/ajcs.18.12.05. PNE610
- Goecke F., Jerez C.G., Zachleder V., Figueroa F.L., Bisova K., Rezanka T., Vítova M. Use of lanthanides to alleviate the effects of metal ion-deficiency in Desmodesmus quadricauda (Sphaeropleales, Chlorophyta) // Front. Microbiol. 2015. V. 6. P. 1.
- Chao L., Weiqian C., Yun L., Hao H., Liang C., Xiaoqing L., Fashui Y. Cerium under calcium deficiency-influence on the antioxidative defense system in spinach plants // Plant Soil. 2009. V. 323. P. 285.
- Yin S., Ze Y., Liu C., Li N., Zhou M., Duan Y., Hong F. Cerium relieves the inhibition of nitrogen metabolism of spinach caused by magnesium deficiency // Biol. Trace. Elem. Res. 2009. V. 132. P. 247.
- Ze Y., Yin S., Ji Z., Luo L., Liu C., Hong F. Influences of magnesium deficiency and cerium on antioxidant system of spinach chloroplasts // Biometals. 2009. V. 22. P. 941.
- Zhou M., Gong X., Ying W., Chao L., Hong M., Wang L., Fashui, Y. Cerium relieves the inhibition of chlorophyll biosynthesis of maize caused by magnesium deficiency // Biol. Trace. Elem. Res. 2011. V. 143. P. 468.
- Zhao H., Zhou Q., Zhou M., Li C., Gong X., Liu Chao., Qu C., Wang L., Si W., Hong F. Magnesium deficiency results in damage of nitrogen and carbon cross-talk of maize and improvement by cerium addition // Biol. Trace. Elem. Res. 2012. V. 148. P.102.
- Gui X., Rui M., Song Y., Ma Y., Rui Y., Zhang P., Ye X., Li Y., Zhang Z., Liu L. Phytotoxicity of CeO2 nanoparticles on radish plant (Raphanus sativus) // Environ. Sci. Pollut. Res. 2017. V. 24. P. 13775. https://doi.10.1007/s11356-017-8880-1
- Gonzalez V., Vignati D. A. L., Leyval C., Giamberini L. Environmental fate and ecotoxicity of lanthanides: are they a uniform group beyond chemistry? // Environ. Int. 2014. V. 71. P. 148.
- Calabrese E.J., Blain R.B. Hormesis and plant biology // Environ. Pollut. 2009. V. 157. P. 42.
- Vorob’ev V.N., Sibgatullin T.A., Sterkhova K.A., Alexandrov E.A., Gogolev Yu. V., Timofeeva O.A., Gorshkov V.Y., Chevela V.V. Ytterbium increases transmembrane water transport in Zea mays roots via aquaporin modulation // Biometals. 2019. V.32. P. 901.
- Martinkova Z., Honek A., Lukas J. Viability of Taraxacum officinale seeds after anthesis // Weed Research. 2011. V. 51. P. 508.
- Oliveira C., Ramos S.J., Siqueira J.O., FaquinV., Castro E.M., Amaral D.C., Techio V.H., Coelho L.C., Silva P.H., Schnug E., Guilherme L.R. Bioaccumulation and effects of lanthanum on growth and mitotic index in soybean plants // Ecotoxicol. Environ. Saf. 2015. V. 122. P. 136.
- Genty B., Harbinson J., Cailly A.L., Rizza F. Fate of excitation at PS II in leaves: the non-photochemical side // The Third BBSRC Robert Hill Symposium on Photosynthesis (March 31 to April 3, 1996, Sheffield). UK. P 28.
- Dubois M., Gilles K.A., Hamilton J.K., Rebers P.A., Smith F. Colorimetric method for determination of sugars and related substances // Anal. Chem. 1956. V. 28. P. 350.
- Hu Z., Richter H., Sparovek, G., Schnug E. Physiological and biochemical effects of rare earth elements on plants and their agricultural significance: a review // J. Plant. Nutr. 2004. V. 27. P. 183.
- Wang L., Li J., Zhou Q., Yang G., Ding X.L., Li X., Chen X.C., Zhao Z., Hai Y.W., Tian H.L., Xing W.D., Xiao H.H. Rare earth elements activate endocytosis in plant cells // Proc. Natl. Acad. Sci. USA. 2014. V. 111. P. 12936.
- Klughammer C., Schreiber U. Complementary FSII quantum yield calculated from simple fluorescence parameters measured by PAM fluorometry and the saturation pulse method // J. PAM Appl. Notes. 2008. V. 1. P. 27.
- Hendrickson L., Furbank R.T., Chow W.S. A simple alternative approach to assessing the fate of absorbed light energy using chlorophyll fluorescence // Photosynth Res. 2004. V. 82. P. 73.
- Ikeuchi M., Uebayashi N., Sato F., Endo T. Physiological functions of PsbS-dependent and PsbS-independent NPQ under naturally fluctuating light conditions // Plant Cell Physiol. 2014. V. 55. P. 1286.
- Samson G., Bonin L., Maire V. Dynamics of regulated YNPQ and non-regulated YNO energy dissipation in sunflower leaves exposed to sinusoidal lights// Photosynth Res. 2019. V. 141. P. 315.
- Мартиросян Л.Ю., Мартиросян Ю.Ц., Кособрюхов А.А., В.М. Гольдберг, Гачок И.В., Мартиросян В.В., Гладченко М.А., Гайдамака С.Н., Америк А.Ю., Миних А.А., Варфоломеев С.Д. Биосинтез каучука и инулина в зависимости от спектрального состава света и активности фотосинтетического аппарата при аэропонном культивировании Taraxacum kok-saghys E. Rodin // Сельскохоз. биол. 2023. Т. 58. С. 100.
- Scott D.J., Da Costa B.M.T., Espy S.C., Keasling J.D., Cornish K. Activation and inhibition of rubber transferases by metal cofactors and pyrophosphate substrates // Phytochemistry. 2003. V. 64. P. 123.
- Cornish K. Biosynthesis of natural rubber (NR) in different rubber-producing species // Chemistry, Manufacture and Applications of Natural Rubber / Eds. Kohjiya S., Ikeda Y. Cambridge, Woodhead Publishing Limited. 2014. P. 3.
- da Costa B.M.T., Keasling J.D., McMahan C.M., Cornish K. Magnesium ion regulation of in vitro rubber biosynthesis by Parthenium argentatum Gray // Phytochemistry. 2006. V. 67. P. 1621.
Supplementary files
 
				
			 
					 
						 
						 
						 
						 
				
 
  
  
  Email this article
			Email this article 
 Open Access
		                                Open Access Access granted
						Access granted


