Сравнительная характеристика состава фенольных соединений Hedysarum alpinum L. в интродукции и в каллусной культуре
- Authors: Филонова М.В.1,2, Кривощеков С.В.3, Зиннер Н.С.1, Исаков Д.А.3, Решетов Я.Е.3, Чурин А.А.1,2, Белоусов М.В.3
-
Affiliations:
- Национальный исследовательский Томский государственный университет
- “Научно-исследовательский институт фармакологии и регенеративной медицины им. Е.Д. Гольдберга” Федерального государственного бюджетного научного учреждения “Томский национальный исследовательский медицинский центр Российской академии наук”
- Федеральное государственное бюджетное образовательное учреждение высшего образования “Сибирский государственный медицинский университет” Министерства здравоохранения Российской Федерации
- Issue: Vol 71, No 6 (2024)
- Pages: 735-744
- Section: ЭКСПЕРИМЕНТАЛЬНЫЕ СТАТЬИ
- URL: https://journals.rcsi.science/0015-3303/article/view/272102
- DOI: https://doi.org/10.31857/S0015330324060066
- EDN: https://elibrary.ru/MAPLIV
- ID: 272102
Cite item
Full Text
Abstract
Проведено сравнительное изучение состава фенольных соединений в растительном сырье копеечника альпийского (Hedysarum alpinum L.), интродуцированного на экосистемной дендрологической территории Сибирского ботанического сада ТГУ, и его каллусной культуры с использованием методов ВЭЖХ-УФ и ВЭЖХ-МС. Установлено, что в полученной на питательной МС-среде с добавлением 1.0 мг/л 2,4-Д и 0.1 мг/л 6-БАП и последующим культивированием на среде с α-НУК (2.0 мг/л) + 6-БАП (0.5 мг/л) каллусной культуре копеечника происходит активация фенилпропаноидного пути с образованием флавоноидов, изофлавонов, ксантонов и др. В результате сравнительного анализа установлено, что в извлечениях каллусной культуры содержание суммы флавоноидов (в пересчете на кверцетин) и формононетина ниже на 35 и 11% соответственно, а содержание мангиферина превышает более чем на 50% в сравнении с извлечением из интродуцированного растения.
Keywords
Full Text
ВВЕДЕНИЕ
В клинической практике доля препаратов, полученных из растительного сырья, составляет существенную часть (более 30%). Из препаратов растительного происхождения, входящих в государственный реестр лекарственных средств, более 70% получают из дикорастущего лекарственного сырья. Несмотря на возросшие объемы заготовки, количество получаемого сырья не удовлетворяет запросы фармацевтической промышленности, а в ряде случаев приводит к сокращению или полной потере популяций ценных видов лекарственных растений [1, 2]. Одной из важных задач современного ресурсоведения является поиск новых источников и путей получения сырья содержащего биологически активные вещества (БАВ). Интродукционное изучение лекарственных растений и последующая разработка агротехник выращивания остается одним из немногих путей сохранения природных популяций, а анализ содержания основного действующего вещества в интродуцированном лекарственном растительном сырье делает эту работу целесообразной [3].
Род Hedysarum представлен более чем 280 видами, при этом во флоре Сибири встречается 23 вида [4]. Данные, полученные при изучении фитохимического состава и биологической активности видов Hedysarum, привлекают все большее внимание исследователей, занимающихся поиском и разработкой новых лекарств [5]. Только за последнее десятилетие из растений рода Hedysarum с помощью различных методов хроматографии выделено 155 химических компонентов, среди которых флавоноиды, ксантоны, кумарины, тритерпены и тритерпеноидные сапонины, лигнаны, стеролы и др. Среди вышеперечисленных соединений некоторые фенольные соединения, в частности флавоноиды, можно рассматривать не только в качестве основных групп метаболитов, но и как хемотаксономические маркеры рода Hedysarum [5, 6]. В России на данный момент из растительного сырья копеечника получают ряд фитопрепаратов. Например, на основе индивидуального вещества копеечника альпийского – ксантона мангиферина, разработан противовирусный препарат “Алпизарин” [6].
Копеечник альпийский (Hedysarum alpinum L.) – официнальное растение, распространённое на территории России. Интенсивная заготовка растения в качестве лекарственного сырья привела к истощению природных запасов и отнесению копеечника к редким и нуждающимся в охране видам [4, 7, 8]. Для создания альтернативного дополнительного источника сырья перспективно введение копеечника альпийского в культуру с последующим исследованием качественного и количественного состава продуцируемых биологически активных веществ. Это в дальнейшем позволит оценить возможность использования полученной культуры в качестве источника соединений с целевой фармакологической активностью.
Цель работы – выделить и провести сравнительный анализ фенольных соединений интродуцированного растения и каллусной культуры Hedysarum alpinum L.
МАТЕРИАЛЫ И МЕТОДЫ
Интродукция растения
Интенсивное интродукционное изучение H. alpinum начато в 2003 г. В результате многолетних исследований получены собственные репродукции, имеющие высокий адаптационный потенциал в условиях Томской области [9]. Надземную часть собирали, не разделяя на органы, со средневозрастных особей в фазу вегетации-бутонизации. Сбор проведен в вегетационный сезон 2021 г. на экосистемной дендрологической территории Сибирского ботанического сада Томского государственного университета (ТГУ).
Получение каллусной культуры H. alpinum
Для получения каллусной культуры H. alpinum использовали проростки, выращенные из семян растений, интродуцированных в условиях юга Томской области. Семена копеечника промывали с добавлением детергента Tween-20 (Sigma, Германия) и заливали теплой водопроводной водой на 10 мин. По истечении времени в условиях ламинарного бокса семена последовательно стерилизовали в растворе 70% спирта (40 с) и 0.01% растворе сулемы (5 мин) и трижды промывали в стерильной дистиллированной воде. Стерильные семена переносили в пробирки с агаризованной питательной МС-средой без добавления стимуляторов роста [10]. Пробирки оставляли на три недели на осветительных установках под люминесцентными лампами (Philips, Нидерланды), интенсивность освещения составляла 150 мкМ квантов/м2с при температуре 25 ± 1°С, влажности 70% и 16-часовом световом дне.
Трехнедельные проростки рассекали на экспланты, представляющие собой основание побегов, семядольные листья и корни, которые затем переносили в баночки объемом 100 мл на питательную среду (30 мл). Каллусообразование индуцировали на агаризованной МС-среде с добавлением регуляторов роста α-НУК (2.0 и 3.5 мг/л), 6-БАП (0.1 и 0.5 мг/л) и 2,4-Д (Merck, Германия) (1.0 и 2 мг/л). Баночки с эксплантами оставляли в условиях темноты при температуре 25 ± 1°С и влажности 70%.
Приготовление постоянных препаратов каллусной ткани H. alpinum
Для фиксации клеток культуры был использован фиксатор Кларка (уксусный алкоголь). Кусочек каллуса возрастом 30 сут. помещали во флакон, заливали фиксатором Кларка до полного погружения каллуса. Далее флакон помещали на сутки в холодильник при температуре 4–6°С. Через сутки фиксатор удаляли, каллус заливали 96% спиртом и снова помещали на сутки в холодильник при температуре 4–6°С. Далее фиксатор повторно удаляли, каллус заливали 96% спиртом и оставляли на 1 ч при комнатной температуре. По истечении времени осуществляли заливку материала в парафин путем проведения через растворы спирт – ксилол, ксилол, ксилол – парафин. Гистологические срезы толщиной 0.5 мкм изготавливали на микротоме Microm HM 355S (Thermo Fisher Scientific Inc., США), которые затем с помощью автомата для окрашивания тканей Robot-Stainer HMS 740 (MICROM International GmbH, Германия) депарафинировали и окрашивали гематоксилином и эозином. Полученные постоянные препараты микроскопировали с использованием Axio Lab A1 (Carl Zeiss, Германия) и системы визуализации клеток Cytation 5 (BioTek Instruments, Германия).
Выделение фракции обогащенной флавоноидами и ксантонами
Точную навеску высушенного сырья заливали дистиллированной водой (гидромодуль 1 : 6) и настаивали при комнатной температуре при перемешивании на шейкере со скоростью 100 об/мин в защищенном от света месте в течение 24 ч. Таким образом сырье освобождали от высокомолекулярных соединений (полисахаридов, белков, нуклеиновых кислот), при этом целевые вещества (флавоноиды – производные кверцетина), характерные для рода Hedysarum, малорастворимые в воде, сохранялись.
Водную вытяжку сливали, затем сырье заливали 96% этиловым спиртом (1 : 6) и оставляли на сутки в тех же условиях, экстракцию 96% этанолом осуществляли два раза. Полученные спиртовые вытяжки отфильтровывали, объединяли и упаривали с использованием роторного испарителя при температуре 35°С до полного удаления этанола. Густой остаток суспендировали в дистиллированной воде, переносили в делительную воронку и проводили жидкофазную экстракцию смесью хлороформ-н-бутанол (1 : 1). Хлороформно-бутанольный экстракт концентрировали на роторном испарителе, густой остаток высушивали конвективным способом. Готовые фракции использовали для химического исследования.
Качественный анализ
Хроматографическое разделение проводили на хроматографе Agilent Technologies 1290 Infinity II (Agilent Technologies, США) с использованием хроматографической колонки Zorbax Eclipse Plus C18 (50 мм x 2.1 мм, 1.8 µм) (Agilent Technologies, США) при температуре 40°С со скоростью потока подвижной фазы равной 0.3 мл/мин. Разделение проводили в градиентном режиме с использованием следующих элюентов: 0.1% раствор трифторуксусной кислоты в воде (А) и метанол (Б). Режим элюирования: 10% Б, выдержка 5 мин, затем за 35 мин до 95% Б, выдержка 15 мин. Объем ввода пробы составлял 3 мкл.
Масс-спектрометрию проводили на тандемном триквадрупольном масс-спектрометре Agilent 6470 (Agilent Technologies, США), способ ионизации – электрораспыление. При определении общего фитохимического состава использовали диапазон сканирования от 100 до 2000 m/z. Для получения масс-спектров соединений использовали режим мониторинга множественных реакций (MRM, multiple reaction monitoring) с использованием в качестве родительского иона соответствующую массу соединений из хроматограмм по полному ионному току (TIC). Во всех случаях использован газ осушитель – азот, температура 350°С и объемный расход 8 л/мин; газ небилайзера (азот) 40 psi; энергия коллизии 35 эВ; температура капилляра 350°С и напряжение на игле распыления 3500 В. Идентификацию компонентов экстрактов проводили, основываясь на сравнении полученных масс-спектров, полученных в режиме МRM.
Количественный анализ
Определение содержания флавоноидов. Для определения содержания флавоноидов во фракциях в пересчете на кверцетин точную навеску фракции массой 0.005 г растворяли в мерной колбе вместимостью 25 мл (раствор А). Аликвоту 5 мл раствора А помещали в мерную колбу вместимостью 25 мл, прибавляли 5 мл 5% этанольного раствора хлорида алюминия, 0.3 мл концентрированной хлороводородной кислоты и доводили 95% этанолом до метки. Оптическую плотность измеряли на спектрофотометре при длине волны 410 нм через 60 мин. Параллельно измеряли оптическую плотность раствора стандартного образца кверцетина. Для этого 1 мл 0.02% раствора-стандарта кверцетина помещали в мерную колбу вместимостью 25 мл, прибавляли 5 мл 5% этанольного раствора хлорида алюминия, 0.3 мл концентрированной хлороводородной кислоты и доводили до метки 95% этанолом [11].
Приготовление раствора ГСО кверцетина: 0.0050 г (точная навеска) ГСО кверцетина, высушенного до постоянной массы при температуре 100–105°С, растворяли в мерной колбе вместимостью 25 мл в небольшом количестве подогретого 95% этанола и доводили объем до метки тем же растворителем.
Расчет содержания суммы флавоноидов в хлороформно-бутанольной фракции в пересчете на кверцетин (%) осуществляли по формуле:
(1), где:
А – оптическая плотность испытуемого раствора;
Ао – оптическая плотность ГСО кверцетина (среднее из трех измерений);
Mо – масса ГСО кверцетина, г;
М – масса навески фракции, г;
W – потеря в массе при высушивании для фракции, %.
Определение содержания ксантонов. Для определения содержания ксантонов в пересчете на мангиферин использовали адаптированную нами для фракций методику Имачуевой с соавт. [12]. Для этого точную навеску фракции (0.025 г) помещали в делительную воронку, суспендировали в 15 мл горячей воды (80°С) и охлаждали до комнатной температуры. Далее проводили 3-кратную жидкофазную экстракцию хлороформом порциями по 10 мл, хлороформные извлечения отбрасывали. Водную фазу 4-кратно обрабатывали этилацетатом, порциями по 5 мл. Полученные извлечения фильтровали через безводный натрия сульфат и концентрировали на роторном испарителе до полного удаления этилацетата. Сухой остаток растворяли в 15 мл 70% этанола и переносили в мерную колбу вместимостью 25 мл (раствор А). Раствор Б готовили следующим образом – аликвоту 10 мл раствора А переносили в мерную колбу вместимостью 25 мл, прибавляли 0.5 мл 30% уксусной кислоты, объем раствора доводили до метки 70% этиловым спиртом и перемешивали. Оптическую плотность измеряли на спектрофотометре при длине волны 365 нм, раствор сравнения – 70% этиловый спирт.
Расчет содержания суммы ксантонов в хлороформно-бутанольной фракции в пересчете на мангиферин в (%) осуществляли по формуле:
(2), где:
А – оптическая плотность испытуемого раствора;
Еуд. – удельный показатель мангиферина, равный 325.1;
Мнав. – масса навески фракции, г;
W – потеря в массе при высушивании для фракции, %.
Определение содержания формононетина. Для определения содержания формононетина использовали высокоэффективную жидкостную хроматографию с ультрафиолетовым детектированием по методике [13] с модификацией: около 0.025 г (точная навеска) фракций из каллусной культуры или растения помещали в мерную колбу вместимостью 25 мл и растворяли в стартовой подвижной фазе, состоящей из 0.1% трифторуксусной кислоты в воде (элюент А) и ацетонитрила (элюент Б) в соотношении 95 : 5, фильтровали через шприцевой фильтр с размером пор 0.45 мкм и помещали в автодозатор. Анализ осуществляли на жидкостном хроматографе Милихром А-02 (Эконова, Россия) с ультрафиолетовым детектором при длине волны 210 нм в градиентном режиме: 5% элюента Б на старте анализа с последующим увеличением до 100% Б к 40-й минуте, 100% Б до 43-й минуты. Скорость потока составила 100 мкл/мин, температура термостата колонки 40°C, объем вводимой пробы 4 мкл. Расчет количественного содержания формононетина в образцах проводили методом внешнего стандарта по формуле:
(3), где:
Sx – площадь формононетина на хроматограмме испытуемого образца, е.о.п. × мкл;
S0 – площадь формононетина на хроматограмме стандартного образца, е.о.п. × мкл;
C0 – концентрация формононетина в стандартном растворе, мг/мл;
m – масса навески испытуемого образца, мг;
V – объем раствора испытуемого образца, мл;
W– потеря в массе при высушивании для фракции, %.
РЕЗУЛЬТАТЫ
Для индукции каллусогенеза использовали МС-среды с различными комбинациями регуляторов роста: 1.0 мг/л 2,4-Д – 0.1 мг/л 6-БАП, 2.0 мг/л 2,4-Д – 0.5 мг/л 6-БАП, 2 мг/л α-НУК – 0.5 мг/л 6-БАП, 3.5 мг/л α-НУК. Образование каллуса наблюдали к 14 сутками. Оптимальной для формирования каллуса являлась МС-среда c добавлением 1.0 мг/л 2,4-Д и 0.5 мг/л 6-БАП. На других комбинациях регуляторов роста отмечен слабый прирост каллусной ткани с последующим ее некрозом.
Каллусная культура была получена только на эксплантах, представляющих собой основание побега: при использовании листовых эксплантов наблюдали потемнение ткани, тогда как на корнях образование каллуса сменялось разрастанием корней. Полученная каллусная культура клеток имела светло-желтый цвет и рыхлую структуру.
При дальнейшем культивировании каллусов на средах с добавлением 1.0 мг/л 2,4-Д и 0.1 мг/л 6-БАП наблюдали постепенное замедление прироста, в связи с этим культура была перенесена на питательную со следующим составом фитогормонов – α-НУК (2.0 мг/л) + 6-БАП (0.5 мг/л), при этом отмечено разрастание каллуса с образованием плотной светлой ткани с темными участками рыже-коричневого цвета на местах соприкосновении с питательной средой (рис. 1). В дальнейшем культивирование осуществляли на питательной среде с добавлением фитогормонов α-НУК (2.0 мг/л) + 6-БАП (0.5 мг/л), период субкультивирования составлял 30 сут.
Рис. 1. Каллусная культура копеечника альпийского.
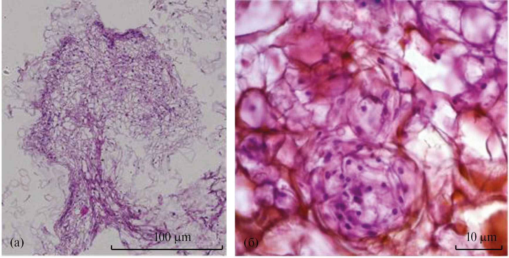
Исследования проводили на 20 цикл выращивания каллусной культуры. В результате анализа постоянных гистологических препаратов в каллусной культуре копеечника альпийского можно было выделить два цитотипа: небольшие уплощенные клетки с крупным ядром, относящиеся, вероятно, к меристематическому типу (М), и более зрелые паренхимные (П) крупные клетки округлой формы (рис. 2а). При этом также встречались три типа специфических клеток – отдельные клетки большого размера, клетки с веретеновидным ядром и клетки вытянутой, червеобразной формы.
Рис. 2. Гистологический срез каллуса копеечника альпийского: а – общий вид; б – морфологические структуры.
На гистологическом срезе основную часть каллуса составляли паренхимоподобные клетки, тогда как меристемоподобные клетки были локализованы небольшими скоплениями по краям с образованием редких морфологических очагов внутри каллуса. При этом внутри каллуса отмечено наличие больших каверн – пустот. При рассмотрении среза каллусной ткани можно наблюдать различные уплотнения и возникновение морфологических структур, представленных двумя зонами клеток: центральной – состоящей из относительно мелких, слабо вакуолизированных клеток, сохраняющих пролиферативную активность, и периферической – зоной крупных, рыхло расположенных сильно вакуолизированных паренхимоподобных клеток (рис. 2б). Таким образом, в соответствии с классификацией Кругловой с соавт. [14] у полученной культуры наблюдается становление гистологической зональности строения каллуса и гетерогенности его клеток по форме, размерам и строению.
В результате проведенного ВЭЖХ-МС исследования (рис. 3) в каллусной культуре копеечника идентифицировано 11 соединений фенольной природы (табл. 1), относящихся к группе изофлавонов (ононин, формононетин, генистеин и веститол), куместанов (хедизариумкуместан А и В), флавоноидов (эпигалокатехин) и флавонов (диосметин, изорамнетин), оксибензойных кислот (галловая и эллаговая). Состав идентифицированных веществ согласуется с литературными данными по химическому составу интактных растений копеечника [4–6].
Рис. 3. ВЭЖХ-МС хроматограмма по полному ионному току хлороформно-бутанольной фракции из каллусной ткани копеечника альпийского. 1 – галловая кислота; 2 – ононин; 3 – формононетин; 4 – хедизариумкуместан B; 5 – диосметин; 6 – эпигалокатехин; 7 – изорамнетин; 8 – хедизариумкуместан А; 9 – эллаговая кислота; 10 – генистеин; 11 – веститол.
Таблица 1. Компонентный состав фенольных соединений хлороформно-бутанольной фракции, выделенной из каллусной культуры копеечника альпийского, определенный с помощью ВЭЖХ-МС
Номер пика на хроматограмме | Соединение | Молекулярный вес, г/моль | MRM режим детектирования* |
1 | Галловая кислота | 170 | 169 → 125; 169 → 79 (–) [15] |
2 | Ононин | 430 | 431 → 269 (+) [16] |
3 | Формононетин | 268 | 269 → 253 (+) [16] |
4 | Хедизариумкуместан B | 298 | 299 → 179 (+) |
5 | Диосметин | 300 | 299 → 284 (–) [17] |
6 | Эпигалокатехин | 307 | 307 → 139 (+) [18] |
7 | Изорамнетин | 316 | 317 → 153 (+) [19] |
8 | Хедизариумкуместан А | 312 | 313 → 192 (+) |
9 | Эллаговая кислота | 302 | 301 → 257 (–) [20] |
10 | Генистеин | 270 | 271 → 243; 271 → 152 (+) [21] |
11 | Веститол | 272 | 271 → 152 (–) [22] |
Примечание: * “–” – негативный режим ионизации, “+” – позитивный режим ионизации.
Наибольшее количество обнаруженных соединений относится к группе фенольных соединений, в частности, изофлавоноидам – отдельному классу флавоноидов, характерному для растений семейства бобовые [23]. Среди обнаруженных соединений группы изофлавоноидов наиболее выраженный пик на хроматограмме идентифицирован у формононетина (рис. 3). Это соединение в последние годы привлекает большое внимание исследователей благодаря наличию не только эстрогенных, но и противоопухолевых свойств [23]. Проведен количественный анализ содержания формононетина в каллусной культуре и интродуцированном копеечнике альпийском с использованием высокоэффективной жидкостной хроматографии с ультрафиолетовым детектированием (рис. 4а–в). В результате количественной оценки методом ВЭЖХ в хлороформно-бутанольной фракции, выделенной из каллусной культуры копеечника альпийского, определено 7.02 ± 0.21% формононетина в пересчете на абсолютно сухую массу, что на 11% ниже, чем в интродуцированных растениях (7.87 ± 0.24%).
Рис. 4. Хроматограмма: а – формононетина из хлороформно-бутанольной фракции, выделенной из каллусной ткани копеечника альпийского; б – формононетина из хлороформно-бутанольной фракции, выделенной из копеечника альпийского; в – стандартного раствора формононетина (с = 50 мкг/мл).
Известно, что в растениях рода Копеечник присутствует значительное количество флавоноидов [24]. В результате количественного анализа содержание флавоноидов, не имеющих свободных гидроксильных групп в 3-положении кольца С и 5-положении кольца А в пересчете на кверцетин в каллусной культуре составило 2.40 ± 0.12%, что на 35% ниже, чем в интродуцировнных растениях копеечника (3.71 ± 0.17%). Количественный анализ основных компонентов извлечения из растений и каллусной культуры приведен в табл. 2.
Таблица 2. Содержание некоторых фенольных соединений в хлороформно-бутанольной фракции, выделенной из растений и каллусной культуры копеечника альпийского (% в пересчете на абсолютно сухую фракцию)
Объект | Содержание флавоноидов в пересчете на кверцетин*, % | Содержание ксантонов в пересчете на мангиферин, % |
Растение | 3.71 ± 0.17 | 4.92 ± 0.18 |
Культура | 2.40 ± 0.12 | 7.45 ± 0.16 |
Примечание: *содержание флавоноидов, не имеющих свободных гидроксильных групп в 3-положении кольца С и 5-положении кольца А.
Помимо флавоноидов и изофлавонов осуществлена количественная оценка содержания мангиферина в культуре клеток и в интродуцированных растениях копеечника. Мангиферин принадлежит к группе органических соединений класса ксантонов. В полученной каллусной культуре клеток с использованием адаптированной методики Имачуевой с соавт. [12] было определено содержание мангиферина, которое составило 7.45 ± 0.16%, что в 1.5 раза превышает количество в надземной части интродуцированного копеечника (табл. 2).
ОБСУЖДЕНИЕ
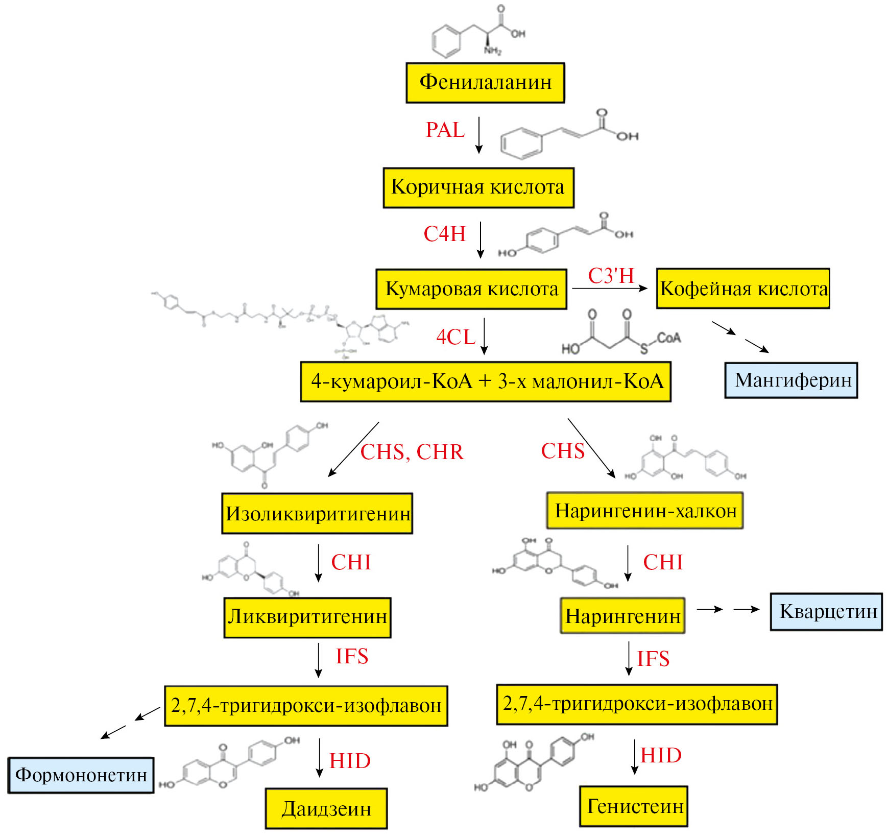
В результате проведенного исследования в полученной каллусной культуре копеечника обнаружен ряд биологически активных фенольных соединений, находящихся на различных стадиях фенилпропаноидного пути биосинтеза (рис. 5). Среди выявленных соединений изофлавоноиды и, в частности, формононетин, проявляют различную биологическую активность. Например, воздействуя на различные сигнальные пути, опосредованные NF-kB (nuclear factor κB), AP-1 (activating protein-1), PPAR (peroxisome proliferator-activated receptors), Nrf2 (nuclear factor erythroid 2) и MAPK (mitogen-activated protein kinase), они способны уменьшать воспаление, обладают антиоксидантными свойствами и эстрогенной активностью [23, 25]. Также обнаружены флавоноиды, которые представляют одну из основных групп низкомолекулярных фенольных соединений. Ценность флавоноидов обусловлена их широким спектром биоактивных свойств, таких как противовоспалительные, мембранопротекторные, противоопухолевые, нейропротекторные, иммуномодулирующие, антибактериальные, противовирусные и т.д. [26, 27]. Еще одним классом фенольных соединений, характерным для рода Копеечник, являются ксантоны, в частности, мангифрин, который также обладает противоопухолевой, антиоксидантной, противовоспалительной, иммуномодулирующей, нейропротекторной и противовирусной активностью [28, 29].
Рис. 5. Фенилпропаноидный путь биосинтеза некоторых фенольных соединений. PAL – фенилаланин-аммиаклиаза; C4H – циннамат-4-гидроксилаза; С3H – п-кумароил шикимат 3-гидроксилаза; 4CL – 4-кумарат КоА-лигаза; CHS – халконсинтаза4; CHR – халконредуктаза; CHI – халконизомераза; IFS – изофлавонсинтаза; HID – изофлавондегидратаза.
При использовании культур клеток и тканей растений в качестве продуцентов биологически активных веществ зачастую можно отметить снижение содержания и изменение качественного состава вторичных метаболитов, что связано со спецификой культуры клеток как биологической системы. Для увеличения содержания целевых метаболитов в дальнейшем перспективно использование различных подходов, например, изменение условий культивирования, применение элиситоров, генно-инженерных методов и др. [30].
Наличие в полученной каллусной культуре клеток копеечника биологически активных веществ в концентрациях выше и/или сопоставимых с интродуцированными растениями, возможно, связано с морфологическим строением каллуса, поскольку известно, что существует связь между дифференцировкой клеток в культуре и синтезом вторичных метаболитов [31, 32]. В полученной каллусной культуре клеток копеечника альпийского содержание мангиферина выше, а формононетина – ниже всего на 11%, чем в интродуцированных растениях, что позволяет рассматривать ее в качестве источника данных биологически активных соединений. Выявленный уровень вторичных метаболитов в культуре клеток копеечника открывает большой потенциал применения различных методов для увеличения накопления данных соединений и создания штамма-продуцента.
Исследование проведено с использованием оборудования центра коллективного пользования Томского политехнического университета “Физико-химические методы анализа”.
Авторы заявляют об отсутствии конфликта интересов.
Настоящая статья не содержит каких-либо исследований с участием людей и животных в качестве объектов исследования.
About the authors
М. В. Филонова
Национальный исследовательский Томский государственный университет; “Научно-исследовательский институт фармакологии и регенеративной медицины им. Е.Д. Гольдберга” Федерального государственного бюджетного научного учреждения “Томский национальный исследовательский медицинский центр Российской академии наук”
Author for correspondence.
Email: Maria-Caurus7@yandex.ru
Russian Federation, Томск; Томск
С. В. Кривощеков
Федеральное государственное бюджетное образовательное учреждение высшего образования “Сибирский государственный медицинский университет” Министерства здравоохранения Российской Федерации
Email: Maria-Caurus7@yandex.ru
Russian Federation, Томск
Н. С. Зиннер
Национальный исследовательский Томский государственный университет
Email: Maria-Caurus7@yandex.ru
Russian Federation, Томск
Д. А. Исаков
Федеральное государственное бюджетное образовательное учреждение высшего образования “Сибирский государственный медицинский университет” Министерства здравоохранения Российской Федерации
Email: Maria-Caurus7@yandex.ru
Russian Federation, Томск
Я. Е. Решетов
Федеральное государственное бюджетное образовательное учреждение высшего образования “Сибирский государственный медицинский университет” Министерства здравоохранения Российской Федерации
Email: Maria-Caurus7@yandex.ru
Russian Federation, Томск
А. А. Чурин
Национальный исследовательский Томский государственный университет; “Научно-исследовательский институт фармакологии и регенеративной медицины им. Е.Д. Гольдберга” Федерального государственного бюджетного научного учреждения “Томский национальный исследовательский медицинский центр Российской академии наук”
Email: Maria-Caurus7@yandex.ru
Russian Federation, Томск; Томск
М. В. Белоусов
Федеральное государственное бюджетное образовательное учреждение высшего образования “Сибирский государственный медицинский университет” Министерства здравоохранения Российской Федерации
Email: Maria-Caurus7@yandex.ru
Russian Federation, Томск
References
- Сафонова Н.В., Трофимова Е.О. Обзор российского рынка растительных препаратов // Ремедиум. 2021. Т. 3. C. 11.
- Третьякова С. В., Половинкина С. В. К вопросу изученности запасов лекарственных растений в прибайкалье // Научные междисциплинарные исследования. 2020. Т. 4. C. 6.
- Цицилин А.Н., Ковалев Н.И. Лекарственное растениеводство России в XXI веке (вызовы и перспективы развития) // Известия ТСХА. 2021. Т. 1. C. 42.
- Высочина Г.И., Кукушкина Т.А. Биологически активные вещества некоторых видов рода Hedysarum L. // Химия растительного сырья. 2011. Т. 4. С. 251.
- Dong Y., Tang D., Zhang N., Li Y., Zhang C., Li L., Li M. Phytochemicals and biological studies of plants in genus Hedysarum // Chem. Cent. J. 2013. V. 7. P. 124. https://doi.org/10.1186/1752-153X-7-124
- Федорова Ю.С., Сухих А.С., Кузнецов П.В. Ключевые биологически активные вещества фитопрепаратов на основе растений рода Копеечник // Сорбционные и хроматографические процессы. 2019. Т. 11. С. 708.
- Свиридова Т.П., Зиннер Н.С. Перспективы выращивания Hedysarum alpinum L. и Hedysarum theinum Krasnob. в условиях Томской области // Вестн. Том. гос. ун-та. Биология. 2008. Т. 2. С. 5.
- Ромашкина С.И., Хазиева Ф. М. Перспективы выращивания Hedysarum alpínum L. в нечерноземной зоне Российской Федерации // Вестн. КрасГАУ. 2020. Т. 12. С. 165.
- Зиннер Н.С., Высочина Г.И., Кукушкина Т.А., Свиридова Т.П. Биологически активные вещества Hedysarum alpinum L. и H. theinum Krasnob. (fabaceae), интродуцируемых в Томскую область // Вестн. Том. гос. ун-та. Биология. 2010. Т. 4. С. 116.
- Murashige T., Skoog F. A revised medium for rapid growth and bio-assays with tobacco tissue cultures // Physiol. Plant. 1962. V. 15. P. 473. https://doi.org/10.1111/j.1399-3054.1962.tb08052.x
- Авдеева Е.Ю., Краснов Е.А., Семенов А.А. Содержание флавоноидов в надземной части Saussurea controversa DC (Asteraceae) // Хим.-фарм. журнал. 2017. Т. 51. С. 28. https://doi.org/10.30906/0023-1134-2017-51-2-28-29
- Имачуева Д.Р., Серебряная Ф.К., Зилфикаров И.Н. Количественное определение суммы ксантонов в пересчете на мангиферин в надземных органах видов рода копеечник (Hedysarum L.) методом УФ-спектрофотометрии // Химия растит. сырья. 2020. Т. 3. С. 179.
- Lee J.S., Paje L.A., Kim M.J. Jang S. H., Kim J.T., Lee S. Validation of an optimized HPLC–UV method for the quantification of formononetin and biochanin A in Trifolium pratense extract // Appl. Biol. Chem. 2021. V. 64. P. 57. https://doi.org/10.1186/s13765-021-00630-5
- Круглова Н.Н., Титова Г.Е., Сельдимирова О.Н. Каллусогенез как путь морфогенеза in vitro у злаков // Онтогенез. 2018. Т. 49. С. 273. https://doi.org/10.1134/S0475145018050038
- Newsome A.G., Li Y., van Breemen R.B. Improved quantification of free and ester-bound gallic acid in foods and beverages by UHPLC-MS/MS // JAFC. 2016. V. 6. P. 1326. https://doi.org/10.1021/acs.jafc.5b04966
- Shaw L.H., Lin L.C., Tsai T.H. HPLC–MS/MS Analysis of a Traditional Chinese medical formulation of Bu-Yang-Huan-Wu-Tang and its pharmacokinetics after oral administration to rats // PLOS ONE. 2012. V. 8. P. e43848. https://doi.org/10.1371/journal.pone.0043848
- Shi F., Pan H., Lu Y., Ding L. An HPLC-MS/MS method for simultaneous determination of luteolin and its major metabolites in rat plasma and its application to a pharmacokinetic study // JSS. 2018. V. 20. P. 3830. https://doi.org/10.1002/jssc.201800585
- Ciptati E.S., Ratnawati R., Rudijanto A.A. Qualitative analysis of catechins from green tea GMB-4 clone using HPLC and LC-MS/MS // Asian Pac. J. Trop. Biomed. 2015. V. 5 P. 1046. https://doi.org/10.1016/j.apjtb.2015.09.013
- Lan K., Jiang X., He J. Quantitative determination of isorhamnetin, quercetin and kaempferol in rat plasma by liquid chromatography with electrospray ionization tandem mass spectrometry and its application to the pharmacokinetic study of isorhamnetin // Rapid Commun. Mass. Spectrom. 2007. V. 2. P. 112. https://doi.org/10.1002/rcm.2814
- Lee J.H, Johnson J.V., Talcott S.T. Identification of ellagic acid conjugates and other polyphenolics in muscadine grapes by HPLC-ESI-MS // J. Agric. Food Chem. 2005. V. 15. P. 6003. https://doi.org/10.1021/jf050468r
- Tian Z., Wan M., Wang Z., Wang B. The preparation of genistein and LC-MS/MS on-line analysis // Drug Dev. Res. 2003. V. 1. P. 6. https://doi.org/10.1002/ddr.10332
- Dudoit A., Mertz C., Chillet M., Cardinault N., Brat P. Antifungal activity of Brazilian red propolis extract and isolation of bioactive fractions by thin-layer chromatography-bioautography // Food Chem. 2020. V. 327. P. 127060. https://doi.org/10.1016/j.foodchem.2020.127060
- Rani D., Vimolmangkang, S. Trends in the biotechnological production of isoflavonoids in plant cell suspension cultures // Phytochem. Rev. 2022. V. 21. P. 1843. https://doi.org/10.1007/s11101-022-09811-6
- Jalsrai A., Urtnasan M., Hsieh-Li H.M. Ethanolic extract of Hedysarum alpinum L is rich in flavonoids and shows free radical scavenging and psychological modulation activities// J. Food Eng. Technol. 2023. V. 12. P. 14. https://doi.org/10.32732/jfet.2023.12.1.14
- Sohn S.I., Pandian S., Oh Y.J., Kang H.J., Cho W.S., Cho Y.S. Metabolic engineering of isoflavones: an updated overview // Front. Plant Sci. 2021. V. 12. P. 670103. https://doi.org/10.3389/fpls.2021.670103
- Dias M.C., Pinto D.C.G.A., Silva A.M.S. Plant flavonoids: chemical characteristics and biological activity // Molecules. 2021. V. 26. P. 5377. https://doi.org/10.3390/molecules26175377
- Roy A., Khan A., Ahmad I., Alghamdi S., Rajab B.S., Babalghith A.O., Alshahrani M.Y., Islam S., Islam M.R. Flavonoids a bioactive compound from medicinal plants and its therapeutic applications // Biomed. Res. Int. 2022. V. 2022. P. 5445291. https://doi.org/10.1155/2022/5445291
- Imran M., Arshad M.S., Butt M.S., Kwon J.H., Arshad M.U., Sultan M.T. Mangiferin: a natural miracle bioactive compound against lifestyle related disorders // Lipids Health Dis. 2017. V. 16. P. 84. https://doi.org/10.1186/s12944-017-0449-y
- Morozkina S.N., Nhung Vu. T.H., Generalova Y.E., Snetkov P.P., Uspenskaya M.V. Mangiferin as new potential anti-cancer agent and mangiferin-integrated polymer systems – A Novel Research Direction // Biomolecules. 2021. V. 11. P. 79. https://doi.org/10.3390/biom11010079
- Popova E.V., Nosov A.V., Titova M.V., Kochkin D.V., Fomenkov A.A., Kulichenko I.E., Nosov A.M. Advanced biotechnologies: collections of plant cell cultures as a basis for development and production of medicinal preparations // Russ. J. Plant Physiol. 2021. V. 68. P. 385. https://doi.org/10.31857/S0015330321030167
- Tomilova S.V., Kitashov A.V., Nosov A.M. cardiac glycosides: distribution, properties and specificity of formation in plant cell and organ cultures in vitro // Russ. J. Plant Physiol. 2022. V. 69. P. 227. https://doi.org/10.31857/S0015330322030162
- Morphogenesis, Genetic Stability, and Secondary Metabolite Production in Untransformed and Transformed Cultures // Plant Cell and Tissue Differentiation and Secondary Metabolites. Reference Series in Phytochemistry / Еds. Ramawat, K., Ekiert, H., Goyal, S. Springer. 2020 P. Cham. P. 1. https://doi.org/10.1007/978-3-030-11253-0_15-2
Supplementary files







