Рост и солеустойчивость волосовидных корней табака с конститутивной экспрессией гена TaNAC69
- Authors: Ибрагимова З.А.1,2, Галимова А.А.1, Мусин Х.Г.1, Ямалеева А.А.2, Заикина Е.А.1, Кулуев Б.Р.1,2
-
Affiliations:
- Институт биохимии и генетики – обособленное структурное подразделение Федерального государственного бюджетного научного учреждения Уфимского федерального исследовательского центра Российской академии наук
- Уфимский университет науки и технологий
- Issue: Vol 71, No 5 (2024): Генетическая инженерия растений – достижения и перспективы
- Pages: 580-590
- Section: ЭКСПЕРИМЕНТАЛЬНЫЕ СТАТЬИ
- URL: https://journals.rcsi.science/0015-3303/article/view/269473
- DOI: https://doi.org/10.31857/S0015330324050073
- EDN: https://elibrary.ru/MMUPCL
- ID: 269473
Cite item
Full Text
Abstract
Пшеница мягкая (Triticum aestivum L.) – одна из самых важных зерновых и основных продовольственных культур во всем мире, выращиваемая довольно часто в засушливых регионах мира, где нехватка воды и засоление вызывают серьезные потери урожая. Ген TaNAC69 мягкой пшеницы кодирует один из важнейших транскрипционных факторов, который участвует в регуляции устойчивости к дефициту влаги, вызванной засухой и гипотермией, однако роль этого гена при засолении малоизучена. Целью данной работы было клонирование гена TaNAC69 мягкой пшеницы в бинарном векторе с 35S CaMV промотором и создание волосовидных корней (ВК) Nicotiana tabacum L. с конститутивной экспрессией гена TaNAC69 для оценки эффективности целевой генно-инженерной конструкции в условиях засоления. В ходе агробактериальной трансформации листовых дисков табака при помощи Agrobacterium rhizogenes были получены 15 линий культур ВК, в шести из которых было доказано наличие и высокий уровень экспрессии целевого гена. ВК табака с конститутивной экспрессией гена TaNAC69 характеризовались более быстрыми темпами роста, большей разветвленностью и большей сырой и сухой массой при действии 150 мМ NaCl, чем контрольные ВК табака без целевого гена. Анализ антиоксидантной системы выявил повышенную активность ферментов гваяколпероксидазы и глутатион-S-трансферазы, большее содержание пролина и водорастворимых сахаров, а также более высокую общую антиоксидантную способность в ВК с геном TaNAC69 по сравнению с нетрансформированным контролем. Генно-инженерная конструкция TaNAC69 с 35S CaMV промотором может быть рекомендована для генетической трансформации культурных растений с целью увеличения их устойчивости к абиотическому стрессу.
Full Text
ВВЕДЕНИЕ
Растения испытывают множество абиотических и биотических стрессов на разных этапах жизненного цикла. Наряду с засухой и гипотермией, к основным абиотическим факторам стресса относится засоление почвы, которое затрагивает от четверти до трети производства всех сельскохозяйственных культур в мире [1, 2]. Засоленность почвы влияет не только на рост, развитие растения и снижение его урожайности [3], но и на физико-химический и экологический баланс затрагиваемых территорий [4]. Площади засоления продолжают увеличиваться из-за недостаточного количества осадков, нерациональных методов ведения сельского хозяйства, а также из-за применения оросительной воды с высоким содержанием солей [2, 5], особенно в засушливых и полузасушливых районах с более высоким суммарным испарением, чем осадками [7, 8].
Пшеница мягкая (Triticum aestivum L.) – одна из самых важных зерновых и основных продовольственных культур во всем мире, выращиваемая довольно часто в полузасушливых и засушливых регионах мира, где нехватка воды и засоление вызывает серьезные потери урожая [9]. В этой связи возрастает актуальность увеличения стрессоустойчивости пшеницы путем её генетической трансформации различными защитными генами, число которых у пшеницы, ввиду большого размера генома, вероятно исчисляется сотнями или даже тысячами. В этой связи представляет трудность выбора одного эффективного целевого гена для генной инженерии мягкой пшеницы. Можно предположить, что эффективным окажется использование некоторых генов транскрипционных факторов, число которых на порядок меньше, чем защитных генов [10]. К тому же транскрипционные факторы обычно регулируют экспрессию множества защитных генов. Одними из наиболее значимых регуляторов реакций стрессоустойчивости являются факторы транскрипции семейства NAC [11]. К примеру, ген TaNAC69 преимущественно экспрессируется в корне при нормальных условиях, но заметно активируется засухой как в листе, так и в корне [12]. Также была изучена сверхэкспрессия TaNAC69 в листьях и корнях трансгенной пшеницы с промотором ячменя HvDhn4s. Такие трансгенные растения имели большую длину корней, а также продуцировали большую биомассу побегов в условиях обезвоживания, вызванного ПЭГ [13]. В нашем более раннем исследовании для гена TaNAC69 было характерно повышение экспрессии при засухе во всех изучаемых сортообразцах пшеницы [11]. Исходя из этих данных, можно предполагать, что ген TaNAC69 может быть использован в качестве целевого в генной инженерии как мягкой пшеницы, так и других видов растений с целью получения засухоустойчивых форм. Однако остается неясным, насколько эффективным будет этот ген при засолении. В связи с тем, что получение полноценных трансгенных растений мягкой пшеницы является весьма трудоемкой и долгой [14], целевая конструкция с геном TaNAC69 может быть предварительно испытана в культуре генетически трансформированных (волосовидных) корней (ВК) табака [15]. ВК образуются в результате переноса Т-ДНК клеток Agrobacterium rhizogenes (Rhizobium rhizogenes) в клетку растения-хозяина [16]. Полученные ВК генетически стабильны, а также быстро растут на безгормональной питательной среде [17] и уже ранее нами использовались в качестве удобного модельного объекта для быстрой оценки эффективности генно-инженерных конструкций в условиях засоления [15].
Целью данной работы было клонирование гена TaNAC69 мягкой пшеницы в бинарном векторе с 35S CaMV промотором и создание ВК табака с конститутивной экспрессией гена TaNAC69 для оценки эффективности целевой генно-инженерной конструкции в условиях засоления.
МАТЕРИАЛЫ И МЕТОДЫ
Создание генно-инженерной конструкции, несущей целевой ген TaNAC69
Геномную ДНК пшеницы мягкой сорта Московская 39 выделяли методом солевой экстракции [18]. С использованием геномной ДНК и при помощи праймеров TaNAC69F 5’-ATCACATCATCCAGCAGCCCACAC-3’ и TaNAC69R 5’-CGTTCTTATCGGTCGGTCGTTCAC-3’ был амплифицирован полноразмерный ген TaNAC69 (AY625682.1). Размер ампликона составил 1365 п.н., что соответствует открытой рамке считывания мРНК гена TaNAC69 1065 п.н., а также 5’-НТО (68 п.н.) и 3’-НТО (138 п.н.). Внутри гена был обнаружен только один интрон размером 94 п.н. Для “тупления” концов цепей ДНК была использована T4 ДНК-полимераза (“NEB”, США). Клонирование осуществляли по сайту рестрикции SmaI, который при рестрикции образует “тупые” концы. Для поиска целевых клонов с геном TaNAC69 в смысловой ориентации при лигировании в модифицированном векторе pCambia 1301 [15] использовали праймеры 35SCambF 5’-AGAGGACCTAACAGAACTCG-3’ и 1301R 5’-TGCTCTAGCATTCGCCATTC-3’. Из целевых генно-инженерных конструкций нарабатывали специфичные ампликоны при ПЦР только в случае сочетания следующих пар праймеров: 35SCambF/TaNAC69R, TaNAC69F/1301R, а при сочетании пар 35SCambF/TaNAC69F и TaNAC69R/1301R амплификация проходила лишь в случае антисмысловой ориентации гена TaNAC69. После проверки полученной конструкции плазмида pCambia 1301 с геном TaNAC69, находящегося под контролем 35S CaMV промотора, была выделена методом щелочного лизиса. Наличие целевого гена и промоторной последовательности также была подтверждена методом секвенирования при помощи генетического анализатора Нанофор 05 (“Синтол”, Россия). Полученную плазмиду использовали для электропорации клеток A. rhizogenez при помощи прибора модели Micropulser (“BioRad”, США).
Создание ВК табака с конститутивной экспрессией гена TaNAC69
Для генетической трансформации были использованы растения табака Nicotiana tabacum L. сорта Petit Havana линии SR1. При создании трансгенных ВК табака был использован стандартный метод агробактериальной трансформации листовых дисков и бинарный вектор pCambia 1301, содержащий ген гигромицинфосфотрансферазы (HPT) и целевой ген TaNAC69 под контролем 35S CaMV промотора. Культуры ВК табака были получены из листовых эксплантов двухмесячных растений при помощи A. rhizogenes штамма А4. Агробактерии предварительно выращивали на жидкой среде LB с добавлением селективных антибиотиков рифампицина (100 мг/л) и канамицина (100 мг/л). Экспланты листьев табака, растущих на почве, стерилизовали с использованием 75% раствора этилового спирта (~1 мин) и 2% раствора гипохлорита натрия (~8 мин), затем экспланты промывали стерильной дистиллированной водой 5 раз. Совместное культивирование листовых эксплантов и агробактерий проводили на стандартной твердой среде Мурасиге-Скуга (МС) (100% концентрация минеральной основы МС-среды, 14 г/л сахарозы, 60 мг/л инозитола, 2 мг/г глицина, 1 мг/л тиамина и 1 мг/л никотиновой кислоты, 7 г/л агара) в течении трех сут. при температуре +25°С, после чего листовые экспланты были промыты в жидкой МС-среде, содержащей 100 мг/л цефотаксима. Экспланты переносили на твердую МС-среду без регуляторов роста, содержащую антибиотик цефотаксим (100 мг/л) и селективный антибиотик гигромицин В (20 мг/л). Все образованные ВК отделяли от первичного экспланта фрагментами длиной 1.5–2 см и культивировали в отдельных чашках Петри с МС-средой в камере роста KBW240 (“Binder”, Германия) при температуре +25°С, в темноте. ДНК из ВК выделяли стандартным методом ЦТАБ [19]. Трансгенный статус полученных ВК доказывали при помощи ПЦР-анализа на наличие целевого гена TaNAC69, селективного гена HPT с использованием праймеров HPTF 5’-GCTTCTGCGGGCGATTTGTG-3’ и HPTR 5’-GCTGCGCCGATGGTTTCTAC-3’, а также репортерного гена uidA с помощью праймеров GUSF 5’-TGTGGAATTGATCAGCGTTGGTG-3’ и GUSR 5’-AAGCCGACAGCAGCAAGTTTCATC-3’. Для исключения агробактериальной контаминации использовали праймеры ArhizF 5’-CCCGCACCCGATCCAAGACAAACTCA-3’ и ArhizR 5’-CGCCCGAAGCCTCACCCACGAAC-3’, которые подобраны к неаннотированному хромосомному гену A. rhizogenes под номером WP_034523040.
Определение содержания транскриптов целевого гена в ВК табака
Тотальную РНК из ВК выделяли при помощи ЦТАБ, первая цепь кДНК была синтезирована с использованием олиго(dT) праймера и M-MuLV обратной транскриптазы (“NEB”, США). Полуколичественную ОТ-ПЦР проводили при следующих условиях: 94°C – 1 мин, 94°C – 30 сек, 53°C – 30 сек, 72°C – 1 мин, 30 циклов и финальная элонгация 72°С – 5 мин. Для ОТ-ПЦР была использована пара праймеров TaNAC69F 5’-GATCGCCAAGTCGTGCTC-3’ и TaNAC69R 5’-ATCTCTTCCTCTTCATGCCGTTAT-3’. В качестве референса использовали ген фактора элонгации EF-1α (AF120093.1), для ОТ-ПЦР применяли праймеры 5’-gaattggtactgtccctgtt-3’ и 5’-ttgccaatctgtcctgaat-3’. Фотографии агарозных гелей обрабатывали при помощи компьютерной программы TotalLab (http://totallab.com). Для каждого эксперимента использовали по три контрольных и опытных растения (n = 3).
Морфометрический анализ ВК при действии засоления
Морфометрический анализ заключался в измерении среднего прироста длины культур ВК каждые 10 сут. в течение 30 сут. при культивировании на стандартной агаризованной МС-среде. Средний прирост рассчитывали, как отношение удлинения всех корней к числу корней в выборке. Также определяли среднюю сырую и сухую массу для каждой линии ВК после 30 сут. культивирования в нормальных условиях и при действии NaCl. Для обеспечения условий засоления добавляли в питательную среду NaCl до достижения концентрации 150 мМ. Концентрация NaCl была подобрана в ходе более ранних исследований по отношению к культурам волосовидных корней табака, таким образом, чтобы она значительно (до 10 раз) замедляла рост, но вызывала гибель не более 10% образцов корней после 30 дней культивации в данной среде [15]. В качестве контроля использовали ВК табака, полученные ранее без использования бинарных векторов [15]. Для каждой линии растений было использовано по две чашки Петри, то есть выборка для каждой линии составила 10 корней (n = 10).
Анализ антиоксидантной системы культур ВК
Для проведения анализа изменений антиоксидантной системы в условиях засоления культуры ВК выращивали в течение 30 сут. в нормальных условиях и затем 2 сут. в условиях стрессового воздействия (150 мМ NaCl). Активность всех ферментативных систем была пересчитана на мг общего растворимого белка (ОРБ). Остальные показатели пересчитывали на 1 г сырой массы ВК. Все биохимические исследования проводили в 3 биологических повторностях (n = 3).
Для определения активности супероксиддисмутазы (СОД) применяли метод, основанный на способности СОД конкурировать с нитросиним тетразолием за супероксид-анионы [20]. Активность аскорбатпероксидазы (АПОК) определяли методом, основанным на определении скорости разложения перекиси водорода аскорбатпероксидазой с образованием воды и дегидроаскорбата [21]. Активность гваяколпероксидазы (ГПОК) определяли по способности полимеризации гваякола до тетрагваякола [22]. Активность каталазы (КАТ) проверяли по скорости деградации молекул перекиси водорода [23]. Количество малонового диальдегида (МДА) в навеске определяли с помощью тиобарбитуровой кислоты [24]. Метод определения пролина был основан на работе Khedr с соавт. [25]. Скорость образования супероксид-аниона (СА) определяли акцепторным методом, основанным на определении окрашенного продукта окисления адреналина – аденохрома [26]. Экстракцию перекиси водорода проводили по Chaouch с соавт. [27], измерение его содержания по Bindschedler с соавт. [28]. Общая антиоксидантная способность (ОAC) оценивалась на метанольных (80%) экстрактах по восстановлению Mo(VI) до Mo(V) при кислом pH [29]. Активность глутатион-S-трансферазы (GST) определяли по скорости образования конъюгатов между восстановленным глутатионом и 1-хлор-2,4-динитробензолом [30]. Активность глутатионредуктазы (GR) определяли по восстановлению глутатиона в присутствии НАДФН, описанному Верлан [31]. В качестве контроля использовали ВК табака, полученные ранее без использования бинарных векторов [15].
Результаты всех исследований представлены в виде гистограмм со средними значениями выборки. Планками погрешности обозначали стандартную ошибку среднего (M ± SEM). Достоверность различий во всех экспериментах оценивали при помощи U-критерия Манна-Уитни (Р ≤ 0.05).
РЕЗУЛЬТАТЫ
Клонирование гена TaNAC69, получение ВК табака и определение содержания в них транскриптов целевого гена
Участок ДНК T. aestivum сорта Московская 39, содержащий ген TaNAC69 с небольшими участками нетранслируемых областей, был амплифицирован на матрице геномной ДНК и его размер составил 1365 п.н. Данный ампликон был клонирован в бинарном векторе pCambia 1301 под контролем конститутивного 35S CaMV промотора. По результатам секвенирования клонированного гена TaNAC69 нуклеотидных замен в его кодирующей части не обнаружено.
Для получения ВК табака N. tabacum был использован метод агробактериальной трансформации. ВК индуцировали на листовых эксплантах на 10 сут. после инокуляции агробактериями. Для селекции трансгенных ВК добавляли в МС-среду гигромицин B. При прорастании на 1.5–2 см, ВК отделяли от первичного экспланта и пересаживали на МС-среду без добавления фитогормонов. Биомассу корней наращивали в течение 2 нед., после чего проводили ПЦР-анализ на наличие целевого (TaNAC69), селективного (HPT) и репортерного (uidA) генов. Также с использованием метода ПЦР с праймерами ArhizF/ArhizR исключали ВК, несущие агробактериальную контаминацию. В результате было отобрано 6 линий трансгенных корней, содержащих все три анализируемых гена, которые получили номера 10, 17, 18, 20, 21 и 22. Далее в этих линиях корней было определено содержание транскриптов гена TaNAC69 по отношению к содержанию транскриптов гена EF-1α. По содержанию транскриптов целевого гена линии ВК табака составили следующий ряд: Л17 > Л18 > Л22 > Л21> > Л20 > Л10 (рис. 1), в котором наибольший уровень экспрессии целевого гена был характерен для линии 17, а наименьший для линии 10.
Рис. 1. Содержание транскриптов гена TaNAC69 в волосовидных корнях табака в % к референсному гену EF-1α. Л10-Л22 – линии волосовидных корней, несущих ген TaNAC69.
Морфометрический анализ ВК табака, несущих ген TaNAC69 при норме и засолении
Для морфометрического анализа в каждую чашку Петри диаметром 10 см со МС-средой раскладывали отрезки ВК длиной 1 см по 5 штук и проводили измерения их прироста через каждые 10 сут. (рис. 2).
Рис. 2. Внешний вид исследуемых ВК при действии 150 мМ NaCl: контрольные ВК без гена TaNAC69 через 10 (а), 20 (г) и 30 (ж) сут. после начала опыта; трансгенные ВК с геном TaNAC69 линии 21 через 10 (б), 20 (д) и 30 (з) сут. после начала опыта; трансгенные ВК с геном TaNAC69 линии 22 через 10 (в), 20 (е) и 30 (и) сут. после начала опыта. В работе использованы чашки Петри диаметром 10 см.
При нормальных условиях в первые 10 сут. большинство линий трансгенных ВК опережали в росте контрольные ВК (рис. 3а). Через 20 сут. лишь у линий 17, 21, 22 корни опережали в росте контроль (рис. 3б). При третьем измерении уже лишь у линий 21 и 22 корни опережали в росте контроль (рис. 3в). Корни линий 10, 18, 20 наоборот достоверно уступали в приросте контрольным ВК как при втором, так и при третьем измерениях (рис. 3г, в). При засолении в первые 10 сут. все трансгенные ВК, кроме линии 20, опережали в росте контрольные ВК (рис. 2а, б, в; рис. 3а). При втором измерении все линии трансгенных ВК росли быстрее контрольных ВК (рис. 2г, д, е; рис. 3б). Через 30 сут. также все линии трансгенных ВК опережали в росте контрольные ВК (рис. 2ж, з, и; рис. 3в).
Рис. 3. Средний прирост ВК табака при норме и действии 150 мМ NaCl: (а) – через 10 сут. после начала опыта; (б) – через 20 сут. после начала опыта; (в) – через 30 сут. после начала опыта. 1 – при нормальных условиях, 2 – при действии 150 мМ NaCl. Звездочки (*) указывают на достоверное различие данных между трансгенными и контрольной линиями ВК (P ≤ 0.05).
Наиболее интенсивный рост был характерен для линий 17, 18, 21 и 22. Наименьшие темпы роста показали ВК линий 10 и 20. Необходимо отметить, что во всех трех измерениях также наблюдали гораздо большую разветвленность трансгенных ВК по сравнению с контролем (рис. 2). Далее у тех же линий корней измеряли финальную сырую (рис. 4а) и сухую (рис. 4б) массы через 30 сут. культивирования при норме и действии стрессового фактора. Наибольшая сырая и сухая масса при нормальных условиях была характерна для линий 17, 21 и 22 (рис. 4а, б). Наименьшая сырая и сухая масса корней при норме обнаруживалась у линий 10 и 20 (рис. 4а, б). При засолении наибольшая сырая и сухая масса также были характерны для линий 17, 21 и 22 (рис. 4а, б).
Рис. 4. Сырая (а) и сухая (б) масса волосовидных корней при норме и действии 150 мМ NaCl. 1 – при нормальных условиях, 2 – при действии 150 мМ NaCl. Звездочки (*) указывают на достоверное различие данных между трансгенными и контрольной линиями ВК (P ≤ 0.05).
Анализ компонентов антиоксидантной системы культур ВК
Для проведения анализа антиоксидантной системы культур ВК, отобранные линии наращивали на орбитальном шейкере-инкубаторе в жидкой МС-среде в течение 30 сут. 1 раз в 2 нед. обновляли МС-среду с добавлением антибиотика цефотоксима (250 мг/л). После чего ВК были помещены в жидкую МС-среду со 150 мM NaCl на 2 сут. Контрольные ВК культивировали 2 сут. в стандартной жидкой МС-среде без добавлений NaCl. После этого проводили биохимический анализ ВК. Выбор этого времени экспозиции обусловлен с предположением, что в первые сутки ВК испытывают довольно сильный стресс, тогда как на вторые сутки должны включиться адаптивные механизмы, в том числе, путем активации антиоксидантной системы, основные параметры которого и были изучены.
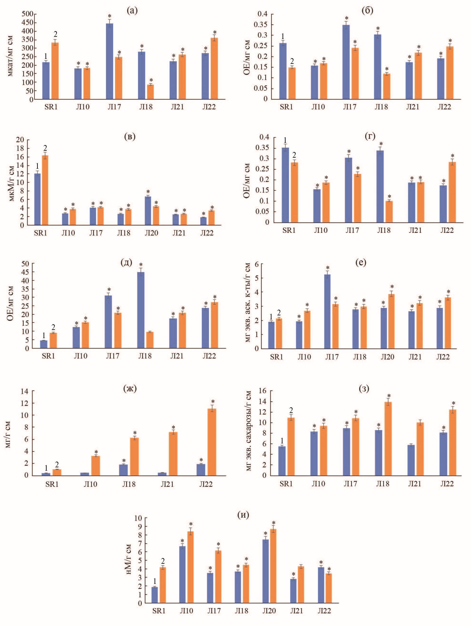
При нормальных условиях активность каталазы была выше контроля у линий 17, 18 и 22, а ниже – у линии 10 (рис. 5а). При засолении активность каталазы у трансгенных ВК была ниже, чем у контрольных ВК (рис. 5а). Активность ГПОК при нормальных условиях была выше, чем у контроля только в линиях 17 и 18 (рис. 5б). При засолении у большинства линий трансгенных ВК активность ГПОК была выше, чем в контроле (рис. 5б). Наибольшая активность ГПОК при засолении была характерна для линий 17, 21, 22. Содержание перекиси водорода у трансгенных ВК было существенно ниже, чем в контроле, причем как при нормальных условиях, так и при засолении (рис. 5в).
Рис. 5. Состояние антиоксидантной системы анализируемых ВК: (а) – активность каталазы, (б) – активность гваяколпероксидазы, (в) – содержание перекиси водорода, (г) – активность супероксиддисмутазы, (д) – активность глутатион-S-трансферазы, (е) – общая антиоксидантная способность, (ж) – содержание пролина, (з) – содержание водорастворимых сахаров, (и) – содержание малонового диальдегида. SR1 – контроль, Л10–Л22 – линии трансгенных ВК с геном TaNAC69, 1 – нормальные условия, 2 – при действии 150 мМ NaCl. Звездочки (*) указывают на достоверное различие данных между трансгенными и контрольной линиями ВК (P ≤ 0.05).
Активность СОД у большинства линий трансгенных ВК была ниже, чем в контроле как при нормальных условиях, так и при действии засоления (рис. 5г). У всех трансгенных ВК при норме была выше активность GST (рис. 5д). При засолении также почти у всех линий трансгенных ВК (кроме линии 18) была увеличена активность GST (рис. 5д). Общая антиоксидантная способность у трансгенных ВК была выше, чем у контрольных ВК как при норме, так и при засолении (рис. 5е). По содержанию пролина при нормальных условиях лишь линии 18 и 22 достоверно превышали значения контроля (рис. 5ж). При засолении во всех линиях трансгенных ВК было обнаружено гораздо большее содержание пролина, чем в контрольных ВК (рис. 5ж). Больше всего пролина содержали ВК линий 21 и 22. При нормальных условиях в трансгенных ВК наблюдали большее содержание водорастворимых сахаров (ВРС) (рис. 5з). При действии засоления лишь у линий 18 и 22 было большее содержание ВРС по сравнению с контролем (рис. 5з). Наибольшее содержание ВРС при засолении было зафиксировано для линий 18 и 22. Вопреки ожиданиям нам не удалось зафиксировать меньшее содержание МДА в трансгенных ВК. Наоборот, как при норме, так и при засолении большинство линий трансгенных ВК содержали больше МДА, чем контрольные ВК (рис. 5и). Наибольшее содержание МДА было характерно для линий 10 и 20, причем как при норме, так и при засолении. Наименьшее содержание МДА при засолении было зафиксировано для линий 18 и 22 трансгенных ВК.
ОБСУЖДЕНИЕ
Ген TaNAC69 кодирует один из важнейших транскрипционных факторов семейства NAC, запускающих каскад реакций стрессоустойчивости через активацию многих защитных генов [11]. Выбор для генно-инженерных манипуляций гена TaNAC69 обусловлен тем, что его продукт позитивно влияет на устойчивость как к засухе, так и к холоду [12]. Наши предыдущие исследования также показали, что уровень экспрессии этого гена повышается как при засухе, так и при гипотермии [11]. Как известно, эти два стрессовых фактора являются наиболее актуальными не только для России, но и для всего мира. Ранее ген TaNAC69 был использован для генетической трансформации пшеницы, причем была применена генная конструкция специфичная для однодольных с ячменным промотором [13]. Трансгенные растения пшеницы характеризовались повышением устойчивости к обезвоживанию, а также были зафиксированы лучшие, чем у контроля, параметры роста побега при умеренном засолении. В настоящей работе нами была создана более универсальная генная конструкция с вирусным 35S CaMV промотором, которая может быть использована как при трансформации двудольных, так и однодольных растений. В то же время было неизвестно, будет ли проявлять свою специфическую активность продукт гена TaNAC69 в клетках двудольных растений. Исходя из вышесказанного, целью настоящего исследования было как создание целевой генной конструкции, так и его испытание на модельной системе ВК табака. При выращивании ВК в качестве стресс-фактора использовали засоление, так как ранее о позитивном влиянии на рост корней продукта гена TaNAC69 при засолении не сообщалось.
Наиболее высокий уровень экспрессии гена TaNAC69 был характерен для ВК линий 17, 18, 21 и 22 (рис. 1). Исходя из этого, можно было предполагать, что в этих линиях функция целевого гена будет выражена в большей степени, чем в линиях 10 и 20. Морфометрический анализ показал, что наиболее высокие темпы роста как при норме, так и при засолении имели корни линий 17, 18, 21 и 22 (рис. 3, 4). То есть обнаруживалась явная зависимость параметров роста и стрессоустойчивости ВК от уровня экспрессии целевого гена. В то же время необходимо отметить, что лидером по уровню экспрессии гена TaNAC69 была линия 17, а по результатам морфометрического анализа – линия 22. То есть точной корреляции между уровнем экспрессии и параметрами роста не наблюдалось, что вполне ожидаемо в связи с тем, что каждая линия ВК отличается друг от друга местом встройки, а также нередко и количеством копий Т-ДНК в геноме и потому каждая из этих линий отличается друг от друга по многим параметрам.
Ранее было показано, что сверхэкспрессия TaNAC2 способствует повышению устойчивости к засолению у трансгенных растений A. thaliana, что было доказано в результате их морфометрического анализа при действии NaCl [32]. Ген TaNAC69 также ранее использовался для генетической трансформации, но мягкой пшеницы [13] и полученные растения характеризовались улучшением роста побега при умеренном засолении. Новизна нашей работы заключается в том, что ген TaNAC69 испытывается в гетерологической системе при засолении в корнях и впервые исследуется его влияние на компоненты антиоксидантной системы. Результаты проведенного исследования показывают, что пшеничный ген TaNAC69 может быть использован для повышения стрессоустойчивости не только у однодольных, но и двудольных растений.
Явным отличием трансгенных ВК от контрольных было гораздо более низкое содержание перекиси водорода как при норме, так и при засолении (рис. 5в). Одним из вероятных механизмов снижения содержания перекиси водорода может быть выявленное увеличение активности ГПОК (рис. 5б), в то время как у трансгенных ВК не фиксировалось повышение активности каталазы (рис. 5а). Но при нормальных условиях в отличие от условий засоления у трансгенных ВК активность ГПОК не была выше, чем у контрольной линии. Это означает, что в снижении содержания перекиси водорода у трансгенных ВК вероятнее всего задействованы и другие механизмы. Конститутивная экспрессия гена TaNAC69 не оказывала существенного влияния на активность СОД при нормальных условиях. При засолении трансген оказывал негативный эффект на активность СОД (рис. 5г). Почти у всех линий трансгенных ВК была повышена активность GST, причем как при норме, так и при засолении (рис. 5д). ОАС тоже почти во всех линиях трансгенных ВК была выше, чем в контроле как при норме, так и при засолении (рис. 5е). Наиболее ярким отличием трансгенных ВК было существенно большее содержание пролина при засолении (рис. 5ж). Многие трансгенные ВК также характеризовались более высоким содержанием ВРС, по сравнению с контролем как при норме, так и при засолении (рис. 5з). Вопреки ожиданиям, в трансгенных ВК не удалось зафиксировать уменьшения содержания МДА по сравнению с контролем (рис. 5и). Наоборот, в трансгенных ВК как при норме, так и при засолении содержание МДА было больше, чем в контроле. Большее накопление МДА в данном случае может объясняться более высокими темпами роста трансгенных ВК, по сравнению с контрольной линией. То есть можно предположить, что более быстрые темпы роста при засолении могут быть сопряжены также большей степенью окислительного повреждения мембран. Похожие данные были ранее получены на примере трансгенных растений с генами ксилоглюканэндотрансгликозилаз, у которых корни также росли быстрее в условиях засоления, но характеризовались большим накоплением МДА, чем контрольные растения [33].
Сравнение результатов биохимического анализа разных линий показывает, что наибольшая активность ГПОК и GST, а также наибольшее содержание пролина и ВРС при засолении было характерно для линий 17, 21 и 22 (рис. 5б, д, ж, з). Наиболее высокая ОАС также была характерна для линий 17, 21 и 22 (рис. 5е). Любопытно отметить, что хотя содержание МДА было больше у трансгенных ВК, чем у контрольных, наименьшее его содержание при засолении было характерно для линий 18, 21 и 22. Причем для линий 21 и 22 были характерны и другие позитивные изменения в состоянии антиоксидантной системы. Линия 18 также показывала высокие значения по результатам морфометрии и ряд позитивных изменений в антиоксидантной системе.
Таким образом, для линий ВК 17, 21 и 22, у которых был наиболее высокий уровень экспрессии гена TaNAC69 также наблюдали наиболее высокие темпы роста, большую солеустойчивость, а также ряд позитивных изменений в компонентах антиоксидантной системы. Исходя из наших данных можно полагать, что продукт гена TaNAC69 оказывает позитивный эффект на рост и солеустойчивость ВК, в том числе, через позитивное влияние на активности ферментов ГПОК и GST, на содержание пролина и ВРС, а также через повышение ОАС. Ранее также была обнаружена взаимосвязь накопления пролина в листьях пшеницы c повышением уровня экспрессии гена TaNAC69 [11]. Полученные нами данные говорят о функциональной активности продукта гена TaNAC69 в клетках двудольных растений.
Таким образом, конструкция гена TaNAC69 с 35S CaMV промотором может быть рекомендована для генетической трансформации культурных растений с целью увеличения их продуктивности и устойчивости к абиотическим стресс-факторам. С учетом наших и литературных данных можно предположить, что у трансгенных растений с конститутивной экспрессией гена TaNAC69 может быть повышена устойчивость к засухе, холоду и засолению.
Работа выполнена при поддержке Государственного задания (№ 122030200143-8 для Ибрагимовой З.А., Мусина Х.Г. и Заикиной Е.А.), и при поддержке гранта Министерства Образования и Науки РФ (№ 075-15-2021-1066, для Галимовой А.А. и Кулуева Б.Р.).
Настоящая статья не содержит каких-либо исследований с участием животных и людей в качестве объектов исследований. Авторы заявляют об отсутствии конфликта интересов.
About the authors
Зарина Азадовна Ибрагимова
Институт биохимии и генетики – обособленное структурное подразделение Федерального государственного бюджетного научного учреждения Уфимского федерального исследовательского центра Российской академии наук; Уфимский университет науки и технологий
Author for correspondence.
Email: i.zibragimova@yandex.ru
Russian Federation, Уфа; Уфа
Айзиля Айтугановна Галимова
Институт биохимии и генетики – обособленное структурное подразделение Федерального государственного бюджетного научного учреждения Уфимского федерального исследовательского центра Российской академии наук
Email: aiz.galimova@yandex.ru
Russian Federation, Уфа
Халит Галеевич Мусин
Институт биохимии и генетики – обособленное структурное подразделение Федерального государственного бюджетного научного учреждения Уфимского федерального исследовательского центра Российской академии наук
Email: mg@khalit.ru
Russian Federation, Уфа
Анна Александровна Ямалеева
Уфимский университет науки и технологий
Email: biohim-bioteh@yandex.ru
Russian Federation, Уфа
Евгения Александровна Заикина
Институт биохимии и генетики – обособленное структурное подразделение Федерального государственного бюджетного научного учреждения Уфимского федерального исследовательского центра Российской академии наук
Email: evisheva@yandex.ru
Russian Federation, Уфа
Булат Разяпович Кулуев
Институт биохимии и генетики – обособленное структурное подразделение Федерального государственного бюджетного научного учреждения Уфимского федерального исследовательского центра Российской академии наук; Уфимский университет науки и технологий
Email: kuluev@bk.ru
Russian Federation, Уфа; Уфа
References
- Abbasi G.H., Akhtar J., Ahmad R., Jamil M., Anwar-Ul-Haq M., Ali S., Ijaz M. Potassium application mitigates salt stress differentially at different growth stages in tolerant and sensitive maize hybrids // Plant Growth Regul. 2015. V. 76. P. 111. https:doi.org/10.1007/s10725-015-0050-1
- Zhang X., Liu P., Qing C., Yang C., Shen Y., Ma L. Comparative transcriptome analyses of maize seedling root responses to salt stress // Peer J. 2021. V. 9. e10765. https:doi.org/10.7717/peerj
- Wang M., Wang Y., Zhang Y., Li C., Gong S., Yan S., Li G., Hu G., Ren H., Yang J., Yu T., Yang K. Comparative transcriptome analysis of salt-sensitive and salt-tolerant maize reveals potential mechanisms to enhance salt resistance // Genes Genomics. 2019. V. 41. P. 781. https:doi.org/10.1007/s13258-019-00793-y
- Liu B., Soundararajan P., Manivannan A. Mechanisms of silicon-mediated amelioration of salt stress in plants // Plants. 2019. V. 8. Р. 307. https:doi.org/10.3390/plants8090307
- Luo M., Zhao Y., Wang Y., Shi Z., Zhang P., Zhang Y., Song W., Zhao J. Comparative proteomics of contrasting maize genotypes provides insights into salt-stress tolerance mechanisms // J. Proteome Res. 2018. V. 17. P. 141.
- Zhang Z., Zhang J., Chen Y., Li R., Wang H., Wei J. Genome-wide analysis and identification of HAK potassium transporter gene family in maize (Zea mays L.) // Mol. Biol. Rep. 2012. V. 39. P. 8465. https:doi.org/10.1007/s11033-012-1700-2
- Jha U.C., Bohra A., Jha R., Parida S.K. Salinity stress response and ‘omics’ approaches for improving salinity stress tolerance in major grain legumes // Plant Cell Rep. 2019. V. 38. P. 255. https:doi.org/10.1007/s00299-019-02374-5
- Kashyap M., Ford R., Bohra A., Kuvalekar A., Mantri N. Improving salt tolerance of chickpea using modern genomics tools and molecular breeding // Curr. Genom. 2017. V. 18. P. 557. https:doi.org/10.2174/1389202918666170705155252
- Senapati N., Stratonovitch P., Paul M.J., Semenov M.A. Drought tolerance during reproductive development is important for increasing wheat yield potential under climate change in Europe // J. Exp. Bot. 2018. V. 70. P. 2549. https:doi.org/10.1093/jxb/ery226
- Заикина Е.А., Румянцев С.Д., Сарварова Е.Р., Кулуев Б.Р. Гены транскрипционных факторов, задействованных в ответе растений на абиотические стрессовые факторы // Экологическая генетика. 2019. Т. 17. № 3. С. 47. https:doi.org/10.17816/ecogen17347-58
- Заикина Е.А., Мусин Х.Г., Кулуев А.Р., Никонов В.И., Дмитриев А.М., Кулуев Б.Р. Изменение активности генов транскрипционных факторов TANAC69, TADREB1, TABZIP60 у растений мягкой пшеницы при водном дефиците и гипотермии // Физиология растений. 2022. Т. 69. С. 327. https:doi: 10.31857/S0015330322030186
- Xue G.G., Bower N.N., McIntyre C.C., Riding G.G., Kazan K., Shorter R. TaNAC69 from the NAC superfamily of transcription factors is up-regulated by abiotic stresses in wheat and recognizes two consensus DNA-binding sequences // Funct. Plant Biol. 2006. V. 33. P. 43. https:doi.org/10.1071/FP05161
- Xue G.G., Way H., Richardson T., Drenth J., Joyce P.A., McIntyre C.L. Over expression of TaNAC69 leads to enhanced transcript levels of stress up-regulated genes and dehydration tolerance in bread wheat // Mol. Plant. 2011. V. 4. P. 697. https:doi.org/10.1093/mp/ssr013
- Вербицкая А.А., Иванова А.С., Царькова Е.А., Мишуткина Я.В., Гапоненко А.К. Агробактериальная трансформация продуктивных сортов яровой мягкой пшеницы российской селекции // Естественные и технические науки. 2022. № 1. С. 63. https:doi.org/10.25633/ETN.2022.01.04
- Мусин Х.Г., Гумерова Г.Р., Баймухаметова Э.А., Кулуев Б.Р. Рост и стрессоустойчивость волосовидных корней табака с конститутивной экспрессией гена ARGOS-LIKE // Физиология растений. 2022. Т. 69. С. 490. https:doi.org/10.31857/S0015330322050153
- Bahramnejad B., Naji M., Bose R., Jha S. A critical review on use of Agrobacterium rhizogenes and their associated binary vectors for plant transformation // Biotechnol. Adv. 2019. V. 37. P. 107405. https:doi.org/10.1016/j.biotechadv.2019.06.004
- Sun J., Ma L., San K.Y., Peebles C.A. Still stable after 11 years: A Catharanthus roseus hairy root line maintains inducible expression of anthranilate synthase // Biotechnol. Progr. 2017. V. 33. P. 66. https:doi.org/10.1002/btpr.2403
- Aljanabi S.M., Martinez I. Universal and rapid salt-extraction of high-quality genomic DNA for PCR-based techniques // Nucl. Acids Res. 1997. V. 25. P. 4692. https:doi.org/10.1093/nar/25.22.4692
- Doyle J.J., Doyle J.L. A rapid DNA isolation procedure for small quantities of fresh leaf tissue // Phytochem. Bull. 1987. V. 19. P. 11.
- Чевари С., Чаба И., Секей И. Роль супероксиддисмутазы в окислительных процессах клетки и метод определения ее в биологических материалах // Лабораторное дело. 1985. № 11. С. 578.
- Verma S., Dubey R.S. Lead toxicity induces lipid peroxidation and alert the activities of antioxidant enzymes in grooving rice plants // Plant Sci. 2003. V. 64. P. 645. http://dx.doi.org/10.1016/S0168-9452(03)00022-0
- Ермаков А.И., Арисимович В. В., Ярош Н.П., Перуански Ю.В., Луковникова Г.А. Иконникова М.И. Методы биохимического исследования растений // Ленинград: Агропромиздат. 1987. 430 с.
- Panchuck I.I., Volkov R.A., Schoff F. Heat stress and heat shock transcription factor-depend expression and activity of ascorbate peroxidase in Arabidopsis // Plant Physiol. 2002. V. 129. P. 838. https:doi.org/10.1104/pp.001362
- Taylor N.L., Millar A.H. Oxidative stress and plant mitochondria // Meth. Mol. Biol. 2007. V. 372. P. 389. https:doi.org/10.1007/978-1-59745-365-3_28
- Khedr A.H.A., Abbas M.A., Abdel W.A.A., Quick W.P., Abogadallah G.M. Proline induces the expression of salt-stress responsive proteins and may improve the adaptation of Pancratium maritimum L. to salt-stress // J. Exp. Bot. 2003. V. 54. P. 2553. https:doi.org/10.1093/jxb/erg277
- Minibayeva F.V., Kolesnikov O.P., Gordon L.K. Contribution of a plasma membrane redox system to the superoxide production by wheat root cells // Protoplasma. 1998. V. 205. P. 101. https:doi.org/10.1007/BF01279299
- Chaouch S., Queval G., Vanderauwera S., Mhamdi A., Vandorpe M., Langlois-Meurinne M., Breusegem F., Saindrenan P., Noctor G. Peroxisomal hydrogen peroxide is coupled to biotic defense responses by ISOCHORISMATE SYNTHASE1 in a daylength-related manner // Plant Physiol. 2010. V. 153. P. 1692. https:doi.org/10.1104/pp.110.153957
- Bindschedler L.V., Minibayeva F., Gardner S.L., Gerrish C., Davies D.R., Bolwell G.P. Early signalling events in the apoplastic oxidative burst in suspension cultured French bean cells involve cAMP and Ca2+ // New Phytol. 2001. V. 151. P. 185. https:doi.org/10.1046/j.1469-8137.2001.00170.x
- Boestfleisch C., Wagenseil N.B., Buhmann A.K., Seal C.E., Wade E.M., Muscolo A., Papenbrock J. Manipulating the antioxidant capacity of halophytes to increase their cultural and economic value through saline cultivation // AoB Plants. 2014. V. 13. P. 6. https:doi.org/10.1093/aobpla/plu046
- Habig W.H., Pabst M.S., Jakoby W.B. Glutathione-S-transferase. The first enzymatic step in mercapturic acid formation // J. Biol. Chem. 1974. V. 246. P. 7130. https:doi.org/10.1016/S0021-9258(19)42083-8
- Верлан Н.В. Клинико-фармакологический анализ состояния системы глутатиона при церебральной ишемии. Дис. … док. мед. наук. Москва: ЦНМБ ММА им. И.М. Сеченова 2008. 210 с.
- Mao X., Zhang H., Qian X., Li A., Zhao G, Jing R. TaNAC2, a NAC-type wheat transcription factor conferring enhanced multiple abiotic stress tolerances in Arabidopsis // J. Exp. Bot. 2012. V. 63. P. 2933. https:doi.org/10.1093/jxb/err462
- Бережнева З.А., Мусин Х.Г., Кулуев Б.Р. Рост корней трансгенных растений табака со сверхэкспрессией генов экспансинов и ксилоглюканэндотрансгликозилаз в условиях кадмиевого стресса // Физиология растений. 2022. T. 69. C. 522. https:doi.org/10.31857/S0015330322050037
Supplementary files







