Совместное действие брассиностероидов и феруловой кислоты на начальный рост растений яровой пшеницы
- Авторы: Манжелесова Н.Е.1, Литвиновская Р.П.1, Савчук А.Л.1, Денисюк Д.В.1, Хрипач В.А.1
-
Учреждения:
- Государственное научное учреждение “Институт биоорганической химии Национальной академии наук Беларуси”
- Выпуск: Том 71, № 3 (2024)
- Страницы: 280-291
- Раздел: ЭКСПЕРИМЕНТАЛЬНЫЕ СТАТЬИ
- URL: https://journals.rcsi.science/0015-3303/article/view/266525
- DOI: https://doi.org/10.31857/S0015330324030038
- EDN: https://elibrary.ru/NMYYDA
- ID: 266525
Цитировать
Полный текст
Аннотация
Исследовали росторегулирующее действие 24-эпибрассинолида, 24-эпикастастерона и феруловой кислоты на начальных этапах онтогенеза растений яровой пшеницы (Triticum aestivum L.) при раздельном и совместном применении, их влияние на эндогенный баланс фитогормональных стероидов и динамику некоторых физиологических процессов. Соединения и их смеси применяли путем замачивания семян в растворах веществ на 24 ч. Использовавшиеся для исследования концентрации брассиностероидов (10–7 и 10–9 М) были выбраны в ходе предшествовавших экспериментов, поскольку показали стимулирующий эффект на ростовые процессы. Феруловую кислоту в смесях и отдельно применяли в эквимолярных дозировках. Растения выращивали в течение 3 недель в почвенной культуре. Пробы (листья) для анализов брали на 7, 14 и 21 сутки от начала обработки семян растворами веществ. Показано, что предпосевная обработка семян брассиностероидами или феруловой кислотой приводила к активации ростовых функций, увеличению в листьях уровня эндогенных брассиностероидов, свободно-радикального окисления и пигментов. При совместном применении брассиностероидов и феруловой кислоты эффективность их действия увеличивалась. Изучение дифференцированного и совместного действия фитогормональных стероидов и феруловой кислоты показало, что эти соединения проявляют в большей или меньшей степени синергическое взаимодействие при стимуляции ростовых и метаболических процессов.
Полный текст
Сокращения: БС – брассиностероиды; ФК – феруловая кислота; ЭК – 24-эпикастастерон; ЭБ – 24-эпибрассинолид.
ВВЕДЕНИЕ
Брассиностероиды (БС) – класс полиоксигенированных стероидных гормонов, широко распространенных в растительном мире и обладающих ярко выраженной росторегулирующей активностью, в том числе в специфических биотестах. Это позволило, во-первых, разграничить их с другими эндогенными фитогормонами, во-вторых, доказать, что БС обладают фитогормональными свойствами и могут быть обозначены как отдельная группа растительных гормонов [1]. Большое количество экспериментальных данных доказывает наличие взаимодействия БС и практически всех “классических” фитогормонов, включая влияние фитогормональных стероидов на активацию и метаболизм других гормонов и участие наряду с последними в интеграции различных сигналов, перенастройке в росте и стресс-адаптации [2]. Установленное синергическое взаимодействие БС с ауксинами при стимуляции ростовых процессов стало основой создания новых соединений – конъюгатов БС и ИУК, показавших высокую росторегулирующую активность [3]. Взаимодействие БС и негормональных регуляторов, таких как фенольные соединения, до сих пор не изучалось, тогда как существование взаимосвязи между ними представляется возможным. В литературе имеются сведения о влиянии фитогормональных стероидов на содержание фенольных соединений в растительных тканях [4]. Вероятно, БС могут как активировать, так и ингибировать работу отдельных элементов транскрипционного комплекса, определяющего временную и пространственную экспрессию генов биосинтеза фенолов [5]. В промоторах генов этих факторов транскрипции найдены чувствительные к гормонам элементы [6]. Просматривается определенная связь между содержанием БС и фенольными соединениями в онтогенезе растений. Так, максимальное количество БС наблюдали в покоящихся семенах и проростках, их содержание резко снижалось в фазе интенсивного роста растений и снова возрастало к фазе полной зрелости семян [7]. Накопление фенольных соединений носит иной характер, минимальное их количество содержится в покоящихся семенах и постепенно увеличивается, достигая максимума в фазе цветения [8, с. 80; 9]. Таким образом, эти две группы регуляторов роста будто бы дополняют друг друга. В то же время фенольные соединения имеют много общего с брассиностероидами. Функциональная роль фенольных соединений также связана с ростом растений, фотосинтезом, дыханием, защитой клеток и тканей от стрессовых воздействий. Представители этой группы веществ обладают антиоксидантной активностью, мембраностабилизирующей способностью, влияют на структуру белков, являются пигментами и копигментами, субстратами дыхания, предшественниками для синтеза убихинонов, пластохинонов [10, 11]. Вместе с тем среди большого разнообразия фенольных соединений выявлено очень немного типичных регуляторов роста. Показано, что росторегулирующая способность фенолов неодинаковая и возрастает в ряду флавоны – изофлавоны – флавонолы – оксибензойные кислоты – оксикоричные кислоты – оксикумарины [8, c. 54]. Феруловая кислота (ФК), входящая в группу оксикоричных кислот, содержится практически во всех растениях, а в злаках – преимущественно. В зерне пшеницы ее количество составляет 0.8–2.0 г/кг сухого веса и может составлять до 90% от общего содержания полифенолов [12]. ФК используется в качестве действующего вещества лекарственных препаратов и в косметической промышленности как активный антиоксидант. Применение ФК на растениях продемонстрировало, что соединение выступает как регулятор физиологических процессов, связанных с ростом и стрессоустойчивостью, таких как клеточное деление, проницаемость мембран, фотосинтез, дыхание и др. [13, 14]. В настоящем исследовании использовали экзогенное применение композиций, состоящих из БС (24-эпибрассинолид или 24-эпикастастерон) и негормонального фиторегулятора – ФК, полагая, что добавление ФК повысит росторегулирующую функцию БС и будет способствовать восполнению или повышению их эндогенного уровня.
МАТЕРИАЛЫ И МЕТОДЫ
Исследования проводили на растениях яровой пшеницы (Triticum aestivum L.) сорта Дарья белорусской селекции. Соединения (БС, ФК) и их смеси применяли путем предпосевной обработки семян. Семена погружали в растворы веществ на 24 ч, затем подсушивали и высевали в пластиковые сосуды с почвой объемом 0.8 л, по 25 семян в сосуд. Почва дерново-подзолистая, суглинок. Растения пшеницы выращивали в течение 14 суток при температуре 22°/20°С (день/ ночь) и 16-часовом фотопериоде (светодиодный светильник ДБП-03-14-820 (ЧТУП “Блок Модуль”, Беларусь) мощностью 14 Вт), влажность почвы поддерживалась на уровне 70% от полной влагоемкости.
Синтез БС (24-эпибрассинолид, 24-эпикастастерон) осуществлен в лаборатории химии стероидов Института биоорганической химии Национальной академии наук Беларуси. БС использовали в концентрациях 10–7 и 10–9 М, которые, согласно нашим предыдущим исследованиям, являются оптимальными для стимуляции роста растений. ФК в смесях и отдельно применяли в эквимолярных концентрациях.
Пробы (листья) для анализов брали на 7, 14 и 21 сутки от начала обработки семян растворами БС и ФК.
Влияние БС и ФК на ростовые процессы оценивали по изменению длины и массы надземной части проростков пшеницы.
Для оценки содержания фотосинтетических пигментов свежий измельченный растительный материал (0.1 г) заливали чистым ацетоном в емкостях с притертыми крышками, помещали в темное место и по истечении 48 ч экспозиции подвергали спектрофотометрическому измерению [15]. Оптическую плотность экстракта измеряли на спектрофотометре “NanoDrop 2000” (Thermo Fisher Scientific, США) со специализированным программным обеспечением с подключением к ПК.
Интенсивность перекисного окисления липидов (ПОЛ) оценивали по образованию малонового диальдегида (МДА) в реакции с тиобарбитуровой кислотой [16]. Навеску свежей массы (0.5 г) растирали до гомогената в ступке c 1 мл реакционной среды, состоящей из 0.25% раствора тиобарбитуровой кислоты в 10% растворе ТХУ. Гомогенат переносили в пробирки, обмывая ступку небольшими порциями реакционной среды. Конечный объем составлял 4 мл. Гомогенат хорошо перемешивали, пробирки плотно закрывали и помещали в нагретую до 95°–100°С водяную баню на 30 мин. Затем пробирки охлаждали, содержимое центрифугировали 15 мин при 8000 g. Оптическую плотность супернатанта измеряли при длине волны 532 нм. Количество МДА рассчитывали, используя молярный коэффициент экстинкции – 1.55 × 105/(М см).
Для количественной оценки эндогенного содержания БС методом ИФА надземную часть растений фиксировали при температуре –70°С и лиофильно высушивали. Лиофилизацию растительных образцов из замороженного состояния проводили под вакуумом на приборе VirTis 6211 (LabX, США). Лиофилизированные образцы гомогенизировали в 0.05 М Трис(гидроксиметил)аминометане (рН 7.4) с помощью диспергатора IKA T 18 digital ULTRA-TURRAX® (IKA-Werke GmbH & Co. KG, Германия). Для более глубокой экстракции гомогенаты выдерживали в течение 24 ч при температуре –20°С, затем образцы центрифугировали на приборе Eppedorf® MiniSpin Plus (Eppedorf, Германия) и полученный супернатант анализировали. Количественную оценку проводили методом двухстадийного ИФА с использованием разработанных нами ранее иммуноферментных тест-систем для следующих групп наиболее распространенных и активных БС: 24-эпи-, 24S-метил-, 28-гомобрассиностероидов [17, 18]. В полистирольные лунки планшета с иммобилизованными антителами вносили по 150 мкл калибровочных проб и анализируемых образцов в дубликатах. Концентрация стероида в калибровочных пробах составляла 0, 0.01, 0.05, 0.1, 0.5, 1 и 5 нмоль/л. Планшет инкубировали при 37°С в течение 2 ч, после чего содержимое лунок удаляли и промывали их промывочным раствором (4 × 150 мкл). Затем во все промытые лунки добавляли по 150 мкл раствора конъюгата соответствующего БС с ПХ и инкубировали 5 мин при 37°C. Затем удаляли содержимое, промывали, как описано выше, добавляли по 150 мкл хромоген-субстратной смеси и инкубировали при 37°C в течение 20 мин. Останавливали реакцию добавлением во все лунки по 50 мкл раствора стоп-реагента (5% H2SO4). Оптическую плотность раствора во всех лунках измеряли на фотометре универсальном Ф300ТП (РУПП “Витязь”, Беларусь) при длине волны 450 нм. Для каждой калибровочной пробы рассчитывали средние арифметические значения оптической плотности, строили график зависимости показателя B/B0 × 100% от концентрации БС в калибровочных пробах (нмоль/л), где B и B0 – значения оптической плотности продукта ферментативной реакции в присутствии свободного БС и в его отсутствие соответственно. Методом интерполяции по калибровочному графику рассчитывали концентрацию БС (нмоль/л) в анализируемой пробе. Сигмоидальные калибровочные кривые линеаризовали с помощью преобразования log-logit: logit B/B0 = = ln((B/ B0)/(100 – B/B0)). Статистическую обработку полученных данных осуществляли с помощью программы Microsoft Office Excel 2010.
Эксперименты повторяли независимо трижды при 3-кратной повторности в каждой серии. Представлены средние значения и их стандартные отклонения. Достоверность различий рассчитывали по t-критерию Стьюдента. Обсуждаются различия, достоверные при Р ≤ 0.05.
РЕЗУЛЬТАТЫ
Влияние брассиностероидов и феруловой кислоты на рост проростков
Предпосевная обработка индивидуальными стероидными фитогормонами и их смесями с ФК повышала всхожесть семян яровой пшеницы. Под влиянием БС, ФК и их смесей активировался также рост проростков и накопление ими биомассы (рис. 1, 2). ФК оказывала заметное стимулирующее действие на растяжение растений, не уступающее по эффективности действию фитогормональных стероидов и усиливающееся в их присутствии. При раздельном использовании соединений стимуляция роста растений составляла в среднем 10%, тогда как при совместном их применении она превышала суммарную активность фитогормональных стероидов и ФК. Следует отметить, что на первых этапах развития растений индивидуальные соединения в равной степени стимулировали как рост растений, так и накопление сырой биомассы. Смеси вели себя несколько иначе. На стадии всходов (7 суток от начала воздействия) растяжение в длину растений стимулировалось практически в два раза интенсивнее, чем накопление биомассы. На 14 сутки от начала воздействия под влиянием смесей начиналось более активное накопление биомассы. Наиболее высокую активность проявила смесь ЭБ и ФК в концентрации 10–7 М. Под ее воздействием рост и накопление биомассы растениями стимулировались на 17 и 20% соответственно. К концу опыта проявилась тенденция более сильного положительного влияния фиторегуляторов и их смесей на накопление биомассы и, соответственно, менее активного влияния на рост растений. Сырой вес под влиянием БС и особенно их смесей с ФК повышался к концу эксперимента довольно значительно (в среднем на 15 и 30% соответственно) (рис. 2). Выделялась смесь ЭК и ФК, под воздействием которой накопление биомассы стимулировалось на 60%. Действие ФК оказалось краткосрочным, к концу эксперимента ростовые показатели были на уровне контроля.
Рис. 1. Влияние 24-эпибрассинолида (ЭБ), 24-эпикастастерона (ЭК), феруловой кислоты (ФК) и их смесей на рост растений яровой пшеницы на 7 (столбики со штриховкой), 14 (светлые столбики) и 21 (черные столбики) сутки от начала обработки семян растворами веществ. 1 – контроль (вода); 2 – ЭБ, 10–9 М; 3 – ЭБ, 10–7 М; 4 – ЭК, 10–9 М; 5 – ЭК, 10–7 М; 6 – ФК, 10–9 М; 7 – ФК, 10–7 М; 8 – ЭБ+ФК, 10–9 М; 9 – ЭБ+ФК, 10–7 М; 10 – ЭК+ФК, 10–9 М; 11 – ЭК+ФК, 10–7 М. Достоверные различия на уровне P ≤ 0.05 отмечены разными буквами.
Рис. 2. Влияние 24-эпибрассинолида (ЭБ), 24-эпикастастерона (ЭК), феруловой кислоты (ФК) и их смесей на накопление сырой биомассы растениями яровой пшеницы. Снятие показателей проводили на 7 (столбики со штриховкой), 14 (светлые столбики) и 21 (черные столбики) сутки от начала обработки семян растворами веществ. 1 – контроль (вода); 2 – ЭБ, 10–9 М; 3 – ЭБ, 10–7 М; 4 – ЭК, 10–9 М; 5 – ЭК, 10–7 М; 6 – ФК, 10–9 М; 7 – ФК, 10–7 М; 8 – ЭБ+ФК, 10–9 М; 9 – ЭБ+ФК, 10–7 М; 10 – ЭК+ФК, 10–9 М; 11 – ЭК+ФК, 10–7 М. Достоверные различия на уровне P ≤ 0.05 отмечены разными буквами.
Влияние брассиностероидов и феруловой кислоты на эндогенное содержание фитогормональных стероидов
Представленные в табл. 1 результаты показывают, что при предпосевном замачивании семян пшеницы в растворах БС ряда ЭБ и/или ФК происходило значительное повышение эндогенного уровня 24-эпиБС по сравнению с контрольным образцом на 7 и 14 сутки от начала воздействия. К концу эксперимента содержание данной группы БС в большинстве вариантов оказалось ниже значения в контрольном образце, в отдельных случаях оставаясь на уровне контроля или незначительно его превышая.
Таблица 1. Влияние 24-эпибрассинолида (ЭБ), 24-эпикастастерона (ЭК), феруловой кислоты (ФК) и их эквимолярных смесей в концентрации 10–9 М и 10–7 М на содержание 24R-метилбрассиностероидов в растениях яровой пшеницы на 7, 14 и 21 сутки от начала обработки семян растворами веществ
Растворы веществ, используемые для обработки семян | Содержание 24R-метилбрассиностероидов, нг/г сухой массы | ||
7 сут. | 14 сут. | 21 сут. | |
Контроль (вода) | 3.15 ± 0.258f | 3.08 ± 0.210d | 2.86 ± 0.259b |
24-ЭБ, 10–9 М | 13.30 ± 1.45b | 11.0 ± 1.56b | 4.53 ± 0.085a |
24-ЭБ, 10–7 М | 5.80 ± 0.684d | 14.3 ± 0.495a | 2.71 ± 0.155b |
24-ЭК, 10–9 М | 20.3 ± 0.962a | 11.5 ± 1.49b | 1.66 ± 0.083c |
24-ЭК, 10–7 М | 7.99 ± 0.800d | 14.3 ± 0.843a | 4.96 ± 0.334a |
ФК, 10–9 М | 6.02 ± 0.761d | 9.82 ± 0.490b | 2.49 ± 0.050b |
ФК, 10–7 М | 9.62 ± 0.500c | 8.37 ± 0.145c | 2.31 ± 0.093b |
24-ЭБ+ФК, 10–9 М | 14.20 ± 2.15b | 15.8 ± 2.45a | 2.03 ± 0.113b |
24-ЭБ+ФК, 10–7 М | 4.61 ± 0.215e | 15.7 ± 2.00a | 2.29 ± 0.233b |
24-ЭК+ФК, 10–9 М | 10.90 ± 0.418c | 14.4 ± 1.60a | 2.24 ± 0.028b |
24-ЭК+ФК, 10–7 М | 11.50 ± 1.04c | 16.8 ± 1.24a | 4.00 ± 0.484a |
Примечание. Одинаковыми латинскими буквами обозначены величины, различия между которыми не достоверны при Р ≤ 0.05.
Предпосевное замачивание семян в растворах БС или ФК либо не приводило к изменениям, либо несколько увеличивало эндогенное содержание 24S-метилБС на 7 сутки от начала воздействия (табл. 2). Однако при совместном воздействии БС и ФК наблюдалось повышение содержания данной группы в 4–14 раз. На 14 сутки содержание 24S-метилБС в большинстве вариантов обработки либо было на уровне контроля, либо снижалось (кроме вариантов с применением смесей ЭБ и ФК в концентрации 10–9 М и индивидуальных ЭК и ФК в концентрации 10–7 М). К концу эксперимента все значения не превышали содержания БС в контрольном образце.
Таблица 2. Влияние 24-эпибрассинолида (ЭБ), 24-эпикастастерона (ЭК), феруловой кислоты (ФК) и их эквимолярных смесей в концентрации 10–9 М и 10–7 М на содержание 24S-метилбрассиностероидов в растениях яровой пшеницы на 7, 14 и 21 сутки от начала обработки семян растворами веществ
Растворы веществ, используемые для обработки семян | Содержание 24S-метилбрассиностероидов, нг/г сухой массы | ||
7 сут. | 14 сут. | 21 сут. | |
Контроль (вода) | 0.757 ± 0.093d | 1.51 ± 0.011b | 2.10 ± 0.267a |
24-ЭБ, 10–9 М | 0.662 ± 0.033d | 0.982 ± 0.103d | 1.76 ± 0.107b |
24-ЭБ, 10–7 М | 1.27 ± 0.209c | 1.53 ± 0.164b | 1.73 ± 0.186b |
24-ЭК, 10–9 М | 1.17 ± 0.131c | 1.10 ± 0.233cd | 0.697 ± 0.036d |
24-ЭК, 10–7 М | 0.909 ± 0.100d | 1.25 ± 0.166c | 1.05 ± 0.070c |
ФК, 10–9 М | 1.10 ± 0.074c | 0.859 ± 0.024d | 2.14 ± 0.149a |
ФК, 10–7 М | 0.890 ± 0.054d | 0.842 ± 0.038d | 1.02 ± 0.032c |
24-ЭБ+ФК, 10–9 М | 11.1 ± 1.93a | 1.94 ± 0.362b | 0.918 ± 0.073c |
24-ЭБ+ФК, 10–7 М | 3.51 ± 0.195b | 1.29 ± 0.050c | 1.18 ± 0.238c |
24-ЭК+ФК, 10–9 М | 3.47 ± 0.416b | 1.23 ± 0.086c | 0.972 ± 0.011c |
24-ЭК+ФК, 10–7 М | 3.02 ± 0.426b | 3.21 ± 0.085a | 2.17 ± 0.345a |
Примечание. Одинаковыми латинскими буквами обозначены величины, различия между которыми не достоверны при Р ≤ 0.05.
В динамике эндогенного уровня 28-гомоБС наблюдалась схожая с 24S-метилБС тенденция (табл. 3). На начальном этапе роста значительное повышение 28-гомоБС показано при совместной обработке БС+ФК, а также при замачивании в растворах ЭК. На 14 сутки от начала воздействия наблюдались незначительные колебания на уровне контрольного значения. Только обработка ФК и ФК+ЭК приводила к повышению содержания 28-гомоБС в 2 и 2.4 раза соответственно. К концу эксперимента уровень БС данного ряда во всех вариантах превышал контрольное значение в 1.2–1.9 раз.
Таблица 3. Влияние 24-эпибрассинолида (ЭБ), 24-эпикастастерона (ЭК), феруловой кислоты (ФК) и их эквимолярных смесей в концентрации 10–9 М и 10–7 М на содержание 28-гомобрассиностероидов в растениях яровой пшеницы на 7, 14 и 21 сутки от начала обработки семян растворами веществ
Растворы веществ, используемые для обработки семян | Содержание 28-гомобрассиностероидов, нг/г сухой массы | ||
7 сут. | 14 сут. | 21 сут. | |
Контроль (вода) | 1.20 ± 0.134e | 1.44 ± 0.130cd | 1.68 ± 0.096d |
24-ЭБ, 10–9 М | 0.596 ± 0.027g | 1.83 ± 0.097b | 2.19 ± 0.154bc |
24-ЭБ, 10–7 М | 0.239 ± 0.020h | 1.53 ± 0.111c | 3.22 ± 0.258a |
24-ЭК, 10–9 М | 1.88 ± 0.125d | 1.33 ± 0.151cd | 2.17 ± 0.202bc |
24-ЭК, 10–7 М | 2.86 ± 0.315c | 1.23 ± 0.184d | 2.28 ± 0.250b |
ФК, 10–9 М | 0.568 ± 0.040g | 1.66 ± 0.110c | 2.30 ± 0.254b |
ФК, 10–7 М | 0.747 ± 0.037f | 2.61 ± 0.241a | 2.13 ± 0.065bc |
24-ЭБ+ФК, 10–9 М | 15.4 ± 1.56a | 1.96 ± 0.150b | 2.87 ± 0.052a |
24-ЭБ+ФК, 10–7 М | 9.49 ± 1.01b | 1.45 ± 0.249cd | 2.48 ± 0.112b |
24-ЭК+ФК, 10–9 М | 3.03 ± 0.341c | 1.25 ± 0.181d | 1.99 ± 0.119c |
24-ЭК+ФК, 10–7 М | 1.79 ± 0.159d | 3.41 ± 0.558a | 2.83 ± 0.394a |
Примечание. Одинаковыми латинскими буквами обозначены величины, различия между которыми не достоверны при Р ≤ 0.05.
Таким образом, при предварительном замачивании семян пшеницы в растворах БС и/или ФК, как правило, происходит значительное повышение эндогенных БС на начальном этапе роста, а на последующих стадиях эндогенный уровень БС устанавливается на уровне контрольных значений.
Влияние брассиностероидов и феруловой кислоты на интенсивность перекисного окисления липидов
Обработка семян фиторегуляторами заметно повышала уровень продукта ПОЛ – МДА в проростках уже на 7 сутки от начала воздействия. Под воздействием ФК содержание МДА увеличивалось на 56%, независимо от концентрации ФК (рис. 3). БС в низкой дозе практически не оказывали влияния на содержание МДА, в высокой – стимулировали его накопление в среднем на 17%. Смеси занимали промежуточное положение. Далее процесс стабилизировался и к концу эксперимента содержание МДА в растениях во всех вариантах, кроме ФК, было снижено по отношению к контролю, в наибольшей степени при применении смесей.
Рис. 3. Влияние 24-эпибрассинолида (ЭБ), 24-эпикастастерона (ЭК), феруловой кислоты (ФК) и их смесей на содержание малонового диальдегида в растениях яровой пшеницы на 7 (столбики со штриховкой), 14 (светлые столбики) и 21 (черные столбики) сутки от начала обработки семян растворами веществ. 1 – контроль (вода); 2 – ЭБ, 10–9 М; 3 – ЭБ, 10–7 М; 4 – ЭК, 10–9 М; 5 – ЭК, 10–7 М; 6 – ФК, 10–9 М; 7 – ФК, 10–7 М; 8 – ЭБ+ФК, 10–9 М; 9 – ЭБ+ФК, 10–7 М; 10 – ЭК+ФК, 10–9 М; 11 – ЭК+ФК, 10–7 М. Достоверные различия на уровне P ≤ 0.05 отмечены разными буквами.
Влияние брассиностероидов и феруловой кислоты на содержание фотосинтетических пигментов
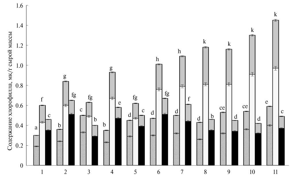
Под влиянием БС и ФК изменялось содержание пигментов в растениях в онтогенезе. Индивидуальные вещества и их смеси на 7 и 14 сутки воздействия оказывали стимулирующее влияние на формирование пигментного аппарата, что проявлялось в увеличении содержания хлорофилла, особенно на 14 сутки (рис. 4). Среди индивидуальных соединений наибольшую активность проявила ФК. Под ее воздействием содержание зеленых пигментов возрастало на 80%, БС увеличивали этот показатель в среднем на 25-30%. При этом если изученные концентрации ФК не сказывались на эффективности ее действия, то БС стимулировали накопление пигментов в большей степени при применении их в концентрации 10–9 М. Добавление ФК к ЭБ увеличивало содержание зеленых пигментов в проростках почти вдвое. Смеси ЭК и ФК увеличивали содержание хлорофилла в 2.4 раза. К концу эксперимента количество хлорофилла в листьях в вариантах с применением смесей оставалось на уровне контроля, тогда как под влиянием индивидуальных веществ содержание зеленых пигментов оставалось выше контрольного, в основном за счет хлорофилла а. Только под влиянием ФК увеличивалась концентрация обоих форм пигмента – а и b. Соотношение хлорофилла а/b во всех вариантах существенно не менялось. Обращает на себя внимание тот факт, что под влиянием смесей содержание каротиноидов в проростках было повышенным в течение всего эксперимента, тогда как индивидуальные соединения вначале ингибировали их накопление, в дальнейшем БС практически не оказывали влияния на этот показатель, а ФК повышала их уровень (рис. 5). Смеси способствовали накоплению каротиноидов в наибольшей степени, особенно при использовании составляющих их компонентов в высокой концентрации.
Рис. 4. Влияние 24-эпибрассинолида (ЭБ), 24-эпикастастерона (ЭК), феруловой кислоты (ФК) и их смесей на содержание хлорофилла в растениях яровой пшеницы на 7 (столбики со штриховкой), 14 (светлые столбики) и 21 (черные столбики) сутки от начала обработки семян растворами веществ. 1 – контроль (вода); 2 – ЭБ, 10–9 М; 3 – ЭБ, 10–7 М; 4 – ЭК, 10–9 М; 5 – ЭК, 10–7 М; 6 – ФК, 10–9 М; 7 – ФК, 10–7 М; 8 – ЭБ+ФК, 10–9 М; 9 – ЭБ+ФК, 10–7 М; 10 – ЭК+ФК, 10–9 М; 11 – ЭК+ФК, 10–7 М. Нижние столбики – хлорофилл а, верхние темно-серые столбики – хлорофилл b. Достоверные различия на уровне P ≤ 0.05 отмечены разными буквами.
Рис. 5. Влияние 24-эпибрассинолида (ЭБ), 24-эпикастастерона (ЭК), феруловой кислоты (ФК) и их смесей на содержание каротиноидов в растениях яровой пшеницы на 7 (столбики со штриховкой), 14 (светлые столбики) и 21 (черные столбики) сутки от начала обработки растворами веществ. 1 – контроль (вода); 2 – ЭБ, 10–9 М; 3 – ЭБ, 10–7 М; 4 – ЭК, 10–9 М; 5 – ЭК, 10–7 М; 6 – ФК, 10–9 М; 7 – ФК, 10–7 М; 8 – ЭБ+ФК, 10–9 М; 9 – ЭБ+ФК, 10–7 М; 10 – ЭК+ФК, 10–9 М; 11 – ЭК+ФК, 10–7М. Достоверные различия на уровне P ≤ 0.05 отмечены разными буквами.
ОБСУЖДЕНИЕ
Совместное воздействие БС и ФК на рост растений пшеницы позволило не только полностью сохранить стимулирующую активность фитогормональных стероидов, но и получить синергический эффект, то есть взаимодействие регуляторов роста проявлялось достаточно сильно. Для выяснения того, как тот или иной гормон осуществляет регуляцию физиологических функций, требуется детальный анализ эндогенного гормонального статуса растения. Предполагается, что регуляторная функция гормонов реализуется в основном через изменение концентрации, которая в каждый определенный момент является результатом процессов синтеза, распада, транспорта, взаимопревращений свободных и связанных форм гормона. Важно знание роли каждого из этих процессов в регуляции концентрации гормона. Особенно это необходимо при использовании экзогенных регуляторов роста, поскольку их эффект зависит от эндогенного содержания фитогормонов, оптимальный уровень которых является важным индикатором нормального роста и развития растений. Обнаруженные нами изменения роста проростков под влиянием БС и ФК могут быть обусловлены, прежде всего, изменением эндогенного уровня фитогормональных стероидов.
Результаты наших экспериментов однозначно свидетельствуют о влиянии ФК на метаболизм БС, поскольку самое высокое содержание фитогормональных стероидов отмечалось при применении смесей, особенно на начальном этапе развития проростков, при самом активном росте. Это явление может быть связано также с повышением биодоступности стероидного гормона в присутствии кислоты, облегчающей его поступление в клетку. Однако для определения механизма этого действия требуются дополнительные исследования.
Положительное взаимодействие в активации роста проростков под влиянием БС и ФК может быть также связано с действием ауксина – регулятора роста растяжением. При стимуляции ростовых процессов отмечается синергическое взаимодействие фитогормональных стероидов с ауксинами [19]. Одним из механизмов такого действия, очевидно, является регуляция ауксинового обмена. Известна способность БС регулировать рост растяжением посредством изменения активности ферментных систем синтеза и распада ИУК [20]. Вместе с тем имеются сведения о том, что нарушение синтеза БС изменяет реакцию ауксина путем воздействия на его транспорт [21]. В свою очередь, фенольные соединения также имеют сродство к ауксину и росту растяжением, обладая способностью регулировать активность ферментных систем биосинтеза и распада, а также активность ИУК [22]. Следовательно, фенолы, с одной стороны, могут непосредственно влиять на регуляцию роста как биологически активные вещества и, с другой стороны, могут оказывать опосредованное влияние на этот процесс, регулируя метаболизм ИУК и тем самым определяя фитогормональный баланс растительного организма. Показанная нами ростостимулирующая активность ФК может быть связана с защитой ИУК посредством ингибирования активности ауксиноксидазы [23], что поддерживает рост растяжением. Таким образом, ФК и БС ведут себя, как активные регуляторы ауксинового обмена, способствуя биосинтезу и сохранению эндогенного гормона, тем самым стимулируя рост и морфогенез проростков и проявляя в этих процессах синергическое действие.
Изменения роста растений под влиянием фиторегуляторов могут быть обусловлены, помимо изменения эндогенного баланса ростовых гормонов, изменениями на клеточном уровне, что приводит к сдвигу метаболических процессов, которые индуцируют ответные реакции ростовых процессов. Свободнорадикальное, или перекисное, окисление липидов в настоящее время рассматривается как один из доминирующих метаболических процессов, которые обеспечивают регуляцию функциональной деятельности любых физиологических систем организма. Реакции перекисного окисления носят универсальный характер, служат источником энергии, необходимой для жизнедеятельности, и показателем устойчивости метаболических превращений в организме. Продукты ПОЛ участвуют в регулировании проницаемости мембран и регуляции скорости роста организмов [24]. ПОЛ провоцируется избыточным количеством АФК, которые также являются важными регуляторами роста и развития растений [25, 26]. В наших экспериментах у проростков яровой пшеницы под воздействием фиторегуляторов с момента прорастания, вероятно, происходила избыточная генерация АФК, которая сопровождалась интенсификацией процессов ПОЛ, поскольку содержание МДА в проростках было повышено, рост растений активировался. Интересно, что такое действие сходно с действием ауксина. Показано, что ауксин через 15–30 мин после внесения вызывал образование АФК в 3-4-дневных проростках арабидопсиса [27]. Следует также отметить более высокое содержание МДА под влиянием ФК, что согласуется с литературными данными [28]. Однако ростовые процессы у пшеницы в наибольшей степени были выражены при промежуточном содержании МДА под воздействием смесей. Можно предположить, что уровень процессов образования АФК и реакции ПОЛ у проростков при совместном действии фитогормональных стероидов и ФК оптимален для поддержания ПОЛ в регуляции активности систем поддержания гомеостаза клеток и роста растений. Известно, например, что чрезмерная активация ПОЛ может приводить к развитию патологических процессов [29]. Поэтому наблюдаемое нами к концу эксперимента снижение уровня МДА под воздействием БС свидетельствует также об антистрессовом, адаптогенном их действии, которое усиливается при добавлении к фитогормональным стероидам ФК.
Рост растений, формативный, органообразовательный и рост как увеличение биомассы невозможен без функционирования фотосинтетической системы листа. Пигменты занимают центральное место в фотосинтезе, в их отсутствие не происходит поглощение и запасание световой энергии. Количественная оценка содержания и качественный состав пигментов, изменение их соотношений в листьях являются важными и чувствительными показателями физиологического состояния растений и их фотосинтетического аппарата, направленности приспособительных реакций при воздействии различных факторов.
Литературные данные свидетельствуют об усилении синтеза фотосинтетических пигментов под действием экзогенных БС и ФК [30]. В условиях нашего эксперимента под влиянием соединений и их смесей содержание хлорофилла изменялось однонаправленно, возрастая практически на всех стадиях развития проростков яровой пшеницы. Небольшое снижение суммарного содержания хлорофилла а и b при неизменном соотношении а/b в вариантах с использованием смесей по сравнению с индивидуальными соединениями к концу эксперимента, вероятно, связано со снижением синтеза пигментов, а не их деструкцией, что, по мнению некоторых авторов [31], можно рассматривать как адаптационную реакцию растений, позволяющую оптимизировать использование энергии света для фотосинтетических процессов. Как адаптационную реакцию растений, вероятно, следует рассматривать и увеличение содержания каротиноидов под влиянием смесей по сравнению с индивидуальными соединениями. Известно, что ранние стадии биогенеза хлоропластов происходят с образованием АФК, так как пигмент-белковые комплексы и электрон-транспортная цепь еще не сформированы и несовершенна система, препятствующая развитию окислительных реакций [32, с. 88–89]. Для защиты от окислительных повреждений, растения включают защитные механизмы, выражающиеся в росте активности определенных антиоксидантных систем, в том числе повышение содержания каротиноидов, способствующих не только защите от окислительного стресса, но и большему поглощению света [33]. Перестройки пигментного аппарата под влиянием фиторегуляторов и их смесей были аналогичны специфике развития проростков: наибольшее содержание хлорофилла было обнаружено в растениях на 7 сутки от начала воздействия, и на этой стадии проростки характеризовались наибольшей интенсивностью ростовых процессов. На 14 сутки от начала воздействия содержание хлорофилла и каротиноидов в листьях при обработке смесями не превышало контрольного уровня и в этих же вариантах несколько снижалась интенсивность роста, и в то же время стимулировалось накопление биомассы. Это свидетельствует о том, что между ростом и фотосинтезом существует тесная связь, регулируемая метаболическими и гормональными механизмами. Стимулирующее влияние фитогормональных стероидов и фенольной кислоты на накопление пигментов и усиление эффекта при применении их смесей указывают на то, что БС и ФК, по-видимому, не только влияют на звенья биосинтетической цепи образования пигментов, но и проявляют при этом синергизм действия.
Таким образом, при стимуляции ростовых и метаболических процессов выявлено эффективное взаимодействие БС и фенольных соединений, основой которого является физиологическое поведение в онтогенезе, по крайней мере на начальных его этапах.
Работа выполнена при финансовой поддержке Белорусского республиканского фонда фундаментальных исследований (проект Х23РНФ-087).
Авторы заявляют об отсутствии конфликта интересов. Настоящая статья не содержит каких-либо исследований с участием людей и животных в качестве объектов исследований.
Об авторах
Н. Е. Манжелесова
Государственное научное учреждение “Институт биоорганической химии Национальной академии наук Беларуси”
Автор, ответственный за переписку.
Email: litvin@iboch.by
Белоруссия, Минск
Р. П. Литвиновская
Государственное научное учреждение “Институт биоорганической химии Национальной академии наук Беларуси”
Email: litvin@iboch.by
Белоруссия, Минск
А. Л. Савчук
Государственное научное учреждение “Институт биоорганической химии Национальной академии наук Беларуси”
Email: litvin@iboch.by
Белоруссия, Минск
Д. В. Денисюк
Государственное научное учреждение “Институт биоорганической химии Национальной академии наук Беларуси”
Email: litvin@iboch.by
Белоруссия, Минск
В. А. Хрипач
Государственное научное учреждение “Институт биоорганической химии Национальной академии наук Беларуси”
Email: litvin@iboch.by
Белоруссия, Минск
Список литературы
- Khripach V., Zhabinskii V., De Groot A. Twenty years of brassinosteroids: steroidal plant hormones warrant better crops for XXI century // Ann. Bot. 2000. V. 86. P. 441. https://doi.org/10.1006/anbo.2000.1227
- Nanstaelen M., Benkova E. Hormonal interaction in the regulation of plant development // Ann. Rev. Cell Dev. Biol. 2012. V. 28. P. 463. https://doi.org/10/1146/annurev-cellbio-101011-155741
- Litvinovskaya R.P., Minin P.S., Raiman M.E., Zhilitskaya G.A., Kurticova A.I., Kozharnovich K.G., Derevyanchuk M.V., Kravets V.S., Khripach V.A. Indolil-3-acetoxy derivatevs of brassinosteroids: synthesis and growth-regulating activity // Chem. Nat. Compd. 2013. V. 49. P. 478. https://doi.org/10.1007/s10600-013-0643-8
- Babalic Z. Increasing of phenolic compounds by brassinisteroid applications in immobilisied cell suspension cultures of Vitis vinifera L. cv. Cinsault // J. Agric. Sci. 2021. V. 27. P. 298. https://doi.org/10.15832/ancutbd.674860
- Wenjia Xu, Christian Dubos, Loïc Lepiniec. Transcriptional control of flavonoid biosynthesis by MYB–bHLH–WDR complexes // Trends Plant Sci. 2015. V. 20. P. 176. https://doi.org/10.1016/j.tplants.2014.12.001
- Ni J., Premathilake A.T., Gao Y., Yu W., Tao R., Teng Y., Bai S. Ethylene-activated PpERF105 induces the expression of the repressor-type R2R3-MYB gene PpMYB140 to inhibit anthocyanin biosynthesis in red pear fruit // Plant J. 2021. V. 105. P. 167. https://doi.org/10.1111/tpj.15049
- Bajqus A. Metabolism of brassinosteroids in plants // Plant Physiol. Biochem. 2007. V. 45. P. 95. https://doi.org/10.1016/j.plphy.2007/01/02
- Волынец А.П. Фенольные соединения в жизнедеятельности растений. Минск: Беларуская навука, 2013. 283 с.
- Strack D. Phenolic metabolism // Plant biochemistry / Eds. P.M. Dey, J.B. Harborne. Academic Press. 1997. P. 387.
- Cheynier V., Comte G., Davis K.M., Lattanzio V., Martens S. Plant phenolics: Recent advances on their biosynthesis, genetics, and ecophysiology // Plant Physiol. Biochem. 2013. V. 72. P. 1. https://doi.org/10.1016/j.plaphy.2013.05.009
- Kumar S., Abedin M.M., Singh A.K., Das S. Role of phenolic compounds in plant-defensive mechanisms // Plant phenolics in sustainable agriculture / Eds. R. Lone et al. Springer Nature Singapore Pte Ltd. 2020. P. 517. https://doi.org/10.1007/978-981-15-4890-1_22517
- Manach C., Scalbert A., Morand C., Rémésy C., Jiménez L. Polyphenols: food sources and bioavailability // Am. J. Clin. Nutr. 2004. V. 79. P. 727. https://doi.org/10.1093/ajcn/79.5.727
- Santos W.D., Ferrarese M.L.L., Nakamura C.V., Mourão K.S.M., Mangolin C.A., FerrareseFilho O. Soybean (Glycine max) root lignification induced by ferulic acid. The possible mode of action // J. Chem. Ecol. 2008. V. 34. P. 1230. https://doi.org/10.1007/310886-008-9522-3
- Cheng Z.Y., Sun L., Wang X.J., Sun R., An Y.Q., An B.L., Zhu M.X., Zhao L.F., Bai J.G. Ferulic acid pre- treatment alleviates heat stress in blueberry seedlings by inducing antioxidant enzymes, proline, and soluble sugars // Biol. Plant. 2018. V. 62. P. 534. https:/doi.org/10.1007/s10535-018-0772-9
- Лобков В. Г., Наполова Г.В. Способ определения хлорофилла в растениях гречихи. РФ Патент 244916, 2005.
- De Vos C.H.R., Schat H., Vooijs R., Ernst W.H.O. Copper-induced damage to the permeability barrier in roots of Silene cucubalus // J. Plant Physiol. 1989. V. 135. P. 164. https://doi.org/10.1016/S0176-1617(89)80171-3
- Khripach V.A., Zhabinskii V.N., Litvinovskaya R.P. Immunoassays of brassinosteroids // Brassinosteroids: a class of plant hormones / Eds. S. Hayat, A. Ahmad. Springer. 2011. P. 375.
- Pradko A.G., Litvinovskaya R.P., Sauchuk A.L., Drach S.V., Baranovsky A.V., Zhabinskii V.N., Mirantsova T.V., Khripach V.A. A new ELISA for quantification of brassinosteroids in plants // Steroids. 2015. V. 97. P. 78. https://doi.org/10.1016/j.steroids.2014.08.022
- Bao F., Shen J.J., Brady S.R., Muday G.K., Asami T., Yang Z.B. Brassinosteroids interact with auxin to promote lateral root development in Arabidopsis // Plant Physiol. 2004. V. 134. P. 1624. https://doi.org/10.1104/pp.103.036897
- Nakamura A., Higuchi K., Goda H., Fujiwara M.T., Sawa S., Koshiba T., Shimada Y., Yoshida S. Brassinolide induces IAA5, IAA19, and DR5, a synthetic auxin response element in Arabidopsis, implying a cross talk point of brassinosteroid and auxin signaling // Plant Physiol. 2003. V. 133. P. 1843. https://doi.org/10.1104/pp.103.030031
- De Grauwe L., Vandenbussche F., Tietz O., Palme K., Van Der Straeten D. Auxin, ethylene and brassinosteroids: tripartite control of growth in the Arabidopsis hypocotyl // Plant Cell Physiol. 2005. V. 46. P. 827. https://doi.org/10.1093/pcp/pci111
- Волынец А.П. Фенольная регуляция ауксинового обмена в растениях // Доклады АН Беларуси. 1994. Т. 38. С. 68.
- Machakova I., Zazimalova E., George F. Plant growth regulators I: introduction; auxins, their analogues and inhibitors // Plant propagation by tissue culture / Eds. E.F. George, M.A. Hall, G.-J. de Klerk. Springer. 2008. P. 175.
- Sharova E.I., Medvedev S.S. Redox reactions in apoplast of growing cells // Russ. J. Plant Physiol. 2017. V. 64. P. 1. https:/doi.org/10.1134/S1021443717010149
- Gapper C., Dolan L. Control of plant development by reactive oxygen species // Plant Physiol. 2006. V. 141. Р. 341. https:/doi.org/10.1104/pp.106.079079
- Breygina M., Schekaleva O., Klimenko E., Luneva O. The balance between different ROS on tobacco stigma during flowering and its role in pollen germination // Plants. 2022. V. 11. P. 993. https://doi.org/10.3390/plants11070993
- Schopfer P., Liszkay A., Bechtold M., Frahry G., Wagner A. Evidence that hydroxyl radicals mediate auxin-induced extension growth // Planta. 2002. V. 214. P. 821. https://doi.org/1001007/s00425001-099-8
- Олениченко Н.А., Городкова Е.С., Загоскина Н.В. Влияние экзогенных фенольных соединений на перекисное окисление липидов у растений пшеницы // Сельскохозяйственная биология. 2008. № 3. С. 58.
- Gill S., Tuteja N. Reactive oxygen species and antioxidant machinery in abiotic stress tolerance in crop plants // Plant Physiol. Biochem. 2010. V. 48. P. 909. https://doi.org/10.1016/j.plaphy.2010.08.016
- Siddiqui H., Hayat S., Bajguz A. Regulation of photosynthesis by brassinosteroids in plants // Acta Physiol. Plant. 2018. V. 40. P. 59. https://doi.org/10.1007/s11738-018-2639-2
- Каляга Т.Г., Козел Н.В. Влияние почвенной засухи на содержание фотосинтетических пигментов в растениях ячменя сорта Бровар // Журнал Белорусского государственного университета. Биология. 2020. № 3. С.46. https://doi.org/10.33581/2521-1722-2020-3-46-53
- Кабашникова Л.Ф. Фотосинтетический аппарат и стресс у растений. Минск: Беларуская навука, 2014. 267 с.
- Маслова Г.Г., Марковская Е.Ф., Слемнев Н.Н. Функции каротиноидов в листьях высших растений (Обзор) // Журнал общей биологии. 2020. Т. 81. С. 297. https://doi.org/10.31857/s0044459620040065
Дополнительные файлы







