Sterol Composition of Lichen Peltigera canina When Exposed to Unfavorable Temperatures
- Authors: Valitova Y.N.1, Khabibrakhmanova V.R.1,2, Babaev V.M.3, Uvaeva V.L.1, Khairullina A.F.1, Rakhmatullina D.F.1, Galeeva E.I.1, Swid M.A.1, Minibayeva F.V.1
-
Affiliations:
- Kazan Institute of Biochemistry and Biophysics, Kazan Scientific Center, Russian Academy of Sciences
- Kazan National Research Technological University
- Arbuzov Institute of Organic and Physical Chemistry, Kazan Scientific Center, Russian Academy of Sciences
- Issue: Vol 70, No 7 (2023)
- Pages: 887-897
- Section: ЭКСПЕРИМЕНТАЛЬНЫЕ СТАТЬИ
- URL: https://journals.rcsi.science/0015-3303/article/view/233798
- DOI: https://doi.org/10.31857/S0015330323600997
- EDN: https://elibrary.ru/BGZAUW
- ID: 233798
Cite item
Full Text
Abstract
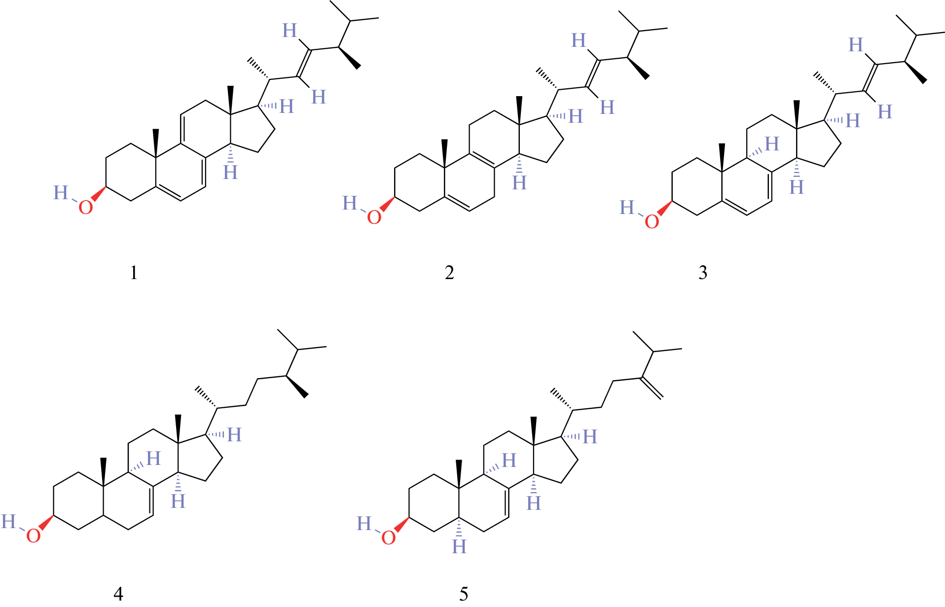
Currently, special attention is paid to the study of the mechanisms of stress resistance of extremophile organisms that can survive in extreme conditions. Such organisms include lichens, which are symbiotic associations of fungi and algae and/or cyanobacteria. The high stress resistance of lichens is due to the presence of a wide range of biologically active metabolites, including sterols. It is known that lichens have a diverse and unique sterol composition, different from that of fungi and algae. Sterol-mediated biochemical mechanisms of stress resistance in lichens have not been fully studied and not systematized. Temperature stress is quite common for lichens, which often grow in unfavorable conditions. It is known that dry lichen thalli are able to withstand temperature changes over large ranges, while hydrated thalli are much more sensitive to unfavorable temperatures. In this work, stress-induced changes in respiratory activity and membrane stability index (MSI), as well as the sterol profile of hydrated lichen thalli, of Peltigera canina (L.) Willd. under the influence of elevated (+40°С) and low (–20°С) temperatures was investigated. It was shown that unfavorable temperatures caused a suppression of respiration rate and a decrease in the MSI of lichen thalli. Chromatomass spectrometric analysis showed the presence of P. canina ergosterol, dehydroergosterol, episterol, lichesterol, and fungisterol. Under the influence of both stress factors, there was a decrease in the level of ergosterol and an increase in the proportion of episterol. Under cold stress conditions, the proportion of dehydroergosterol also increased, the proportion of lichesterol decreased, and the relative content of the more saturated sterol fungisterol remained at the control level. It can be assumed that stress-induced changes in the sterol profile of lichens under low-temperature exposure create an optimal balance of sterols in membranes, which provides conditions for the deployment of a successful strategy leading to the adaptation of the lichen to the action of a stressor.
Keywords
About the authors
Yu. N. Valitova
Kazan Institute of Biochemistry and Biophysics, Kazan Scientific Center, Russian Academy of Sciences
Email: yulavalitova@mail.ru
Kazan, Russia
V. R. Khabibrakhmanova
Kazan Institute of Biochemistry and Biophysics, Kazan Scientific Center, Russian Academy of Sciences; Kazan National Research Technological University
Email: yulavalitova@mail.ru
Kazan, Russia; Kazan, Russia
V. M. Babaev
Arbuzov Institute of Organic and Physical Chemistry, Kazan Scientific Center, Russian Academy of Sciences
Email: yulavalitova@mail.ru
Kazan, Russia
V. L. Uvaeva
Kazan Institute of Biochemistry and Biophysics, Kazan Scientific Center, Russian Academy of Sciences
Email: yulavalitova@mail.ru
Kazan, Russia
A. F. Khairullina
Kazan Institute of Biochemistry and Biophysics, Kazan Scientific Center, Russian Academy of Sciences
Email: yulavalitova@mail.ru
Kazan, Russia
D. F. Rakhmatullina
Kazan Institute of Biochemistry and Biophysics, Kazan Scientific Center, Russian Academy of Sciences
Email: yulavalitova@mail.ru
Kazan, Russia
E. I. Galeeva
Kazan Institute of Biochemistry and Biophysics, Kazan Scientific Center, Russian Academy of Sciences
Email: yulavalitova@mail.ru
Kazan, Russia
M. A. Swid
Kazan Institute of Biochemistry and Biophysics, Kazan Scientific Center, Russian Academy of Sciences
Email: yulavalitova@mail.ru
Kazan, Russia
F. V. Minibayeva
Kazan Institute of Biochemistry and Biophysics, Kazan Scientific Center, Russian Academy of Sciences
Author for correspondence.
Email: yulavalitova@mail.ru
Kazan, Russia
References
- Дьяков Ю.Т. Ботаника. Курс альгологии и микологии. Москва: Изд-во МГУ, 2007. 559 с.
- Armstrong R.A. Adaptation of lichens to extreme conditions // Plant Adaptation Strategies Changing Environment / Eds Shukla V., Kumar S., Kumar N. Springer. 2017. P. 1. https://doi.org/10.1007/978-981-10-6744-0_1
- Stocker-Wörgötter E. Stress and developmental strategies of lichens // Symbioses and Stress. Cellular Origin, Life in Extreme Habitats and Astrobiology / Eds Seckbach J., Grube M. Springer, Dordrecht. 2010. V. 17. P. 525. https://doi.org/10.1007/978-90-481-9449-0_27
- Stanton D.E., Ormond A., Koch N.M., Colesie C. Lichen ecophysiology in a changing climate // Am. J. Bot. 2023. V. 110. E16131. https://doi.org/10.1002/ajb2.16131
- Chen K., Wei J.-C. Heat tolerance of the mycobionts and phycobionts from three desert lichens // Mycosystema. 2015. V. 34. P. 1007.
- Калугина Ю.В., Никитина И.И. Криобиология. Киев: Наукова думка, 1994. 432 с.
- Порядина Л.Н., Прокопьев И.А., Конорева Л.А., Чесноков С.В., Слепцов И.В., Филиппова Г.В., Шашурин М.М. Адаптационные биохимические механизмы, обеспечивающие устойчивость лишайников к экстремальным условиям среды обитания // Природные ресурсы Арктики и Субарктики. 2018. Т. 26. С. 109. https://doi.org/10.31242/2618-9712-2018-26-4-109-117
- Вайнштейн Е.А. Некоторые вопросы физиологии лишайников. I. Дыхание // Ботанический журнал. 1972. Т. 7. С. 832.
- Beckett R.P., Minibayeva F.V., Vylegzhanina N.N. Tolpysheva T. High rates of extracellular superoxide production by lichens in the suborder Peltigerineae correlate with indices of high metabolic activity // Plant, Cell Environ. 2003. V. 41. P. 1827.
- Семихатова О.А., Чулановская М.В. Манометрические методы изучения дыхания и фотосинтеза растений. Москва: Наука, 1965. 168 с.
- Sundberg B., Ekblad A., Näsholm T., Palmqvist K. Lichen respiration in relation to active time, temperature, nitrogen and ergosterol concentrations // Funct. Ecol. 2002. V. 13. P. 119. https://doi.org/10.1046/j.1365-2435.1999.00295.x
- Гришенкова Н.Н., Лукаткин А.С. Определение устойчивости растительных тканей к абиотическим стрессам с использованием кондуктометрического метода // Поволжский экологический журнал. 2005. № 1. С. 3.
- Bligh E.C., Dyer W.J. A rapid method of total lipid extraction and purification // Can J. Biochem. Physiol. 1959. V. 37. P. 911.
- ОФС 1.2.1.0010.15. Потеря в массе при высушивании. Государственная фармакопея Российской Федерации. XIII изд. Т. 1.
- Safe S., Safe L.M., Maass W.S.G. Sterols of three lichen species: Lobaria pulmonaria, Lobaria scrobiculata and Usnea longissima // Phytochemistry. 1975. V. 14. P. 1821.
- Solberg Y. Chemical constituents of the lichens Cetraria delisei, Lobaria pulmonaria, Stereocaulon tomentosum and Usnea hirtal // J. Hattori Bot. Lab. 1987. V. 63. P. 357.
- Горбач Н.В. Лишайники Белоруссии. Определитель. Минск: Наука и техника, 1973. 77 с.
- Sundberg B., Palmqvist K., Esseen P.-A., Renhorn K.-E. Growth and vitality of epiphytic lichens. II. Modelling of carbon gain using field and laboratory data // Oecologia. 1997. V. 13. P. 10.
- Ahmadjian V. The lichen symbiosis. Chichester: John Wiley & Sons. New York, 1993. 250 p.
- Nash T.H. Photosynthesis, respiration, productivity and growth. Lichen Biology. Cambridge: Cambridge University Press, 1996. 88 p.
- Smyth E.S. A Contribution to the physiology and ecology of Peltigera canina and P. polydactyla // Ann. Bot. 1934. V. 48. P. 781.
- Mulgrew A., Williams P. Biomonitoring of air quality using plants. Air Hygiene Report 10. London: Kings College, 2000. 171 p.
- Garty J., Tomer S., Levin T., Lehr H. Lichens as biomonitors around a coal-fired power station in Israel // Environ. Res. 2003. V. 91. P. 186. https://doi.org/10.1016/s0013-9351(02)00057-9
- Marques A.P., Maria C.F., Hubert T.W., Steinebach O.M., Verburg T., De Goeij J.J. Cell-membrane damage and element leaching in transplanted Parmelia sulcata lichen related to ambient SO2, temperature, and precipitation // Environ. Sci. Technol. 2005. V. 39. P. 2624. https://doi.org/10.1021/es0498888
- Гималов Ф.Р. Восприятие растениями холодового сигнала, или как устроен растительный “термометр” // Известия Уфимского научного центра РАН. 2018. С. 19. https://doi.org/10.31040/2222-8349-2018-0-2-19-24
- Los D.A., Mironov K.S., Allakhverdiev S.I. Regulatory role of membrane fluidity in gene expression and physiological functions // Photosynth. Res. 2013. V. 116. P. 489.
- Sangwan V., Orvar B.J., Beyerly J., Hirt H., Dhindsa R.S. Opposite changes in membrane fluidity mimic cold and heat stress activation of distinct plant MAP kinase pathways //The Plant Journal. 2002. V. 31. P. 629.
- Saidi Y., Peter M., Finka A., Cicekli C., Vigh L., Goloubinoff P. Membrane lipid composition affects plant heaty sebsing and modulates Ca+-dependent heat shock response // Plant Signaling behav. 2010. V. 5. P. 1530.
- Rawat N., Singla-Pareek S.L., Pareek A. Membrane dynamics during individual and combined abiotic stresses in plants and tools to study the same // Physiol. Plant. 2021. V. 171. P. 653. https://doi.org/10.1111/ppl.13217
- Renne M.F., IPM de Kroon A. The role of phospholipid molecular species in determining the physical properties of yeast membranes // FEBS Lett. 2018. V. 8. P. 1330.
- Suzuki I., Los D.A., Kanesaki Y., Mikami K., Murata N. The pathway for perception and transduction of low-temperature signals in Synechocystis // EMBO J. 2000. V. 19. P. 1327.
- Мысякина И.С., Фунтикова Н.С. Роль стеринов в морфогенетических процессах и диморфизме грибов // Микробиология. 2007. Т. 76. С. 5.
- Popov A.M. Comparative study of effects of various sterols and triterpenoids on permeability of model lipid membranes // J. Evol. Biochem. Physiol. 2003. V. 39. P. 314.
- Дембицкий В.М., Толстиков Г.А. Природные галогенированные органические соединения. Новосибирск: Изд-во СО РАН, Гео, 2003. 366 с.
- Berridge M.J., Irvine R.F. Inositol trisphosphate, a novel second messenger in cellular signal transduction // Nature. 1984. V. 312. P. 315.
- Xue H.-W., Chen X., Me Y. Function and regulation of phospholipid signaling in plants // Biochem. J. 2009. V. 421. P. 145.
- Su K., Bremer D.J., Jeannotte R. Membrane lipid composition and heat tolerance in cool-season turfgrasses, including a hybrid bluegrass // J. Amer. Soc. Hort. Sci. 2009. V. 134. P. 511.
- Ravchaudhuri S., Im Y.J., Hurley J.H., Prinz W.A. Nonvesicular sterol movement from plasma membrane to ER requires oxysterol-binding protein-related proteins and phosphoinositides // J. Cell Biol. 2006. V. 173. P. 107.
- Тарчевский И.А. Сигнальные системы клеток растений. М.: Наука, 2002. 294 с.
- Fabri J., de Sa N.P., Malavazi I., Del Poeta M. The dynamics and role of sphingolipids in eukaryotic organisms upon thermal adaptation // Prog Lipid Res. 2020. V. 80. P. e101063 https://doi.org/10.1016/j.plipres.2020.101063
Supplementary files







