Effect of Elevated CO2 and Temperature on Plants with Different Type of Photosynthesis: Quinoa (C3) and Amaranth (C4)
- Authors: Rakhmankulova Z.F.1, Shuyskaya E.V.1, Prokofieva M.Y.1, Saidova L.T.1, Voronin P.Y.1
-
Affiliations:
- Timiryazev Institute of Plant Physiology, Russian Academy of Sciences
- Issue: Vol 70, No 6 (2023)
- Pages: 588-600
- Section: ЭКСПЕРИМЕНТАЛЬНЫЕ СТАТЬИ
- URL: https://journals.rcsi.science/0015-3303/article/view/232768
- DOI: https://doi.org/10.31857/S0015330323600353
- EDN: https://elibrary.ru/ICAOVY
- ID: 232768
Cite item
Full Text
Abstract
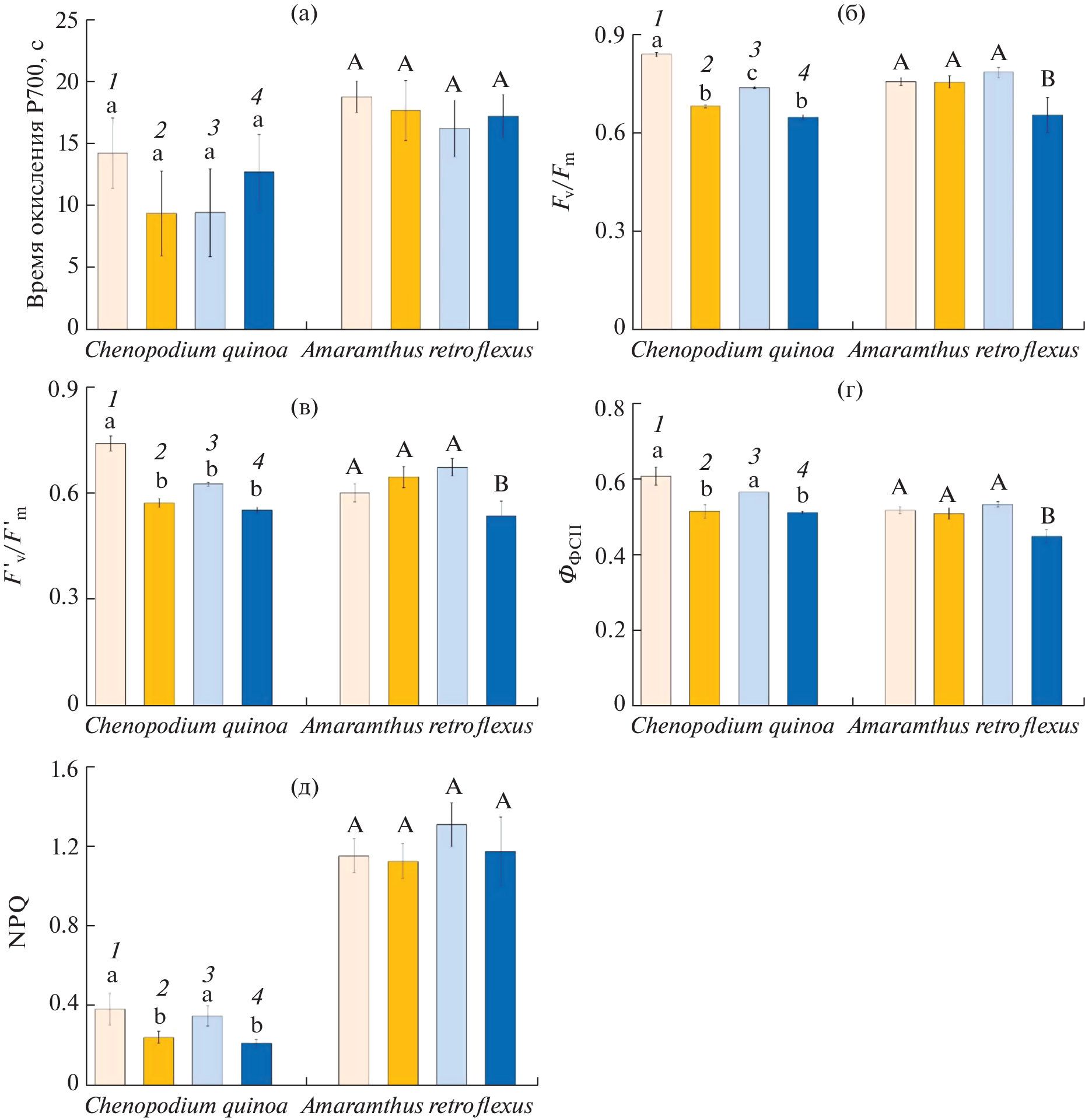
The thermal stability of plants with different types of photosynthesis Chenopodium quinoa Willd. (C3) and Amaranthus retroflexus L. (C4-NAD) to short-term elevated temperature (35°С, eT) at ambient (400 ppm, aCO2) and elevated (800 ppm, eCO2) CO2 concentration was investigated. Growth parameters, water, proline, and MDA content, CO2/H2О gas exchange parameters, the functioning of PS I and PS II, and the content of key photosynthetic (Rubisco, PEPC) and photorespiratory (GDC) enzymes were analyzed. Under control conditions, C4-type plants, compared with the C3-type, show higher values of dry biomass growth, intensity of visible photosynthesis, transpiration, and PS I activity and lower proline content. The photosynthetic and stomatal apparatus of both types was sensitive to eT, which manifested itself in a decrease in the intensity of apparent photosynthesis and transpiration. In addition, suppression of light reactions (PS II) and intensity of photorespiration (according to GDC) was observed in the C3-species and an increase in the content of proline in the C4-species. Under eCO2 conditions, the C3-species showed a decrease in the intensity of photorespiration, while oxidative stress (twofold increase in the content of MDA) was accompanied by reduced intensity of apparent photosynthesis, transpiration, and increased intensity of dark mitochondrial respiration in the C4-species. A softening effect of eCO2 on thermal stability data for C3- and C4-plants was not established. With the combined action of eCO2 and eT, both types exhibited oxidative stress, reduced efficiency of PS II and apparent photosynthesis, and activation of dark respiration. However, differences were also observed: oxidative stress was accompanied by a decrease in the increase in dry biomass and water content in tissues, as well as suppression of photorespiration, in the C3-species, while there was a decrease in the intensity of transpiration and an increase in the content of PEPC in the C4-species. Reduced WUE with combined action of eCO2 and eT in plants of the C4-species was less significant than the C3-species. The different response of quinoa plants (C3) and amaranth (C4) on the combined effect of climatic factors of elevated temperature and CO2 concentration is discussed.
About the authors
Z. F. Rakhmankulova
Timiryazev Institute of Plant Physiology, Russian Academy of Sciences
Email: zulfirar@mail.ru
Moscow, Russia
E. V. Shuyskaya
Timiryazev Institute of Plant Physiology, Russian Academy of Sciences
Email: zulfirar@mail.ru
Moscow, Russia
M. Yu. Prokofieva
Timiryazev Institute of Plant Physiology, Russian Academy of Sciences
Email: zulfirar@mail.ru
Moscow, Russia
L. T. Saidova
Timiryazev Institute of Plant Physiology, Russian Academy of Sciences
Email: zulfirar@mail.ru
Moscow, Russia
P. Yu. Voronin
Timiryazev Institute of Plant Physiology, Russian Academy of Sciences
Author for correspondence.
Email: zulfirar@mail.ru
Moscow, Russia
References
- Ain Q.T., Siddique K., Bawazeer S., Ali I., Mazhar M., Rasool R., Mubeen B., Ullah F., Unar A., Jafar T.H. Adaptive mechanisms in quinoa for coping in stressful environments: an update // PeerJ. 2023. V. 11: e14832. https://doi.org/10.7717/peerj.14832
- Shanker A.K., Gunnapaneni D., Bhanu D., Vanaja M., Lakshmi N.J., Yadav S.K., Prabhakar M., Singh V.K. E-levated CO2 and water stress in combination in plants: Brothers in arms or partners in crime? // Biology. 2022. V. 11. P. 1330. https://doi.org/10.3390/biology11091330
- Cao Q., Li G., Liu F. Elevated CO2 enhanced water use efficiency of wheat to progressive drought stress but not on maize // Front. Plant Sci. 2022. V. 13. P. 953712. https://doi.org/10.3389/fpls.2022.953712
- Dusenge M.E., Duarte A.G., Way D.A. Plant carbon metabolism and climate change: elevated CO2 and temperature impacts on photosynthesis, photorespiration and respiration // New Phytol. 2019. V. 221. P. 32. https://doi.org/10.1111/nph.15283
- Yadav S., Elansary H.O., Mattar M.A., Elhindi M.K., Alotaibi A.M., Mishra A. Differential accumulation of metabolites in Suaeda species provides new insights into abiotic stress tolerance in C4-halophytic species in elevated CO2 conditions // Agronomy. 2021. V. 11. P. 131. https://doi.org/10.3390/agronomy11010131
- Xu Z., Jiang Y., Zhou G. Response and adaptation of photosynthesis, respiration, and antioxidant systems to elevated CO2 with environmental stress in plants // Front. Plant Sci. 2015. V. 6. P. 701. https://doi.org/10.3389/fpls.2015.00701
- Reich P.B., Hobbie S.E., Lee T.D., Pastore M.A. Unexpected reversal of C3 versus C4 grass response to elevated CO2 during a 20-year field experiment // Science. 2018. V. 360. P. 317. https://doi.org/10.1126/science.aas9313
- Lara M.V., Andreo C.S. C4 plants adaptation to high levels of CO2 and to drought environments // Abiotic Stress in Plants-Mechanisms and Adaptations. Shanker, A., (Ed.). InTech: Hampshire, UK, 2011. P. 415. https://doi.org/10.5772/24936
- Zheng Y., Li F., Hao L., Yu J., Guo L., Zhou H., Ma C., Zhang X., Xu M. Elevated CO2 concentration induces photosynthetic down-regulation with changes in leaf structure, non-structural carbohydrates and nitrogen content of soybean // BMC Plant Biol. 2019. V. 19. P. 255. https://doi.org/10.1186/s12870-019-1788-9
- Jothiramshekar S., Benjamin J.J., Krishnasamy R., Pal A., George S., Swaminathan R., Parida A. Responses of selected C3 and C4 halophytes to elevated CO2 concentration under salinity // Curr. Sci. 2018. V. 115. P. 129. https://doi.org/10.18520/cs/v115/i1/129-135
- Faria A.P., Marabesi M.A., Gaspar M., França M.G. The increase of current atmospheric CO2 and temperature can benefit leaf gas exchanges, carbohydrate content and growth in C4 grass invaders of the Cerrado biome // Plant Physiol. Biochem. 2018. V. 127. P. 608. https://doi.org/10.1016/j.plaphy.2018.04.042
- Wang M., Xie B., Fu Y., Dong C., Hui L., Guanghui L., Liu H. Effects of different elevated CO2 concentrations on chlorophyll contents, gas exchange, water use efficiency, and PSII activity on C3 and C4 cereal crops in a closed artificial ecosystem // Photosynth. Res. 2015. V. 126. P. 351. https://doi.org/10.1007/s11120-015-0134-9
- Boretti A., Florentine S. Atmospheric CO2 concentration and other limiting factors in the growth of C3 and C4 plants // Plants. 2019. V. 8. P. 92. https://doi.org/10.3390/plants8040092
- Prasch C.M., Sonnewald U. Simultaneous application of heat, drought, and virus to Arabidopsis plants reveals significant shifts in signaling networks // Plant Physiol. 2013. V. 162. P. 1849. https://doi.org/10.1104/pp.113.221044
- Yamori W., Hikosaka K., Way D.A. Temperature response of photosynthesis in C3, C4, and CAM plants: temperature acclimation and temperature adaptation // Photosynth Res. 2014. V. 119. P. 101. https://doi.org/10.1007/s11120-013-9874-6
- Hinojosa L., González J.A., Barrios-Masias F.H., Fuentes F., Murphy K.M. Quinoa abiotic stress responses: A review // Plants. 2018. V. 7. P. 106. https://doi.org/10.3390/plants7040106
- Li G., Chen T., Feng B., Peng S., Tao L., Fu G. Respiration, rather than photosynthesis, determines rice yield loss under moderate high-temperature conditions // Front Plant Sci. 2021. V. 12. P. 678653. https://doi.org/10.3389/fpls.2021.678653
- Sage R.F., Kubien D.K. The temperature response of C3 and C4 photosynthesis // Plant, Cell Environ. 2007. V. 30. P. 1086. https://doi.org/10.1111/j.1365-3040.2007.01682.x
- Wang D., Heckathorn S.A., Barua D., Joshi P., Hamilton E.W., Lacroix J.J. Effects of elevated CO2 on the tolerance of photosynthesis to acute heat stress in C3, C4, and CAM species // Am. J. Bot. 2008. V. 95. P. 165. https://doi.org/10.3732/ajb.95.2.165
- Zinta G., AbdElgawad H., Domagalska M.A., Vergauwen L., Knapen D., Nijs I. Physiological, biochemical, and genome-wide transcriptional analysis reveals that elevated CO2 mitigates the impact of combined heat wave and drought stress in Arabidopsis thaliana at multiple organizational levels // Glob. Chang. Biol. 2014. V. 20. P. 3670. https://doi.org/10.1111/gcb.12626
- Zinta G., AbdElgawad H., Peshev D., Weedon J.T., Van den Ende W., Nijs I. Dynamics of metabolic responses to periods of combined heat and drought in Arabidopsis thaliana under ambient and elevated atmospheric CO2 // J. Exp. Bot. 2018. V. 69. P. 2159. https://doi.org/10.1093/jxb/ery055
- Zhou R., Yu X., Wen J., Jensen N.B., Dos Santos T.M., Wu Z., Rosenqvist E., Ottosen C.O. Interactive effects of elevated CO2 concentration and combined heat and drought stress on tomato photosynthesis // BMC Plant Biol. 2020. V. 20. P. 260. https://doi.org/10.1186/s12870-020-02457-6
- Arrivault S., Alexandre Moraes T., Obata T., Medeiros D.B., Fernie A.R., Boulouis A., Ludwig M., Lunn J.E., Borghi G.L., Schlereth A., Guenther M., Stitt M. Metabolite profiles reveal interspecific variation in operation of the Calvin-Benson cycle in both C4 and C3 plants // J. Exp. Bot. 2019. V. 70. P. 1843. https://doi.org/10.1093/jxb/erz051
- Yu J., Li R., Fan N., Yang Z., Huang B. Metabolic pathways involved in carbon dioxide enhanced heat tolerance in bermudagrass // Front. Plant Sci. 2017. V. 8. P. 1506. https://doi.org/10.3389/fpls.2017.01506
- Bordignon L., Faria A.P., França M.G.C., Fernandes G.W. Osmotic stress at membrane level and photosystem II activity in two C4 plants after growth in elevated CO2 and temperature // Ann. Appl. Biol. 2019. V. 174. P. 113. https://doi.org/10.1111/aab.12483
- Jeong H.M., Kim H.R., Hong S., You Y.H. Effects of elevated CO2 concentration and increased temperature on leaf quality responses of rare and endangered plants // J. Ecol. Environ. 2018. V. 42. https://doi.org/10.1186/s41610-017-0061-0
- Kirschbaum M.U.F., McMillan A.M.S. Warming and elevated CO2 have opposing influences on transpiration. Which is more important? // Curr. Forestry Rep. 2018. V. 4. P. 51. https://doi.org/10.1007/s40725-018-0073-8
- Wei Z., Abdelhakim L., Fang L., Peng X., Liu J., Liu F. Elevated CO2 effect on the response of stomatal control and water use efficiency in amaranth and maize plants to progressive drought stress // Agric. Water Manage. 2022. V. 266. https://doi.org/10.1016/j.agwat.2022.107609
- Schafleitner R., Lin Y.-P., Dinssa F., N’Danikou S., Finkers R., Minja R., Abukutsa-Onyango M., Nyonje W., Lin C.-Y., Wu T.-H., Sigalla J.P., van Zonneveld M., Hsiao Y.-Y., Kumar S., Wu W.-J., et al. The World Vegetable Center Amaranthus germplasm collection: Core collection development and evaluation of agronomic and nutritional traits // Crop Sci. 2022. V. 62. P. 1173. https://doi.org/10.1002/csc2.20715
- Bates L.S., Waldren R.P., Teare I.D. Rapid determination of free proline for water stress studies // Plant Soil. 1973. V. 39. P. 205. https://doi.org/10.1007/BF00018060
- Heath R.L., Packer L. Photoperoxidation in isolated chloroplasts // Arch. Biochem. Biophys. 1968, V. 125. P. 180. https://doi.org/10.1016/0003-9861(68)90654-1
- Shuyskaya E., Rakhmankulova Z., Prokofieva M., Saidova L., Toderich K., Voronin P. Intensity and duration of salinity required to form adaptive response in C4 halophyte Kochia prostrata (L.) Shrad. // Front. Plant Sci. 2022. V. 13. https://doi.org/10.3389/fpls.2022.955880
- Nakamura N., Iwano M., Havaux M., Yokota A., Munekage Y.N. Promotion of cyclic electron transport around photosystem I during the evolution of NADP-malic enzyme-type C4 photosynthesis in the genus Flaveria // New Phytol. 2013. V. 199. P. 832. https://doi.org/10.1111/nph.12296
- Yadav S., Mishra A. Ectopic expression of C4 photosynthetic pathway genes improves carbon assimilation and alleviate stress tolerance for future climate change // Physiol. Mol. Biol. Plants. 2020. V. 26. P. 195. https://doi.org/10.1007/s12298-019-00751-8
- Crafts-Brandner S.J., Salvucci M.E. Sensitivity of photosynthesis in a C4 plant, maize, to heat stress // Plant Physiol. 2002. V. 129. P. 1773. https://doi.org/10.1104/pp.002170
- Heckathorn S.A., Ryan S.L., Baylis J.A., Wang J.A., Hamilton E.W., Cundiff L. In vivo evidence from an Agrostis stolonifera selection genotype that chloroplast small heat-shock proteins can protect photosystem II during heat stress // Funct. Plant Biol. 2002. V. 29. P. 933. https://doi.org/10.1071/PP01191
- Singh S.K., Reddy V.R. Methods of mesophyll conductance estimation: its impact on key biochemical parameters and photosynthetic limitations in phosphorus stressed soybean across CO2 // Physiol. Plant. 2016. V. 157. P. 234. https://doi.org/10.1111/ppl.12415
- Souza A.P., Gaspar M., Silva E.A., Ulian E.C., Waclawovsky A.J., Nishiyama M.Y. Jr., Santos R.V. Teixeira M.M., Souza G.M., Buckeridge M.S. Elevated CO2 increases photosynthesis, biomass and productivity, and modifies gene expression in sugarcane // Plant Cell Environ. 2008. V. 31. P. 1116. https://doi.org/10.1111/j.1365-3040.2008.01822.x
- Huang Y., Fang R., Li Y., Liu X., Wang G., Yin K., Jin J., Herbert S.J. Warming and elevated CO2 alter the transcriptomic response of maize (Zea mays L.) at the silking stage // Sci. Rep. 2019. V. 9. P. 17948. https://doi.org/10.1038/s41598-019-54325-5
Supplementary files







