Structural evolution and hardening of vanadium upon shear under pressure
- Authors: Gapontseva T.M.1, Chashchukhina T.I.1, Voronova L.M.1, Degtyarev M.V.1, Pilyugin V.P.1, Karamyshev K.Y.1
-
Affiliations:
- Mikheev Institute of Metal Physics, Ural Branch, Russian Academy of Sciences
- Issue: Vol 126, No 1 (2025)
- Pages: 87-97
- Section: СТРУКТУРА, ФАЗОВЫЕ ПРЕВРАЩЕНИЯ И ДИФФУЗИЯ
- URL: https://journals.rcsi.science/0015-3230/article/view/288566
- DOI: https://doi.org/10.31857/0015323025010093
- EDN: https://elibrary.ru/BZPEYF
- ID: 288566
Cite item
Abstract
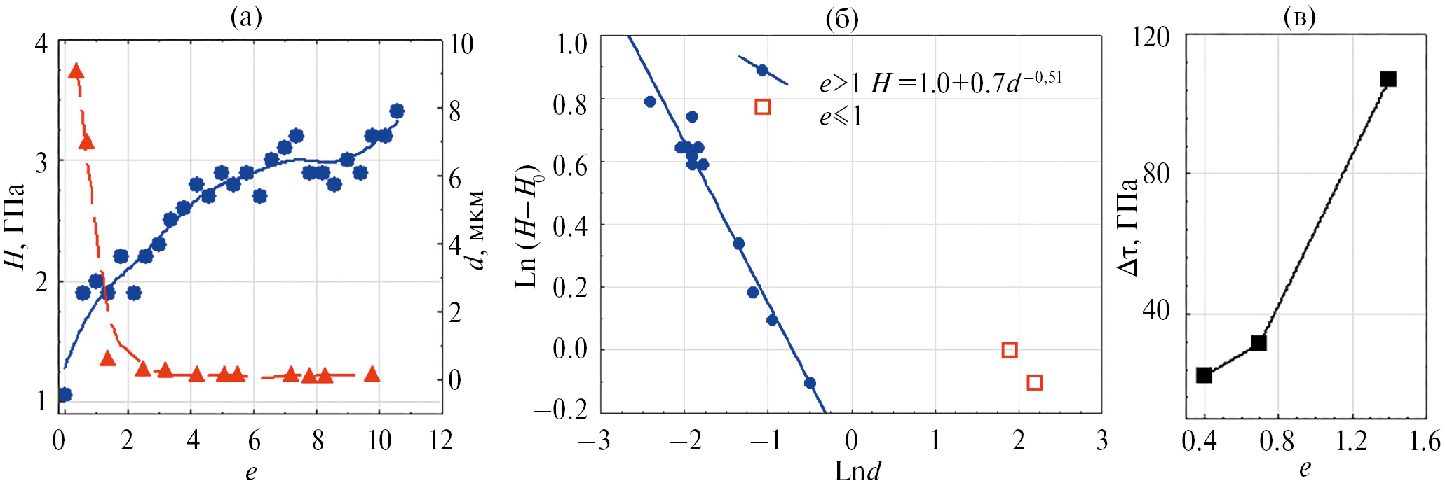
The structural evolution and hardness of vanadium under high pressure torsion at room temperature is investigated. Strain localization has been observed at true strains less than 1 (e < 1), leading to the formation of a banded structure. The study shows that strain localization delays the transition to the SMC structure during subsequent deformation. The mechanisms underlying the formation of deformation bands in vanadium are discussed. Dislocations are found to play a dominant role in the hardening of vanadium during the initial deformation stages (e < 1), while high-angle grain boundaries of deformation origin emerged as the main contributors at higher strains. In addition, the parameters of the Hall–Petch-type equation are determined.
Full Text
About the authors
T. M. Gapontseva
Mikheev Institute of Metal Physics, Ural Branch, Russian Academy of Sciences
Email: highpress@imp.uran.ru
Russian Federation, Ekaterinburg, 620108
T. I. Chashchukhina
Mikheev Institute of Metal Physics, Ural Branch, Russian Academy of Sciences
Email: highpress@imp.uran.ru
Russian Federation, Ekaterinburg, 620108
L. M. Voronova
Mikheev Institute of Metal Physics, Ural Branch, Russian Academy of Sciences
Author for correspondence.
Email: highpress@imp.uran.ru
Russian Federation, Ekaterinburg, 620108
M. V. Degtyarev
Mikheev Institute of Metal Physics, Ural Branch, Russian Academy of Sciences
Email: highpress@imp.uran.ru
Russian Federation, Ekaterinburg, 620108
V. P. Pilyugin
Mikheev Institute of Metal Physics, Ural Branch, Russian Academy of Sciences
Email: highpress@imp.uran.ru
Russian Federation, Ekaterinburg, 620108
K. Yu. Karamyshev
Mikheev Institute of Metal Physics, Ural Branch, Russian Academy of Sciences
Email: highpress@imp.uran.ru
Russian Federation, Ekaterinburg, 620108
References
- Трефилов В.И., Мильман Ю.В., Фирстов С.А. Физические основы прочности тугоплавких металлов. Киев: Наукова думка, 1975. 316 с.
- Weinberger C.R., Boyce B.L., Battaile C.C. Slip planes in bcc transition metals //International Mater. Rev. 2013. V. 58. № 5. Р. 296314.
- Swinburne T.D., Dudarev S.L., Fitzgerald S.P., Gilbert M.R., Sutton A.P. Theory and simulation of the diffusion of kinks on dislocations in bcc metals // Phys. Rev. B. 2013. V. 87. Р. 064108.
- Yang Cao, Song Ni, Xiaozhou Liao, Min Song, Yuntian Zhu. Structural evolutions of metallic materials processed by severe plastic deformation // Mater. Sci. Eng. R. 2018. V. 133. P. 1–59.
- Kraych A., Clouet E., Dezerald L., Ventelon L., Willaime F., Rodney D. Non-glide effects and dislocation core fields in BCC metals // Comp. Mater. 2019. V. 5. P. 109.
- Bienvenu B., Dezerald L., Rodney D., Clouet E. Ab initio informed yield criterion across body-centered cubic transition metals // Acta Mater. 2022. V. 236. P. 118098.
- Firstov S.A. Deformation Substructure and Mechanical Properties of BCC-Polycrystals / In: Conference of Nanomaterials by severe plastic deformation: Fundamentals Processing Application (NanoSPD2) / Eds. M.J. Zehetbauer, R.Z. Valiev. Proc. 2nd. Vienna, Austria, 2002. P. 72–79.
- Tang M., Kubin L.P., and Canova G.R. Dislocation mobility and the mechanical response of b.c.c. single crystals: a mesoscopic approach // Acta Mater. 1998. V. 46. № 9. P. 3221–3235.
- Starink M.J., Cheng X., Yang S. Hardening of pure metals by highpressure torsion: A physically based model employing volume-averaged defect evolutions // Acta Mater. 2013. V. 61. № 1. Р. 183–192.
- Kim J.-Y., Jang D., Greer J.R. Tensile and compressive behavior of tungsten, molybdenum, tantalum and niobium at the nanoscale // Acta Mater. 2010. V. 58. P. 2355.
- Shpeǐzman V.V., Nikolaev V.I., Smirnov B.I., Lebedev A.B., Kopylov V.I. Low-temperature deformation of nanocrystalline niobium // Phys. Solid State. 2000. V. 42. № 6. P. 1066.
- Han S.M., Feng G., Jung J.Y., Jung H.J., Groves J.R., Nix W.D., Cui Y. Critical-temperature/Peierls-stress dependent size effects in body centered cubic nanopillars // Appl. Phys. Lett. 2013. V. 102. P. 041910.
- Seung Min Han, Tara Bozorg-Grayeli, Groves J.R., and William D. Nix Size effects on strength and plasticity of vanadium nanopillars // Scripta Mater. 2010. V. 63. P. 1153–1156.
- Yilmaz H., Williams C.J., Risan J., Derby B. The size dependent strength of Fe, Nb and V micropillars at room and low temperature // Materialia. 2019. V. 7. P. 100424.
- Попова Е.Н., Попов В.В., Романов Е.П., Пилюгин В.П. Влияние степени деформации на структуру и термическую стабильность нанокристаллического ниобия, полученного сдвигом под давлением // ФММ. 2007. Т. 103. № 4. С. 426–432.
- Popov V.V., Popova E.N., Stolbovsky A.V., Pilyugin V.P. The Structure of Nb obtained by severe plastic deformation and its thermal stability // Mater. Sci. Forum. 2011. V. 409. P. 667–669.
- Popov V.V., Popova E.N., Stolbovskiy A.V. Nanostructuring Nb by various techniques of severe plastic deformation // Mater. Sci. Eng. A. 2012. V. 539. P. 22–29.
- Гапонцева Т.М., Дегтярев М.В., Пилюгин В.П., Чащухина Т.И., Воронова Л.М., Пацелов А.М. Влияние температуры деформации в наковальнях Бриджмена и исходной ориентировки на эволюцию структуры монокристаллического ниобия // ФММ. 2016. Т. 117. № 4. С. 349–361.
- Vorhauer A., Pippan R. On the Onset of a Steady State in Body-Centered Cubic Iron during Severe Plastic Deformation at Low Homologous Temperatures // Metall. and Mater. Trans. A. 2008. V. 39. P. 417–429.
- Дегтярев М.В., Воронова Л.М., Чащухина Т.И., Выходец Б.В., Давыдова Л.С., Куренных Т.Е., Пацелов А.М., Пилюгин В.П. Образование и эволюция субмикрокристаллической структуры в чистом железе при сдвиге под давлением // ФММ. 2003. Т. 96. № 6. С. 100–108.
- Voronova L.M., Chashchukhina T.I., Gapontseva T.M., Patselov A.M., Pilyugin V.P., Degtyarev M.V. Effect of single-crystal orientation on the molybdenum structure and hardness upon high pressure torsion // Intern. J. Refract. Met. Hard Mater. 2022. V. 103. P. 105754.
- Смирнова Н.А., Левит В.И., Пилюгин В.П., Кузнецов Р.И., Давыдова Л.С., Сазонова В.А. Эволюция структуры ГЦК монокристаллов при больших пластических деформациях // ФММ. 1986. Т. 61. № 6. С. 1170–1177.
- Владимиров В.И., Романов А.Е. Дисклинации в кристаллах. Л.: Наука, 1986. 224 с.
- Носкова Н.И. Дефекты и деформация монокристаллов. Екатеринбург: УрО РАН, 1995. 183 с.
- Gröger R., Chlup Z., Kuběnová T. Deformation twinning in vanadium single crystals tested in compression at 77 K // Mater. Sci. & Eng. A. 2018. V. 737. № 8. P. 413–421.
- Hohenwarter A., Wurster S. Deformation and fracture characteristics of ultrafine-grained vanadium // Mater. Sci. & Eng. A. 2016. V. 650. P. 492–496.
- Lee S., Edalati K., and Horita Z. Microstructures and Mechanical Properties of Pure V and Mo Processed by High-Pressure Torsion // Mater. Trans. 2010. V. 51. No. 6. P. 1072–1079.
- Huang Y., Lemang M., Zhang N.X., Pereira P.H.R., Langdon T.G. Achieving superior grain refinement and mechanical properties in vanadium through high-pressure torsion and subsequent short-term annealing // Mater. Sci. & Eng. A. 2016. V. 655. P. 60–69.
- Zhilyaev A.P. and Langdon T.G. Using high-pressure torsion for metal processing: Fundamentals and applications // Prog. Mater. Sci. 2008. V. 53. P. 893–979.
- Pereira P.H.R. and Figueiredo R.B. Finite Element Modelling of High-Pressure Torsion: An Overview // Mater. Trans. 2019. V. 60. № 7. Р. 1139–1150.
- Рыбин В.В. Большие пластические деформации и разрушение металлов. М: Металлургия, 1986. 224 с.
- Di Wan, Afrooz Barnoush. Plasticity in cryogenic brittle fracture of ferritic steels: Dislocation versus twinning // Mater. Sci. & Eng. A. 2019. V. 744. P. 335–339.
- Humphreys F.J. Review grain and subgrain characterization by electron backscatter diffraction // J. Mater. Sci. 2001. V. 36. P. 3833–3854.
- Calcagnotto M., Ponge D., Demir E., Raabe D. Orientation gradients and geometrically necessary dislocations in ultrafine grained dual-phase steels studied by 2D and 3D EBSD //Mater. Sci. & Eng. A. 2010. V. 527. P. 2738–2746.
- Galindo-Nava E.I., Rivera-Dı´az-del-Castillo P.E.J. Modelling plastic deformation in BCC metals: Dynamic recovery and cell formation effects // Mater. Sci. & Eng. A. 2012. V. 558. P. 641–648.
- Talantsev E.F., Degtyarev M.V., Chashchukhina T.I., Voronova L.M., and Pilyugin V.P. Piecewise Model with Two Overlapped Stages for Structure Formation and Hardening upon High-Pressure Torsion // Metal. Mater. Trans. A. 2021. V. 52. P. 4510–4517.
- Дегтярев М.В., Воронова Л.М., Чащухина Т.И. Особенности формирования и рекристаллизации субмикрокристаллической структуры закаленной стали 20Г2Р. Ч.1. Эволюция структуры при деформации сдвигом под давлением // ФММ. 2005. Т. 99. № 4. С. 75–82.
- Чащухина Т.И., Дегтярев М.В., Воронова Л.М. Формирование ультрадисперсной структуры в аустенитной стали, устойчивой к фазовому превращению под давлением // Изв. РАН. Сер. физическая. 2007. Т. 71. № 2. С. 287–289.
- Edalati K., Daio T., Arita M., Lee S., Horita Z., Togo A., Tanaka I. High-pressure torsion of titanium at cryogenic and room temperatures: Grain size effect on allotropic phase transformations // Acta Mater. 2014. V. 68. P. 207–213.
- Егорова Л.Ю., Хлебникова Ю.В., Пилюгин В.П., Реснина Н.Н. Калориметрия и особенности обратного ω→α фазового превращения в псевдомонокристаллах Zr и Ti // ФММ. 2022. Т. 123. № 5. С. 515–521.
- Пилюгин В.П., Воронова Л.М., Дегтярев М.В., Чащухина Т.И., Выходец В.Б., Куренных Т.Е. Эволюция структуры чистого железа при низкотемпературной деформации под высоким давлением // ФММ. 2010. Т. 110. № 6. С. 590–599.
- Пилюгин В.П., Гапонцева Т.М., Чащухина Т.И., Воронова Л.М., Щинова Л.И., Дегтярев М.В. Эволюция структуры и твердости никеля при холодной и низкотемпературной деформации под давлением // ФММ. 2008. Т. 105. Вып. 4. С. 438–448.
- Marulanda Cardona D.M., Wongsa-Ngam J., Jimenez H., Langdon T.G. Effects on hardness and microstructure of AISI 1020 low-carbon steel processed by high-pressure torsion // J. Mater. Res. Technol. 2017. V. 6. № 4. Р. 355.
- Dangwal S., Edalati K., Valiev R.Z. and Langdon T.G. Breaks in the Hall–Petch Relationship after Severe Plastic Deformation of Magnesium, Aluminum, Copper, and Iron // Crystals. 2023. V. 13. P. 413.
- Wu X.L., Zhu Y.T., Wei Y.G., Wei Q. Strong Strain Hardening in Nanocrystalline Nickel // Phys. Rev. Lett. 2009. V. 103. P. 205504.
- Yilmaz H., Williams C.J., Risan J., Derby B. The size dependent strength of Fe, Nb and V micropillars at room and low temperature // Materialia. 2019. V. 7. P. 100424.
- Zhuang Z., Liu Z., Cui Y. Strain Gradient Plasticity Theory at the Microscale / in Dislocation Mechanism-Based Crystal Plasticity. Theory and Computation at the Micron and Submicron Scale. 2019. P. 57–90.
- Tirsatine K., Baudin T., Mathon M.-H., Helbert A.-L., Brisset F., Bradai D. On the stored energy evolution after accumulative roll-bonding of invar alloy // Mater. Chem. Phys. 2017. V. 201. № 1. P. 408.
- Ashby M.F. The deformation of plastically non-homogeneous materials // Philos. Mag. A J. Theor. Exp. Appl. Phys. 1970. V. 21 (170). P. 399.
- Дегтярев М.В., Чащухина Т.И., Воронова Л.М. Зависимость твердости от параметров ультрадисперсной структуры железа и конструкционных сталей // ФММ. 2004. Т. 98. № 5. С. 98–110.
Supplementary files











