Effect of Vanadium Concentration on the Structure and Properties of Ti–V Alloys Subjected to High-Pressure Torsion
- Authors: Davdian G.S.1,2, Gornakova A.S.1, Straumal B.B.1,2, Orlov V.I.1, Afonikova N.S.1, Tyurin A.I.3, Druzhinin A.V.1, Kilmametov A.4, Sommadossi S.5
-
Affiliations:
- Osipyan Institute of Solid State Physics RAS (ISSP RAS)
- National Research Technological University MISiS
- Research Institute of Nanotechnology and Nanomaterials, Derzhavin Tambov State University
- Laboratory of Technological and Materials Research
- Institute of Research in Engineering Sciences and Technology, National University of Comahue, National Council for Scientific and Technological Research
- Issue: Vol 125, No 11 (2024)
- Pages: 1438-1451
- Section: ПРОЧНОСТЬ И ПЛАСТИЧНОСТЬ
- URL: https://journals.rcsi.science/0015-3230/article/view/284474
- DOI: https://doi.org/10.31857/S0015323024110132
- EDN: https://elibrary.ru/ILWBNI
- ID: 284474
Cite item
Abstract
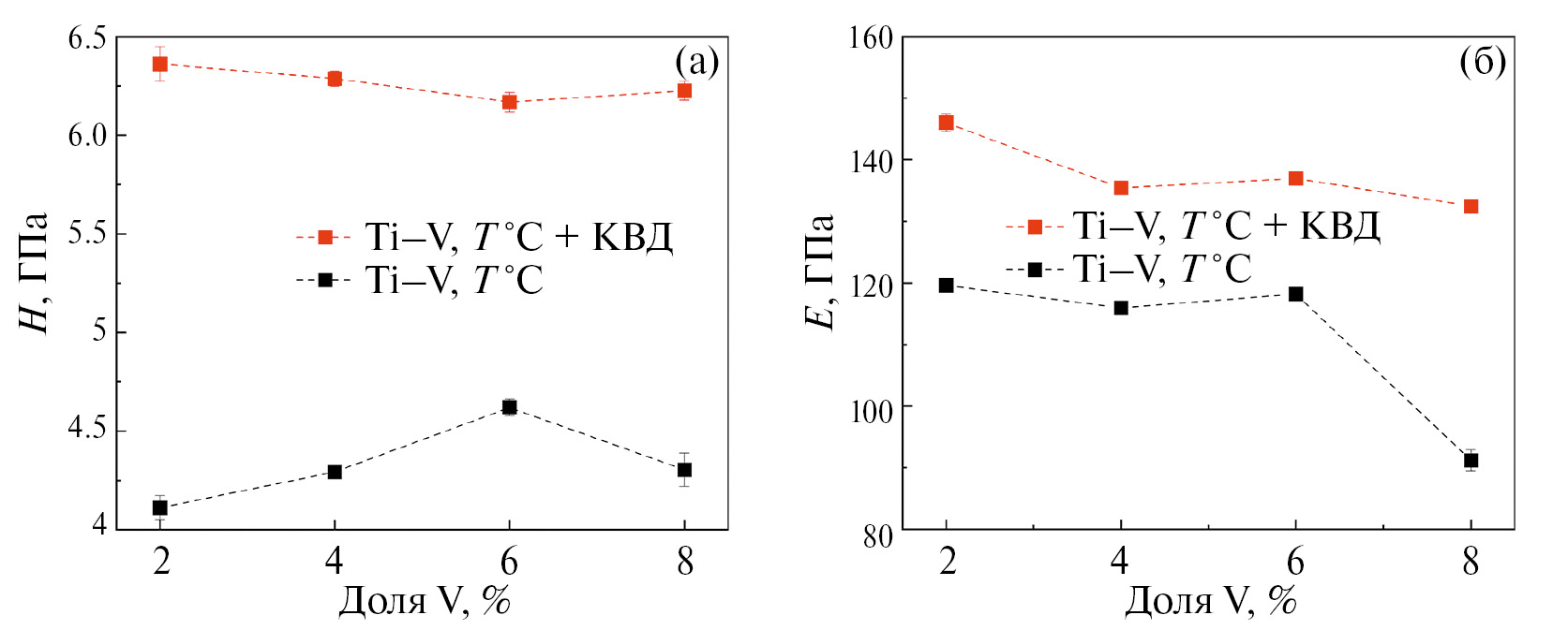
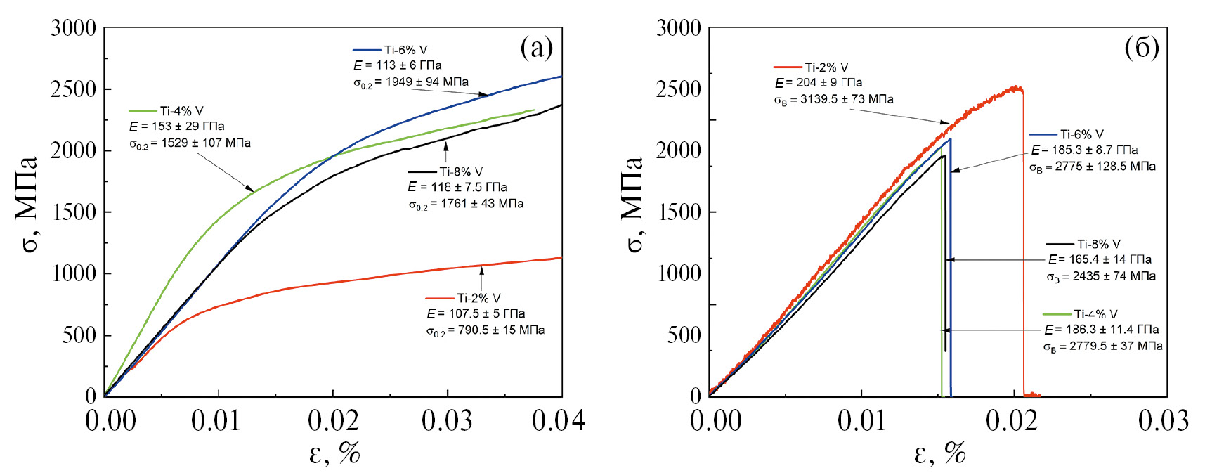
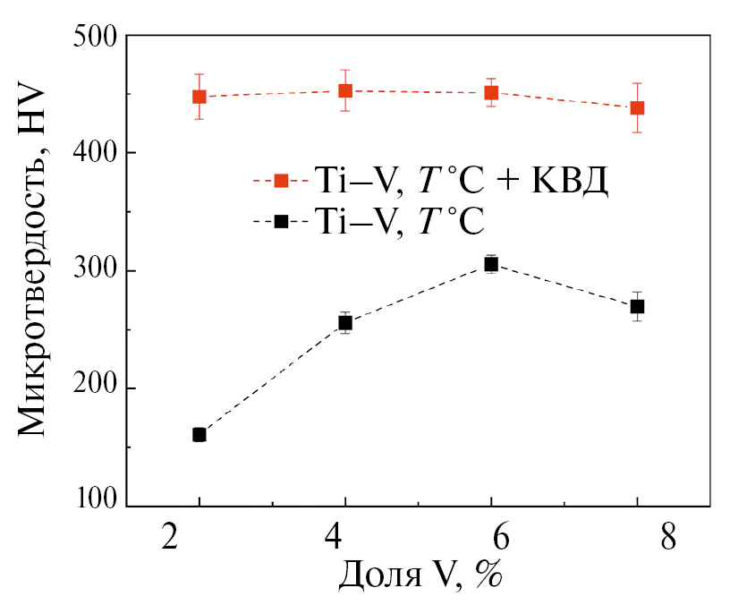
The effect of preliminary annealing at 1000°C and subsequent high-pressure torsion (HPT) on the phase composition and mechanical properties of titanium alloys with 2, 4, 6, and 8 wt % V is studied. The increase in the V concentration in the initial alloy leads to an increase in the volume fraction of the β-Ti phase and a decrease in the volume fraction of the ω-Ti phase after HPT. The nanohardness Н and Young’s modulus Е were measured by nanoindentation. After HPT, the values of Н and Е are higher than those observed after preliminary annealing by 44 and 20%, respectively. The nanohardness and Young’s modulus of the studied alloy subjected to HPT are independent on the fraction of second constituent and are Н = 6.2 ± 0.2 GPa and Е = 138 ± 3 GPa, respectively. However, the hardness of the alloys subjected to HPT, which was measured by microindentation, also is independent of the fraction of the second constituent. At the same time, the ultimate strength and Young’s modulus measured by three-point bending technique have significant differences and, as the V concentration increases, decrease from 3.1 to 2.4 GPa and from 204 to 165 GPa, respectively. The decrease correlates with changing the volume fractions of the ω-Ti and β-Ti phases. The correlation between the vanadium content, phase composition, and ultimate strength of alloys subjected to HPT is found experimentally.
Full Text
About the authors
G. S. Davdian
Osipyan Institute of Solid State Physics RAS (ISSP RAS); National Research Technological University MISiS
Author for correspondence.
Email: faberest@yandex.ru
Russian Federation, Chernogolovka, Moscow Region, 142432; Moscow, 119049
A. S. Gornakova
Osipyan Institute of Solid State Physics RAS (ISSP RAS)
Email: faberest@yandex.ru
Russian Federation, Chernogolovka, Moscow Region, 142432
B. B. Straumal
Osipyan Institute of Solid State Physics RAS (ISSP RAS); National Research Technological University MISiS
Email: faberest@yandex.ru
Russian Federation, Chernogolovka, Moscow Region, 142432; Moscow, 119049
V. I. Orlov
Osipyan Institute of Solid State Physics RAS (ISSP RAS)
Email: faberest@yandex.ru
Russian Federation, Chernogolovka, Moscow Region, 142432
N. S. Afonikova
Osipyan Institute of Solid State Physics RAS (ISSP RAS)
Email: faberest@yandex.ru
Russian Federation, Chernogolovka, Moscow Region, 142432
A. I. Tyurin
Research Institute of Nanotechnology and Nanomaterials, Derzhavin Tambov State University
Email: faberest@yandex.ru
Russian Federation, Tambov, 392000
A. V. Druzhinin
Osipyan Institute of Solid State Physics RAS (ISSP RAS)
Email: faberest@yandex.ru
Russian Federation, Chernogolovka, Moscow Region, 142432
A. Kilmametov
Laboratory of Technological and Materials Research
Email: faberest@yandex.ru
France, Villetanez, 93430
S. Sommadossi
Institute of Research in Engineering Sciences and Technology, National University of Comahue, National Council for Scientific and Technological Research
Email: faberest@yandex.ru
Argentina, Buenos Aires 1400 (Q8300IBX), Neuquén — Patagonia, 1400
References
- Страумал Б.Б., Заворотнев Ю.Д., Давдян Г.С. Кручение под высоким давлением и фазовые превращения в металлических сплавах // Физика и техника высоких давлений. 2022. Т. 32. № 4.
- Cao Y., Ni S., Liao X., Song M., Zhu Y. Structural evolutions of metallic materials processed by severe plastic deformation // Mater. Sci. Eng.: R: Reports. 2018. V. 133. P. 1–59.
- Valiev R.Z., Islamgaliev R.K., Alexandrov I.V. Bulk nanostructured materials from severe plastic deformation // Progress Mater. Sci. 2000. V. 45. № 2. P. 103–189.
- Langdon T.G. Twenty-five years of ultrafine-grained materials: Achieving exceptional properties through grain refinement // Acta Mater. 2013. V. 61. № 19. P. 7035–7059.
- Vinogradov A., Estrin Y. Analytical and numerical approaches to modelling severe plastic deformation. // Progress in Mater. Sci. 2018. V. 95. P. 172–242.
- Edalati K., Horita Z. A review on high-pressure torsion (HPT) from 1935 to 1988 // Mater. Sci. Engineering: A. 2016. V. 652. P. 325–352.
- Rogachev S.O., Sundeev R.V., Nikulin S.A. Effect of severe plastic deformation by high-pressure torsion at different temperatures and subsequent annealing on structural and phase transformations in Zr-2.5% Nb alloy // J. Alloys Compounds. 2021. V. 865. P. 158874.
- Zhilyaev A.P., Langdon T.G. Using high-pressure torsion for metal processing: Fundamentals and applications // Progress in Mater. Sci. 2008. V. 53. № 6. P. 893–979.
- Shirooyeh M., Xu J., Langdon T.G. Microhardness evolution and mechanical characteristics of commercial purity titanium processed by high-pressure torsion // Mater. Sci. Eng.: A. 2014. V. 614. P. 223–231.
- Straumal B.B., Kilmametov A.R., Ivanisenko Y., Mazilkin A.A., Valiev R.Z., Afonikova N.S., Gornakova A.S., Hahn H. Diffusive and displacive phase transitions in Ti–Fe and Ti–Co alloys under high pressure torsion // J. Alloys Compounds. 2018. V. 735. P. 2281–2286.
- Cvijović-Alagić I., Rakin M., Laketić S., Zagorac D. Microstructural study of Ti45Nb alloy before and after HPT processing using experimental and ab initio data mining approach // Mater. Characteriz. 2020. V. 169. P. 110635.
- Korneva A., Straumal B., Kilmametov A., Kopacz S., Szczerba M., Cios G., Lityńska-Dobrzyńska L., Chulist R. Phase transitions and mechanical behavior of Ti-3wt.% Nb alloy after high pressure torsion and low-temperature annealing // Mater. Sci. Eng.: A. 2022. V. 857. P. 144096.
- Kilmametov A., Ivanisenko Y., Straumal B., Mazilkin A.A., Gornakova A.S., Kriegel M.J., Fabrichnaya O.B., Rafaja D. Hahn H. Transformations of α'martensite in Ti–Fe alloys under high pressure torsion // Scripta Mater. 2017. V. 136. P. 46–49.
- Jiang B., Men D., Emura S., Tsuchiya K. Microstructural response and mechanical properties of α-precipitated Ti-5Al-5Mo-5V-3Cr alloy processed by high-pressure torsion // J. Mater. Research Techn. 2023. V. 23. P. 564–576.
- Kerber M., Waitz T., Matsuda M. Structural changes of TiPt high-temperature shape memory alloys induced by high pressure torsion // J. Alloys Compounds. 2023. V. 935. P. 168037.
- Sun K., Sun B., Yi X., Yaqian Y., Meng X., Gao Z., Cai W. The microstructure and martensitic transformation of Ti-13V-3Al light weight shape memory alloy deformed by high-pressure torsion // J. Alloys Compounds. 2022. V. 895. P. 162612.
- Roy S., Sharma A., Chaudhuri A., Huang Y., Langdon T.G., Suwas S. Microstructure evolution and mechanical response of a boron-modified Ti-6Al-4V alloy during high-pressure torsion processing // Mater. Sci. Eng.: A. 2022. V. 86. P. 144124.
- Gornakova A.S., Straumal B.B., Mazilkin A.A., Afonikova N.S., Karpov M.I., Novikova E.A., Tyurin A.I. Phase composition, nanohardness and young’s modulus in Ti–Fe alloys after heat treatment and high pressure torsion // Metals. 2021. V. 11. № 10. P. 1657.
- Shen J., Nagasaka T., Tokitani M., Muroga T., Kasada R., Sakurai S. Effects of titanium concentration on microstructure and mechanical properties of high-purity vanadium alloys // Mater. Design. 2022. V. 224. P. 111390.
- Deng G., Bhattacharjee T., Chong Y., Zheng R., Bai Y., Shibata A., Tsuji N. Influence of Fe addition in CP titanium on phase transformation, microstructure and mechanical properties during high pressure torsion // J. Alloys Compounds. 2020. V. 822. P. 153604.
- Sinha S., Sahu V.K., Beura V., Sonkusare R., Kalsar R., Das A.K., Basu J., Gurao N.P., Biswas K. Initial texture dependence of nanocrystalline omega phase formation during high pressure torsion of commercially pure titanium // Mater. Sci. Eng.: A. 2021. V. 802. P. 140687.
- Barjaktarević D., Bajat J., Cvijović-Alagić I., Dimić I., Hohenwarter A., Đokić V., Rakin M. The corrosion resistance in artificial saliva of titanium and Ti-13Nb-13Zr alloy processed by high pressure torsion // Procedia Struct. Integrity. 2018. V. 13. P. 1834–1839.
- Korneva A., Straumal B., Kilmametov A., Gondek Ł., Wierzbicka-Miernik A., Lityńska-Dobrzyńska L., Cios G., Chulist R., Zięba P. Thermal stability and microhardness of metastable ω-phase in the Ti-3.3 at.% Co alloy subjected to high pressure torsion // J. Alloys Compounds. 2020. V. 834. P. 155132.
- Gunderov D., Prokoshkin S., Churakova A., Sheremetyev V., Ramazanov I. Effect of HPT and accumulative HPT on structure formation and microhardness of the novel Ti18Zr15Nb alloy // Mater. Letters. 2021. V. 283. P. 128819.
- Wang Y.C., Langdon T.G. Effect of heat treatment on microstructure and microhardness evolution in a Ti-6Al-4V alloy processed by high-pressure torsion // J. Mater. Sci. 2013. V. 48. P. 4646–4652.
- Носова Г.И. Фазовые превращения в сплавах титана. М.: Металлургия, 1968. С. 1–181.
- Цвиккер У. Титан и его сплавы. 1979.
- Murray J.L. The Ti– V (titanium-vanadium) system // Bulletin of Alloy Phase Diagrams. 1981. V. 2. № 1. P. 48–55.
- Ильин А.А., Колачев Б.А., Полькин И.С. Титановые сплавы. 2009.
- Hu B., Sridar S., Hao L, Xiong W. A new thermodynamic modeling of the Ti–V system including the metastable ω phase // Intermetallics. 2020. V. 122. P. 106791.
- Davdian G.S., Gornakova A.S., Straumal B.B., Korneva A., Afonikova N.S., Novikova E.A., Tyurin A.I. Effect of pre-annealing on the formation of the ω-phase in the Ti-2 wt% V alloy after high-pressure torsion // J. Mater. Sci. 2024. P. 1–16.
- Ho W.F., Ju C.P., Lin J.C. Structure and properties of cast binary Ti–Mo alloys // Biomaterials. 1999. V. 20. № 22. P. 2115–2122.
- Abdalla A.O., Amrin A., Muhammad S., Hanim M.A. Effect of heat treatment parameters on the microstructure and microhardness of Ti-6Al-4V alloy / In AIP Conference Proceedings. 2017. V. 1865. № 1. AIP Publishing.
- Deng G., Zhao X., Su L., Wei P., Zhang L., Zhan L., Chong Y., Zhu H., Tsuji N. Effect of high pressure torsion process on the microhardness, microstructure and tribological property of Ti6Al4V alloy // J. Mater. Sci. Techn. 2021. V. 94. P. 183–195.
- Shirooyeh M., Xu J., Langdon T.G. Microhardness evolution and mechanical characteristics of commercial purity titanium processed by high-pressure torsion // Mater. Sci. Eng.: A. 2014. V. 614. P. 223–231.
Supplementary files
















