Regularities and features in the behavior of electrical and magnetic properties of Co2FeZ (Z = Al, Si, Ga, Ge, Sn, Sb) half-metallic ferromagnetic heusler alloys
- Authors: Perevozchikova Y.A.1, Irkhin V.Y.1, Semiannikova A.A.1, Marchenkov V.V.1
-
Affiliations:
- Mikheev Institute of Metal Physics, Ural Branch, Russian Academy of Sciences
- Issue: Vol 125, No 12 (2024)
- Pages: 1589-1598
- Section: ЭЛЕКТРИЧЕСКИЕ И МАГНИТНЫЕ СВОЙСТВА
- URL: https://journals.rcsi.science/0015-3230/article/view/283811
- DOI: https://doi.org/10.31857/S0015323024120111
- EDN: https://elibrary.ru/IIHLPS
- ID: 283811
Cite item
Abstract
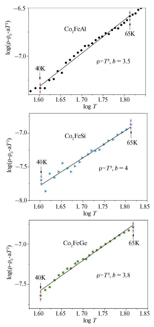
The electrical resistivity, magnetization, and Hall effect in Co2FeZ (Z = Al, Si, Ga, Ge, Sn, Sb) ferromagnetic Heusler alloys have been investigated. It has been demonstrated that there are a number of correlations between the electronic and magnetic characteristics of the alloys under study, which are manifested by changes in the atomic number of the Z component. For Co2FeAl and Co2FeSi alloys, which are HMFs, the magnetization value agrees with the Slater–Pauling rule. The electrical resistivity of Co2FeAl, Co2FeSi, and Co2FeGe compounds exhibits quadratic temperature dependence at temperatures below 30 K and above 65 K. In the range of intermediate temperatures (40 to 65 K), a power-law dependence of ~Tb with an exponent of 3.5 ≤ b ≤ 4 has been revealed, which may be attributed to two-magnon scattering processes.
Full Text
About the authors
Yu. A. Perevozchikova
Mikheev Institute of Metal Physics, Ural Branch, Russian Academy of Sciences
Author for correspondence.
Email: yu.perevozchikova@imp.uran.ru
Russian Federation, Ekaterinburg
V. Yu. Irkhin
Mikheev Institute of Metal Physics, Ural Branch, Russian Academy of Sciences
Email: yu.perevozchikova@imp.uran.ru
Russian Federation, Ekaterinburg
A. A. Semiannikova
Mikheev Institute of Metal Physics, Ural Branch, Russian Academy of Sciences
Email: yu.perevozchikova@imp.uran.ru
Russian Federation, Ekaterinburg
V. V. Marchenkov
Mikheev Institute of Metal Physics, Ural Branch, Russian Academy of Sciences
Email: march@imp.uran.ru
Russian Federation, Ekaterinburg
References
- Марченков В.В., Ирхин В.Ю. Полуметаллические ферромагнетики, спиновые бесщелевые полупроводники и топологические полуметаллы на основе сплавов Гейслера: теория и эксперимент // ФММ. 2021. Т. 122. № 12. С. 1221–1246.
- Marchenkov V.V., Irkhin V.Yu., Semiannikova A.A. Unusual kinetic properties of usual Heusler alloys // J. Supercond. Novel Magn. 2022. V. 35. P. 2153–2168.
- Hirohata A., Lloyd D.C. Heusler alloys for metal spintronics // MRS Bulletin. 2022. V. 47. P. 593–599.
- Elphick K., Frost W., Samiepour M., Kubota T., Takanashi K., Sukegawa H., Mitani S., Hirohata A. Heusler alloys for spintronic devices: review on recent development and future perspectives // STAM. 2021. V. 22. № 1. P. 235–271.
- Marchenkov V.V., Irkhin V.Yu. Magnetic states and electronic properties of manganese-based intermetallic compounds Mn2YAl and Mn3Z (Y = V, Cr, Fe, Co, Ni; Z = Al, Ge, Sn, Si, Pt) // Materials. 2023. V. 16. № 19. P. 6351.
- Semiannikova A.A., Perevozchikova Yu.A., Irkhin V.Yu., Marchenkova E.B., Korenistov P.S., Marchenkov V.V. Electronic, magnetic and galvanomagnetic properties of Co-based Heusler alloys: possible states of a half-metallic ferromagnet and spin gapless semiconductor // AIP Adv. 2021. V. 11. P. 015139.
- Sunmonu R.S., Akinlami J.O., Dare E.O., Adebayo G.A. Effects of Y atom substitution on the structural, magnetic, electronic, elastic, mechanical, thermodynamic and thermoelectric properties of Co2YAl (Y = Cr, Mn) full Heusler alloys from first principles investigations // Comp. Condensed Matter. 2019. V. 21. P. e00412.
- Fadila B., Ameri M., Bensaid D., Noureddine M., Ameri I., Mesbah S., Al-Douri Y. Structural, magnetic, electronic and mechanical properties of full-Heusler alloys Co2YAl (Y = Fe, Ti): First principles calculations with different exchange-correlation potentials // JMMM. 2018. V. 448. P. 208–220.
- Amari S., Dahmane F., Bin Omran S., Doumi B., Yahiaoui I.E., Tadjer A., Khenata R. Theoretical investigation of the structural, magnetic and band structure characteristics of Co2FeGe1-xSix (x = 0, 0.5, 1) full-Heusler alloys // J. Korean Phys. Society. 2016. V. 69. № 9. P. 1462–1468.
- Siakeng L., Mikhailov G.M., Rai D.P. Electronic, elastic and X-ray spectroscopic properties of direct and inverse full Heusler compounds Co2FeAl and Fe2CoAl, promising materials for spintronic applications: a DFT+U approach // J. Mater. Chem. C. 2018. V. 6. P. 10341–10349.
- Irkhin V., Katsnelson M. Temperature dependences of resistivity and magnetoresistivity for half-metallic ferromagnets // Eur. Phys. J. B. 2002. V. 30. P. 481–486.
- Srinivas K., Raja M.M., Kamat S.V. Effect of partial substitution of silicon by other sp-valent elements on structure, magnetic properties and electrical resistivity of Co2FeSi Heusler alloys // J. Alloys Compd. 2015. V. 619. P. 177.
- Marchenkov V.V., Kourov N.I., Irkhin V.Yu. Half-metallic ferromagnets and spin gapless semiconductors // Phys. Met. Metallogr. 2018. V. 119. P. 1321.
- Bombor D., Blum C.G.F., Volkonskiy O., Rodan S., Wurmehl S., Hess C., Buchner B. Half-metallic ferromagnetism with unexpectedly small spin splitting in the Heusler compound Co2FeSi // PRL. 2013. V. 110. P. 066601.
- Umetsu R.Y., Okubo A., Fujita A., Kanomata T., Ishida K., Kainuma R. Spin wave-stiffness constants of half-metallic ferromagnets Co2YZ (Y = Cr, Mn, and Fe, Z = Ga, Al, and Si) Heusler alloys // IEEE Trans. Magn. 2011. V. 47. № 10. P. 2451–2454.
- Ram S., Kanchana V. Fermi surface studies of Co-based Heusler alloys: Ab-initio study // AIP Conf. Proceed. 2013. V. 1512. P. 1102–1103.
- Chico J., Keshavarz S., Kvashnin Y., Pereiro M., Di Marco I., Etz C., Eriksson O., Bergman A., Bergqvist L. First-principles studies of the Gilbert damping and exchange interactions for half-metallic Heuslers alloys // Phys. Rev. B. 2016. V. 93. P. 214439.
- Коуров Н.И., Марченков В.В., Перевозчикова Ю.А., Weber H.W. Роль особенностей электронной структуры в электросопротивлении зонных ферромагнетиков Co2FeZ (Z = Al, Si, Ga, Ge, In, Sn, Sb) // ФТТ. 2017. Т. 59. № 5. С. 878–882.
- Balke B., Wurmehl S., Fecher G.H., Felser C., Kübler J. Rational design of new materials for spintronics: Co2FeZ (Z=Al, Ga, Si, Ge) // STAM. 2008. V. 9. P. 014102.
- Kukusta D.A., Antonov V.N., Yaresko A.N. X-ray magnetic circular dichroism in Co2FeGa: First-principles calculations // Low Temp. Phys. 2011. V. 37. P. 684.
- Ahmadian F., Boochani A. Half-metallic properties of the Co2Ti1-xFexGa Heusler alloys and Co2Ti0.5Fe0.5Ga (001) surface // Physica B. 2011. V. 406. P. 2865–2870.
- Gao Q. Pressure-induced tunable magnetism and half-metallic stability in Co2FeGa Heusler alloy // Applied Mechanics and Materials. 2014. V. 477–478. P. 1303–1306.
- Varaprasad B.S.D.Ch.S., Srinivasan A., Takahashi Y.K., Hayashi M., Rajanikanth A., Hono K. Spin polarization and Gilbert damping of Co2Fe(GaxGe1-x) Heusler alloys // Acta Mater. 2012. V. 60. P. 6257–6265.
- Liu X.B., Altounian Z. Volume dependence of the exchange interaction and Curie temperature in Co2MGa (M = Ti and Fe): A first-principles study // J. Appl. Phys. 2011. V. 109. P. 07B108.
- Rai D.P., Shankar A., Sandeep, Ghimire M.P., Thapa R.K. A comparative study of a Heusler alloy Co2FeGe using LSDA and LSDA+U // Physica B. 2012. V. 407. P. 3689–3693.
- Kumar K.R., Bharathi K.K., Chelvane J.A., Venkatesh S., Markandeyulu G., Harishkumar N. First-principles calculation and experimental investigations on full-Heusler alloy Co2FeGe // IEEE Trans. Magn. 2009. V. 45. № 10. P. 3997–3999.
- Li T., Duan J., Yang C., Kou X. Synthesis, microstructure and magnetic properties of Heusler Co2FeSn nanoparticles // Micro and Nano Lett. 2013. V. 8. № 3. P. 143–146.
- Yadava E., Kumar S. Intrinsically dominated anomalous Hall effect in pulsed laser deposited epitaxial Co2MnGe ferromagnetic full Heusler alloy thin films // RSC Adv. 2023. V. 13. P. 30101.
- Zhang M., Bruck E., de Boer F.R., Li Z., Wu G. The magnetic and transport properties of the Co2FeGa Heusler alloy // J. Phys. D: Appl. Phys. 2004. V. 37. P. 2049–2053.
- Galanakis I. Slater–Pauling behavior in half-metallic Heusler compounds // Nanomaterials. 2023. V. 13. P. 2010.
- Ирхин В.Ю., Ирхин Ю.П. Электронная структура, физические свойства и корреляционные эффекты в d- и f-металлах и их соединениях. Екатеринбург: Изд-во УрО РАН, 2004. 472 с.
- Karthik S.V., Rajanikanth A., Nakatani T.M., Gercsi Z., Takahashi Y.K., Furubayashi T., Inomata K., Hono K. Effect of Cr substitution for Fe on the spin polarization of Co2CrxFe1-xSi Heusler alloys // J. Appl. Phys. 2007. V. 102. P. 043903.
- Makinistian L., Faiz M.M., Panguluri R.P., Balke B., Wurmehl S., Felser C., Albanesi E.A., Petukhov A.G., Nadgorny B. On the half-metallicity of Co2FeSi Heusler alloy: Point-contact Andreev reflection spectroscopy and ab initio study // Phys. Rev. B. 2013. V. 87. P. 220402(R).
Supplementary files










