Magnetic properties of bilayer film with antidote lattice: monte carlo modeling
- Authors: Belim S.V.1, Simakova S.S.1, Tikhomirov I.V.1
-
Affiliations:
- Omsk State Technical University
- Issue: Vol 125, No 12 (2024)
- Pages: 1512-1521
- Section: ЭЛЕКТРИЧЕСКИЕ И МАГНИТНЫЕ СВОЙСТВА
- URL: https://journals.rcsi.science/0015-3230/article/view/283792
- DOI: https://doi.org/10.31857/S0015323024120063
- EDN: https://elibrary.ru/IJAOPE
- ID: 283792
Cite item
Abstract
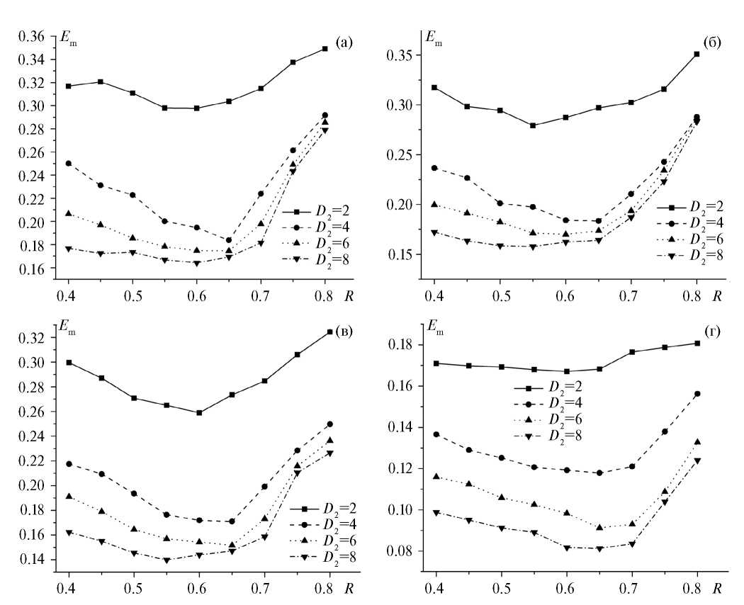
The article simulates the magnetic properties of a bilayer film with an antidote lattice using the Monte Carlo method. The system consists of two films with different magnetic susceptibility (magnetosoft and magnetohard layers). The thickness of the magnetohard layer remains constant and the thickness of the magnetosoft layer varies. The antidote lattice is formed in the film. The antidote lattice is an array of square pores located at regular lattice nodes. The Ising model is used to describe the magnetic properties of the system. The film layers have different exchange constants in this model. The article studies the dependence of the Curie temperature for the system on the thickness of the soft magnetic layer and the period of the antidote lattice. The phase transition temperature depends non-linearly on both parameters. The second stage examines the process of magnetization. The antidote lattice and the magnetosoft layer distort the hysteresis loop. Dependence of coercive force and magnetization energy on system parameters is investigated.
Full Text
About the authors
S. V. Belim
Omsk State Technical University
Author for correspondence.
Email: sbelim@mail.ru
Russian Federation, Omsk
S. S. Simakova
Omsk State Technical University
Email: sbelim@mail.ru
Russian Federation, Omsk
I. V. Tikhomirov
Omsk State Technical University
Email: sbelim@mail.ru
Russian Federation, Omsk
References
- Krupinski M., Sobieszczyk P., Zieliński P., Marszałek M. Magnetic reversal in perpendicularly magnetized antidot arrays with intrinsic and extrinsic defects // Sci. Rep. 2019. V. 9. P. 13276.
- Belim S.V., Tikhomirov I.V. Computer simulation of Fe epitaxial films on a Cu(100) substrate // Physica Scripta. 2023. V. 98. P. 105973.
- Belim S.V. Investigation of Phase Transitions in Ferromagnetic Nanofilms on a Non-Magnetic Substrate by Computer Simulation // Materials 2022. V. 15. P. 2390.
- Kaidatzis A., del Real R.P., Alvaro R., Niarchos D., Vazquez M., García-Martín J.M. Nanopatterned hard/soft bilayer magnetic antidot arrays with long-range periodicity // J. Magn. Magn. Mater. 2020. V. 498. P. 166142.
- Salaheldeen M., Martínez-Goyeneche L., Álvarez-Alonso P., Fernández A. Enhancement the perpendicular magnetic anisotropy of nanopatterned hard/soft bilayer magnetic antidot arrays for spintronic application // Nanotechnology. 2020. V. 31. P. 485708.
- Challab N., Faurie D., Haboussi M., Adeyeye A.O., Zighem F. Differentiated Strain-Control of Localized Magnetic Modes in Antidot Arrays // ACS Appl. Mater. Interfaces. 2021. V. 13. P. 29906–29915.
- Ruiz-Feal I., Lopez-Diaz L., Hirohata A., Rothman J., Guertler C.M., Bland J.A.C., Garcia L.M., Torres J.M., Bartolome J., Bartolome F., Natali M., Decanini D., Chen Y. Geometric coercivity scaling in magnetic thin film antidot arrays // J. Magn. Magn. Mater. 2002. V. 242–245. P. 597–600.
- Vavassori P., Gubbiotti G., Zangani G., Yu C.T., Yin H., Jiang H., Mankey G.J. Lattice symmetry and magnetization reversal in micron-size antidot arrays in permalloy film // J. Appl. Phys. 2002. V. 91. P. 7992.
- Heyderman L.J., Nolting F., Backes D., Czekaj S., Lopez-Diaz L., Kläui M., Rüdiger U., Vaz C.A.F., Bland J.A.C., Matelon R.J., Volkmann U.G., Fischer P. Magnetization reversal in cobalt antidot arrays // Phys. Rev. B. 2006. V. 73. P. 214429.
- Brigneti E.V., Ramos C.A., Ureña E.B., Pirota K., Vázquez M., Prieto P., Sanz J.M. Ferromagnetic resonance and magnetization in permalloy films with nanostructured antidot arrays of variable size // J. Magn. Magn. Mater. 2008. V. 320. P. 257.
- Paul D.I. General theory of the coercive force due to domain wall pinning // J. Appl. Phys. 1982. V. 53. P. 2362.
- Barnard J.A., Fujiwara H., Inturi V.R., Jarratt J.D., Scharf T.W., Weston J.L. Nanostructured magnetic networks // Appl. Phys. Lett. 1996. V. 69. P. 2758.
- Tripathy D., Vavassori P., Porro J.M., Adeyeye A.O., Singh N. Magnetization reversal and anisotropic magnetoresistance behavior in bicomponent antidot nanostructures // Appl. Phys. Lett. 2010. V. 97. P. 042512.
- Suess D., Schrefl T., Fahler S., Kirschner M., Hrkac G., Dorfbauer F., Fidler J. Exchange spring media for perpendicular recording // Appl. Phys. Lett. 2005. V. 87. P. 012504.
- Asti G., Ghidini M., Pellicelli R., Pernechele C., Solzi M., Albertini F., Casoli F., Fabbrici S., Pareti L. Magnetic phase diagram and demagnetization processes in perpendicular exchange-spring multilayer // Phys. Rev. B. 2006. V. 73. P. 094406.
- Schmool D.S., Apolinario A., Casoli F., Albertini F. Ferromagnetic resonance study of Fe/FePt coupled films with perpendicular anisotropy // IEEE Trans. Magn. 2008. V. 44. P. 3087–3090.
- Navas D., Torrejon J., Béron F., Redondo C., Batallan F., Toperverg B.P., Devishvili A., Sierra B., Castaño F., Pirota K.R., Ross C.A. Magnetization reversal and exchange bias effects in hard/soft ferromagnetic bilayers with orthogonal anisotropies // New J. Phys. 2012. V. 14. P. 113001.
- Béron F., Kaidatzis A., Velo M.F., Arzuza L.C.C., Palmero E.M., del Real R.P., Niarchos D., Pirota K.R., García-Martín J.M. Nanometer Scale Hard/Soft Bilayer Magnetic Antidots // Nanoscale Res. Lett. 2016. V. 11. P. 86.
- Salaheldeen M., Nafady A., Abu-Dief A.M., Díaz Crespo R., Fernández-García M.P., Andrés J.P., López Antón R., Blanco J.A. Enhancement of Exchange Bias and Perpendicular Magnetic Anisotropy in CoO/Co Multilayer Thin Films by Tuning the Alumina Template Nanohole Size // Nanomaterials. 2022. V. 12. P. 2544.
- Belim S.V., Belim S.S., Tikhomirov I.V., Bychkov I.V. Computer Simulation of Phase Transitions in Thin Films with an Antidote Lattice // Coatings. 2022. V. 12. P. 1526.
- Belim S.V., Simakova S.S., Tikhomirov I.V. Effect of disorder on phase transitions in antidote lattice thin films: computer simulations // Letters Mater. 2023. V. 13(4). P. 304–307.
- Waldman M., Hagler A.T. New combining rules for rare gas van der Waals parameters // J. Comput. Chem. 1993. V. 14. P. 1077–1084.
- Binder K. Critical Properties from Monte-Carlo Coarse-Graining and Renormalization // Phys. Rev. Lett. 1981. V. 47. P. 693.
- Landau D.P., Binder K. Phase Diagrams and Multicritical Behavior of a Three-Dimensional Anisotropic Heisenberg Antiferromagnet // Phys. Rev. B. 1978. V. 17. P. 2328–2342.
- Babaev A.B., Murtazaev A.K. The tricritical point of the site-diluted three-dimensional 5-state Potts model // J. Magn. Magn. Mater. 2022. V. 563. P. 169864.
- Бабаев А.Б., Муртазаев А.К. Моделирование трехкомпонентной модели Поттса на гексагональной решетке методом Монте–Карло // ФММ. 2023. Т. 124(7). С. 577–583.
- Kulesh N.A., Vázquez M., Lepalovskij V.N., Vas’kovskiy V.O. Antidot patterned single and bilayer thin films based on ferrimagnetic Tb–Co alloy with perpendicular magnetic anisotropy // Nanotechnology 2018. V. 29(6). P. 065301.
Supplementary files












