Magnetic and Magnetocaloric Properties of Bulk and Rapidly Quenched GdTbDyHoEr high-entropy alloys
- 作者: Svalov A.V.1, Neznakhin D.S.2, Arkhipov A.V.1, Andreev S.V.2, Rusalina A.S.2, Medvedev A.I.3, Beketov I.V.2,3, Pasynkova A.A.2,4, Kurlyandskaya G.V.2
- 
							隶属关系: 
							- Ural Federal University named after the First President of Russia B. N. Yeltsin
- Ural Federal University
- Institute of Electrophysics, Ural Branch, Russian Academy of Sciences
- Mikheev Institute of Metal Physics, Ural Branch, Russian Academy of Sciences
 
- 期: 卷 125, 编号 12 (2024)
- 页面: 1487-1493
- 栏目: ЭЛЕКТРИЧЕСКИЕ И МАГНИТНЫЕ СВОЙСТВА
- URL: https://journals.rcsi.science/0015-3230/article/view/283740
- DOI: https://doi.org/10.31857/S0015323024120037
- EDN: https://elibrary.ru/IJPGMU
- ID: 283740
如何引用文章
详细
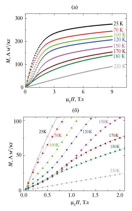
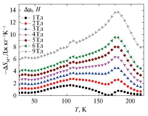
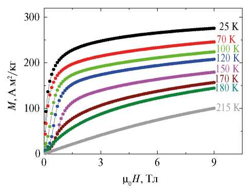
The bulk GdTbDyHoEr magnetic high-entropy alloy is prepared by induction melting; the same alloy in the form of ribbons is prepared by rapid quenching from the melt. Peculiarities of the structure and magnetic and magnetocaloric properties of these materials are analyzed. The both states of the alloy are characterized by the hexagonal structure. The magnetic entropy change ΔSM is determined using measured magnetic isotherms and Maxwell’s relations. The maximum ΔSM is observed at 175 K and, for a magnetic field change of 2 T, it is 1.8 and 2.6 J/kg К for the bulk and rapidly quenched alloys, respectively. Taking into account the determined parameters of magnetocaloric effect, the alloys show promise as materials for applications in magnetic refrigeration devices.
全文:
 
												
	                        作者简介
A. Svalov
Ural Federal University named after the First President of Russia B. N. Yeltsin
							编辑信件的主要联系方式.
							Email: andrey.svalov@urfu.ru
				                					                																			                												                	俄罗斯联邦, 							Ekaterinburg						
D. Neznakhin
Ural Federal University
														Email: andrey.svalov@urfu.ru
				                					                																			                												                	俄罗斯联邦, 							Ekaterinburg						
A. Arkhipov
Ural Federal University named after the First President of Russia B. N. Yeltsin
														Email: andrey.svalov@urfu.ru
				                					                																			                												                	俄罗斯联邦, 							Ekaterinburg						
S. Andreev
Ural Federal University
														Email: andrey.svalov@urfu.ru
				                					                																			                												                	俄罗斯联邦, 							Екатеринбург						
A. Rusalina
Ural Federal University
														Email: andrey.svalov@urfu.ru
				                					                																			                												                	俄罗斯联邦, 							Ekaterinburg						
A. Medvedev
Institute of Electrophysics, Ural Branch, Russian Academy of Sciences
														Email: andrey.svalov@urfu.ru
				                					                																			                												                	俄罗斯联邦, 							Ekaterinburg						
I. Beketov
Ural Federal University; Institute of Electrophysics, Ural Branch, Russian Academy of Sciences
														Email: andrey.svalov@urfu.ru
				                					                																			                												                	俄罗斯联邦, 							Ekaterinburg; Ekaterinburg						
A. Pasynkova
Ural Federal University; Mikheev Institute of Metal Physics, Ural Branch, Russian Academy of Sciences
														Email: andrey.svalov@urfu.ru
				                					                																			                												                	俄罗斯联邦, 							Ekaterinburg; Ekaterinburg						
G. Kurlyandskaya
Ural Federal University
														Email: andrey.svalov@urfu.ru
				                					                																			                												                	俄罗斯联邦, 							Ekaterinburg						
参考
- Tishin A.M., Spichkin Y.I. The Magnetocaloric Effect and Its Applications. Series in Condensed Matter Physics. Institute of Physics Publishing, 2003.
- Соколовский В.В., Мирошкина О.Н., Бучельников В.Д., Марченков В.В. Магнитокалорический эффект в металлах и сплавах // ФММ. 2022. Т. 123. № 4. С. 339–343.
- Кашин С.Н., Коплак О.В., Валеев Р.А., Пискорский В.П., Бурканов М.В., Моргунов Р.Б. Влияние механической деформации на магнитные свойства и магнитокалорический эффект в пленках Gd // ФТТ. 2023. Т. 65. Вып. 5. С. 782–789.
- Соколовский В.В., Загребин М.А., Бучельников В.Д., Марченков В.В. Современные магнитокалорические материалы: существующие проблемы и перспективы исследований // ФММ. 2023. Т. 124. № 11. С. 1019–1024.
- Панкратов Н.Ю., Терешинa И.С., Никитин С.А. Магнитокалорический эффект в редкозем ельных магнетиках // ФММ. 2023. Т. 124. № 11. С. 1093–1101.
- Taskaev S., Skokov K., Khovaylo V., Ulyanov M., Bataev D., Karpenkov D., Radulov I., Dyakonov A., Gutfleisch O. Magnetocaloric effect in cold rolled foils of Gd100-xInx (x = 0, 1, 3) // J. Magn. Magn. Mater. 2018. V. 459. P. 46–48.
- Рогачев А.С. Структура, стабильность и свойства высокоэнтропийных сплавов // ФММ. 2020. Т. 121. № 8. С. 807–841.
- Yuan Y., Wu Y., Tong X., Zhang H., Wang H., Liu X.J., Ma L., Suo H.L., Lu Z.P. Rare-earth high-entropy alloys with giant magnetocaloric effect // Acta Mater. 2017. V. 125. P. 481–489.
- Андреенко А.С., Белов К.П., Никитин С.А., Тишин А.М. Магнитокалорические эффекты в редкоземельных магнетиках // УФН. 1989. Т. 158. Вып. 4. С. 553–579.
- Gimaev R.R., Zverev V.I., Mello V.D. Magnetic properties of single-crystalline terbium and holmium — Experiment and modeling // J. Magn. Magn. Mater. 2020. V. 505. P. 166781.
- Zverev V.I., Gimaev R.R., Komlev A.S., Kovalev B.B., Queiroz F.G., Mello V.D. Magnetic properties of dysprosium — Experiment and modeling // J. Magn. Magn. Mater. 2021. V. 524. P. 167593.
- Uporov S.A., Estemirova S.Kh., Sterkhov E.V., Balyakin I.A., Rempel A.A. Magnetocaloric effect in ScGdTbDyHo high-entropy alloy: Impact of synthesis route // Intermetallics. 2022. V. 151. P. 107678.
- Uporov S.A., Sterkhov E.V., Balyakin I.A., Bykov V.A., Sipatov I.S., Rempel A.A. Synthesis and magnetic properties of some monotectic composites containing ultra-dispersed particles of YGdTbDyHo high-entropy alloy // Intermetallics. 2024. V. 165. P. 108121.
- Wang L., Lu Z., Guo H., Wu Y., Zhang Y., Zhao R., Jiang S., Liu X., Wang H., Fu Z., Zhao J., Ma D., Lu Z. Multi-principal rare-earth Gd-Tb-Dy-Ho-Er alloys with high magnetocaloric performance near room temperature // J. Alloys Compd. 2023. V. 960. P. 170901.
- Kuz’min M.D. Factors limiting the operation frequency of magnetic refrigerators // Appl. Phys. Lett. 2007. V. 90. P. 251916.
- Taskaev S.V., Buchelnikov V.D., Pellenen A.P., Kuz’min M.D., Skokov K.P., Karpenkov D.Yu., Bataev D.S., Gutfleisch O. Influence of thermal treatment on magnetocaloric properties of Gd cold rolled ribbons // J. Appl. Phys. 2013. V. 113. P. 17A933.
- Kitanovski A. Energy applications of magnetocaloric materials // Adv. Energy Mater. 2020. V. 10. P. 1903741.
- Шишкин Д.А., Волегов А.С., Андреев С.В., Баранов Н.В. Магнитное состояние и магнитотепловые свойства быстрозакаленных сплавов Gd75M25 (M = Co, Ni) // ФММ. 2012. Т. 113. № 5. С. 485–491.
- Svalov A.V., Andreev S.V., Larrañaga A., Orue I., Kurlyandskaya G.V. Rapidly quenched non-strained nanocrystalline Gd ribbons: Structural features and magnetic properties // J. Magn. Magn. Mater. 2019. V. 490. P. 165529.
- Zvonov A.I., Pankratov N.Yu., Karpenkov D.Yu., Smarzhevskaya A.I., Karpenkov A.Yu., Nikitin S.A. The change of crystallite sizes and magnetocaloric effect in rapidly quenched dysprosium // Phys. Status Solidi C. 2014. V. 11. № 5–6. P. 1149–1154.
- Curzon A.E., Chlebek H.G. The observation of face centred cubic Gd, Tb, Dy, Ho, Er and Tm in the form of thin films and their oxidation // J. Phys. F: Metal Phys. 1973. V. 3. P. 1–5.
- Никитин С.А. Магнитные свойства редкоземельных металлов и их сплавов. М.: Изд-во МГУ, 1989. 247 с.
- Gimaev R.R., Komlev A.S., Davydov A.S., Kovalev B.B., Zverev V.I. Magnetic and electronic properties of heavy lanthanides (Gd, Tb, Dy, Er, Ho, Tm) // Crystals. 2021. V. 11. Р. 82.
- Zhu W.H., Ma L., He M.F., Lu S.F., Li Z.K., Rao G.H., Li L., Li X.M., Yin C.Q. Magnetic properties and magnetocaloric effect of GdTbHoEr-based high-entropy alloy ribbons // J. Mater. Sci: Mater. Electron. 2022. V. 33. P. 25930–25938.
补充文件
 
				
			 
						 
						 
						 
						 
					 
				
 开放存取
		                                开放存取 ##reader.subscriptionAccessGranted##
						##reader.subscriptionAccessGranted##







