Anomalies of thermal expansion/contraction of martensite crystal lattices in Ti–Ni AND Ti–Nb–Zr alloys
- Authors: Dubinskiy S.M.1, Baranova A.P.1, Strachov O.V.1, Shchetinin I.V.1, Bazlov A.I.1, Korotitskiy A.V.1,2, Prokoshkin S.D.1
-
Affiliations:
- The National University of Science and Technology MISIS
- Moscow Polytechnic University
- Issue: Vol 125, No 9 (2024)
- Pages: 1126-1141
- Section: СТРУКТУРА, ФАЗОВЫЕ ПРЕВРАЩЕНИЯ И ДИФФУЗИЯ
- URL: https://journals.rcsi.science/0015-3230/article/view/281252
- DOI: https://doi.org/10.31857/S0015323024090077
- EDN: https://elibrary.ru/KEQXTV
- ID: 281252
Cite item
Full Text
Abstract
The time-temperature changes of martensite lattice parameters (MLPs) of Ti–50.26Ni and Ti–18Zr–14Nb (at%) shape memory alloys have been investigated using X-ray diffraction methods both in situ and ex situ in order to verify the existence of the time dependence of MLPs and to ascertain the extent to which the correct syngony of the martensite lattice is preserved when its parameters change during heating and cooling at temperatures ranging from –180°C to ≥ As. The reversibility of MLP alterations was observed across the entirety of the investigated temperature range, when subjected to disparate combinations of heating and cooling rates (ranging from 0.03 to > 50°C/s). The MLP values remain constant regardless of the duration of X-ray diffraction imaging or holding at a given temperature within the martensite existence interval. The width of the X-ray lines of B19′ and α″ martensite remains constant regardless of the heating and cooling rates and holding times, which suggests the absence of martensite lattice distortions akin to those observed in premartensitic materials, leading to reversible broadening of X-ray lines of austenite with approaching the Мs point in the area of formation of nanodomains of intermediate shear structure. The Fisher criterion (F), nowhere exceeding its critical value, in conjunction with the unaltered width of the X-ray lines, suggests that the undistorted lattice syngony of unconverted martensite crystals has been preserved and that the lattice as a whole has undergone gradual homogeneous shear as the reverse transformation was approached.
Full Text
ВВЕДЕНИЕ
Параметры кристаллической решетки мартенсита (ПРМ) в сплавах с памятью формы (СПФ) – не просто фундаментальные ее константы, но и главный фактор, определяющий функциональные свойства СПФ, поскольку соотношение ПРМ с генетически связанными параметрами решетки аустенита (ПРА) определяет максимальную деформацию растяжения решетки при мартенситном превращении εmax. Последняя является кристаллографическим ресурсом обратимой деформации (εrmax), т. е. потенциальной максимальной обратимой деформации в приближении монокристалла (“монокристалл аустенита ↔ монокристалл мартенсита”) [1–3]. При этом ПРМ, а следовательно, деформация εmax и ее кристаллографическая ориентация проявляют концентрационную, структурную и температурную зависимости [3]. Так, концентрационная зависимость εmax в СПФ Ti–Ni выражается в уменьшении εmax при температуре Mн с 11.85 до 10.40% в интервале концентраций никеля от 50 до 51 ат.% [3], а в СПФ Ti–Nb εmax резко уменьшается при увеличении концентрации ниобия [4]. Структурная зависимость εmax, обнаруженная в СПФ Ti–Ni, выражается в уменьшении εmax на величину до 1–1.5% при резком увеличении концентрации дефектов решетки (дислокаций, субграниц, границ зерен) в аустените [3]. Температурная же зависимость выражается в уменьшении εmax при повышении температуры [3, 5, 6]. При этом структурная зависимость сохраняется: при увеличении концентрации дефектов решетки в аустените ПРМ и εmax изменяются, но их температурные зависимости остаются неизменными [3]. Принципиальную роль в этих изменениях кристаллографического ресурса обратимой деформации играет анизотропия концентрационных, структурных и температурных изменений ПРМ, поскольку именно она эти изменения εmax и определяет.
В СПФ на основе Ti–Ni как бинарных, так и тройных (Ti–Ni– (Fe, Co, Mn и др.)), анизотропия температурных изменений ПРМ была исследована и описана в [7–18]. Эти изменения были обратимы по температуре, а их анизотропия заключалась в следующих закономерностях изменений параметров моноклинной решетки B19ʹ-мартенсита: при повышении температуры параметры a и b увеличиваются, а параметр c и угол моноклинного искажения β уменьшаются. При этом в [9, 19] было отмечено, что каждый из параметров решетки мартенсита стремится в сторону того параметра решетки исходного аустенита, с которым он генетически связан. Иными словами, поскольку при B2→B19ʹ-превращении бейновская деформация состоит в превращении выделенной в упорядоченной на основе ОЦК-решетке В2 ГЦТ-ячейки c ПРА aB2 и bB2=cB2=aB2 в моноклинную ячейку c ПРМ aB19ʹ, bB19ʹ, cB19ʹ и углом моноклинности β>90°, причем aB19ʹ<aB2, bB19ʹ<bB2, а cB19ʹ>cB2, то при нагреве ПРМ aB19ʹ и bB19ʹ увеличиваются в сторону ПРА соответственно aB2 и bB2, ПРМ cB19ʹ уменьшается в сторону ПРА cB2, а угол β уменьшается в сторону 90° [9, 19].
В безникелевых СПФ на основе Ti–Nb анизотропия температурных изменений ПРМ αʹʹ была исследована и описана в [20–22]. Эти изменения, как и в СПФ Ti–Ni, были обратимы по температуре, а их анизотропия заключалась в следующих закономерностях изменений параметров орторомбической (ОР) решетки αʹʹ-мартенсита: при повышении температуры параметр aαʹʹ увеличивается, bαʹʹ уменьшается, а cαʹʹ мало изменяется [5]. При этом и здесь каждый из ПРМ при нагреве стремится в сторону того ПРА, с которым он генетически связан. В этих СПФ при мартенситном β→αʹʹ-превращении бейновская деформация переводит выделенную в ОЦК-решетке β ГЦТ-ячейку c ПРА aβ и bβ=cβ=aβ в ОР ячейку c ПРМ aαʹʹ, bαʹʹ и cαʹʹ, причем aαʹʹ<aβ, bαʹʹ>bβ, а cαʹʹ≈cβ, и соответственно при нагреве ПРМ aαʹʹ увеличивается в сторону ПРА aβ, ПРМ bαʹʹ уменьшается в сторону ПРА bβ, а ПРМ cαʹʹ остается приблизительно равным ПРА cβ.
Генетически связанные параметры (межплоскостные расстояния и углы) мартенсита и аустенита должны изменяться так, чтобы они не нарушали соотношений между ПРМ и ПРА. Точнее, при нагреве те элементы решетки мартенсита, которые были больше соответствующих элементов решетки аустенита, должны уменьшаться, а те, которые были меньше – увеличиваться. В последующих более подробных дифракционных исследованиях [23–28] были прослежены температурные изменения координат различных дифракционных линий мартенсита и построены тензоры коэффициентов теплового “расширения” решеток мартенсита и температурные зависимости коэффициентов, а также предположен флуктуационный атомный механизм этих изменений: возникновение и развитие нанодоменов с решеткой β-фазы при нагреве αʹʹ-мартенсита [28], что можно рассматривать как некую аналогию предмартенситных искажений решетки при охлаждении B2- или β-фаз [14, 29].
Однако в проведенных исследованиях упущены два принципиально важных обстоятельства, прояснение которых должно способствовать пониманию физической природы явления. Во-первых, вопрос о том, насколько строго сохраняется тип (сингония) решетки мартенсита при анизотропном изменении ее параметров, не решался и даже не возникал. Иными словами, искажается ли моноклинная симметрия решетки мартенсита в СПФ Ti–Ni и орторомбическая симметрия решетки мартенсита в безникелевых титановых СПФ, например, в результате аустенитоподобных атомных смещений, при стремлении решеток мартенситов к соответственно решеткам В2 и β в ходе нагрева? Или деформация решетки развивается однородно и постепенно при сохранении совершенства ее симметрии?
Во-вторых, в предыдущих исследованиях температурных зависимостей ПРМ в СПФ Ti–Ni и Ti–Zr(Nb) вопрос о временнóй или скоростной зависимости параметров решетки мартенсита и, соответственно, кристаллографического ресурса обратимой деформации, т. е. стабильности наведенной деформации и восстановленной формы, (и даже просто о существовании этой зависимости) не затрагивался. Однако в работах по СПФ Ti–Ni [16] и Ti–Nb–Ta [20] содержатся данные, которые могут свидетельствовать о существовании такой временнóй зависимости.
Указанные нерешенные вопросы и послужили мотивирующими факторами для проведения рентгенографических исследований in situ и ex situ температурно-временных зависимостей параметров решетки мартенсита СПФ Ti–Ni и Ti–Zr–Nb. Целью настоящей работы было: (1) проверить существование временной зависимости параметров решетки мартенсита и (2) выяснить, насколько строго сохраняется тип (сингония) решетки мартенсита при изменении ее параметров в ходе нагрева–охлаждения СПФ Ti–Ni и Ti–Zr–Nb.
МАТЕРИАЛЫ И МЕТОДИКИ
Исследовали сплавы Ti–50.26Ni и Ti–18Zr–12Nb (ат. %) в исходном мартенситном состоянии при Ткомн., выбранные на основании данных о концентрационных зависимостях температур начала прямого мартенситного превращения Мs [3, 4]. Сплавы нагревали при 700°С в течение 30 мин и 1 ч соответственно для формирования рекристаллизованной структуры с умеренно крупным зерном (5–10 мкм и 30–40 мкм соответственно) с последующей закалкой в воде.
Поскольку исследование температурно-временной зависимости параметров решетки мартенсита требовалось проводить не только в широкой области температур существования стабильного мартенсита, но и в начале потери его стабильности, т. е. в начале интервала обратного мартенситного превращения немного выше температуры Аs, необходимо было определить температурные интервалы обратных мартенситных превращений исследуемых сплавов. Для этого к сплаву Ti–50.26Ni применили метод дифференциальной сканирующей калориметрии (ДСК) (рис. 1а) с использованием калориметра Perkin Elmer DSC 400 при скорости нагрева-охлаждения 10°С/мин.
Рис. 1. К определению характеристических температур обратного мартенситного превращения. Калориметрические кривые нагрева и охлаждения сплава Ti–50.26Ni (а); температурная зависимость удельного электрического сопротивления R/R0 при нагреве сплава Ti–18Zr–12Nb (б).
Как видно на рис. 1а, на кривых ДСК при нагреве и охлаждении наблюдаются пики, соответствующие обратному B19ʹ→B2 и прямому B2→B19ʹ-превращениям. Температуры начала и окончания обратного мартенситного превращения определены как Аs=55°С и Аf=85°С. Поскольку мартенситные превращения в сплавах системы Ti–Zr–Nb имеют большую ширину интервала превращений, проявляют слабый тепловой эффект и развиваются при охлаждении вяло, ДСК традиционно не используется для сплавов этой системы. Поэтому для определения интервала обратного αʹʹ→β-мартенситного превращения применили метод определения изменения удельного электрического сопротивления (R/R0, где R0 – электросопротивление при Ткомн) при нагреве (рис. 1б). Измерение электросопротивления проводили на специально спроектированной установке, оснащенной термокамерой с контроллером ОВЕН ТРМ-151 и мультивольтметром ПРИСТ B7-78/1, подключенным к ПК. Скорость нагрева составляла 5°С/мин. На кривой температурной зависимости удельного электросопротивления СПФ Ti–18Zr–12Nb видны два перегиба, отвечающие температурам начала и окончания обратного αʹʹ→β-мартенситного превращения: Аs=145°С и Аf=210°С.
Для выбора температур рентгенографических исследований в области потери стабильности мартенсита было необходимо уточнение этих “пристрелочных” температур с помощью исследования фазового состава методом рентгеновской дифрактометрии in situ. Съемку проводили на дифрактометре Rigaku Ultima IV¸ оборудованном термокамерой R300, в CuKα-излучении. Рентгенограммы сплавов Ti–50.26Ni и Ti–18Zr–12Nb, полученных при Ткомн в начале и в конце интервала обратного мартенситного превращения, приведены на рис. 2.
Рис. 2. Дифрактограммы сплавов Ti–50.26Ni (а) и Ti–18Zr–12Nb (б) при Ткомн и в области обратных превращений соответственно B2→B19′ и α"→β.
Как видно из рис. 2а, при Ткомн фазовый состав сплава Ti–50.26Ni представлен полностью B19ʹ-мартенситом без следов каких-либо других фаз. При повышении температуры до 70°С его рентгеновские линии незначительно ослабевают и появляется линия {110}B2-аустенита, что свидетельствует о начале обратного превращения B19ʹ→B2. Дальнейшее повышение температуры до 80°С приводит к существенному ослаблению линий B19ʹ-мартенсита и значительному росту интенсивности линии {110}B2-аустенита. На основании этих данных в качестве температуры начала потери стабильности B19ʹ-мартенсита для дальнейшего исследования выбрали температуру 70°С. Из рис. 2б видно, что в случае сплава Ti–18Zr–12Nb при Ткомн отчетливо видны линии αʹʹ-мартенсита. Пик, лежащий в области 38°, может быть отнесен как к (002)αʹʹ, так и к {110}β. Однако отсутствие явного пика {200}β свидетельствует о весьма малом количестве β-фазы и позволяет отнести этот пик к (002)αʹʹ. Повышение температуры до 150°С приводит к ослаблению интенсивности линий αʹʹ-мартенсита, а интенсивность пика в области 38° увеличивается и появляется отчетливый пик {200}β. Следовательно, можно утверждать, что на месте линии (002)αʹʹ появляется и заметно усиливается линия {110}β. Дальнейшее повышение температуры до 200°С приводит к практически полному исчезновению линий αʹʹ-мартенсита и резкому усилению линий β-фазы. Таким образом, в качестве температуры начала потери стабильности αʹʹ-мартенсита была выбрана температура 150°С.
Параметры решетки мартенсита в обоих сплавах рассчитывали методом наименьших квадратов, а также, для оценки приемлемости (качества) решения задачи расчета ПРМ по каждой экспериментальной рентгенограмме, определяли величину критерия Фишера по методике [16, 30–32]. В случае Ti–Ni расчеты проводили на основании угловых координат центров тяжести 5 линий: (110)B19ʹ, (002)B19ʹ, (111)B19ʹ, (020)B19ʹ и (111)B19ʹ, а в случае Ti–Zr–Nb использовали 8 линий: в большинстве случаев – (110)αʹʹ, (020)αʹʹ, (111)αʹʹ, (021)αʹʹ, (022)αʹʹ, (200)αʹʹ, (202)αʹʹ и (041)αʹʹ, или (110)αʹʹ, (020)αʹʹ, (111)αʹʹ, (021)αʹʹ, (022)αʹʹ, (130)αʹʹ, (131)αʹʹ и (132)αʹʹ – в случае, когда линии (200)αʹʹ, (202)αʹʹ и (041)αʹʹ были слишком слабыми или отсутствовали. Выбор указанных линий мартенсита обусловлен тем, что они свободны от наложения линий других фаз. Погрешность определения угловых координат выбранных линий Δ2θhkl принимали равной 0.02°.
Критерий Фишера позволяет оценить соответствие реальной, полученной экспериментально рентгенограммы расчетной рентгенограмме, построенной по рассчитанным методом наименьших квадратов (МНК) параметрам решетки мартенсита [32]. Критерий Фишера определяется в нашем случае по формуле:
, (1)
где – погрешность экспериментально определенной координаты линии (hkl), а () – разность между экспериментальной и полученной обратным расчетом по ПРМ координатами линии (hkl).
Критическим (Fкр) считается уровень, обеспечивающий достоверность соответствия выше 95%. Этот параметр является важным, он позволяет проверить соответствие экспериментальных координат рентгеновских линий их координатам, заданным расчетом МНК, и поэтому априорно отвечающим заданной правильной сингонии решетки. Если такого соответствия нет, то будут наблюдаться значительные смещения экспериментальных координат линий от расчетных, и критерий Фишера превысит свое критическое значение.
Кроме того, для контроля искажения решетки существующей фазы и отклонения от правильной ее симметрии вследствие образования локальных атомных смещений можно использовать оценку ширины ее рентгеновских линий (на половине высоты). Так, в работах [10, 14, 16, 33] было показано, что в сплавах Ti–50.0 и Ti–51.0%Ni в интервале температур протекания предпереходных явлений и образования соответствующих наноразмерных доменов промежуточных сдвиговых структур наблюдается значительное уширение линии {110} В2-аустенита, еще до начала самого превращения. Уширение при подходе к температуре начала В2→В19' или В2→R-превращения “сверху” составляет более 25% от изначального значения ширины линии. Поэтому для оценки совершенства сохранения типа (сингонии) кристаллической решетки мартенсита была измерена ширина рентгеновских линий мартенсита (002)B19ʹ для СПФ Ti–50.26Ni и (111)αʹʹ для Ti–18Zr–12Nb в интервале температур существования мартенсита от –180°С до ≥Ан при варьировании скорости изменения температуры и изотермической выдержке.
РЕЗУЛЬТАТЫ И ОБСУЖДЕНИЕ
Исследование стабильности параметров решетки мартенсита при изотермической выдержке
Для исследования стабильности ПРМ при изотермической выдержке были выбраны два режима длительной выдержки: (1) нагрев до температуры начала потери стабильности мартенситом (≥Ан) в камере со скоростью 20°С/мин., съемка рентгенограммы в течение 60 мин, затем съемка после выдержки 12 ч при этой температуре; (2) съемка при Ткомн через <1 минуты после закалки от температуры (≥Ак), затем съемка после выдержки 30 суток при Ткомн, где мартенсит стабилен.
На рис. 3 представлены рентгенограммы сплавов Ti–50.26Ni и Ti–18Zr–12Nb, полученные в эксперименте с выдержкой по режиму 1. Выдержку проводили in situ в термокамере R300 дифрактометра. Как видно из рис. 3а, после нагрева сплава Ti–50.26Ni до температуры выдержки 70°С фазовый состав представлен как B19ʹ-мартенситом, так и B2-аустенитом. После выдержки в течение 12 ч добавляется некоторое количество аустенита, а форма профилей линий мартенсита на рентгенограмме и их угловые координаты не изменяются. Аналогично фазовый состав сплава Ti–18Zr–12Nb (рис. 3б) после нагрева до температуры 150°С представлен как αʹʹ-мартенситом, так и небольшим количеством β-фазы, а форма профилей и координаты линий на рентгенограмме в ходе выдержки в течение 12 ч также не изменяются.
Рис. 3. Рентгенограммы СПФ Ti–50.26Ni (а) и Ti–18Zr–12Nb (б), полученные в ходе эксперимента с выдержкой при температуре начала потери стабильности мартенсита в течение 12 ч.
На рис. 4 приведены результаты измерений, проведенных после выдержки по режиму 2. Как видно из рис. 4а, при Ткомн. фазовый состав сплава Ti–50.26Ni представлен B19ʹ-мартенситом и небольшим количеством промежуточной R-фазы. Фазовый состав сплава Ti–18Zr–12Nb при Ткомн представлен αʹʹ-мартенситом (рис. 4б). Выдержка в течение 30 дней не приводит к изменению положений линий на рентгенограммах.
Рис. 4. Рентгенограммы СПФ Ti–50.26Ni (а) и Ti–18Zr–12Nb (б), полученные в ходе эксперимента с выдержкой при Ткомн в течение 30 дней.
На основании полученных рентгенограмм были определены параметры решетки мартенсита каждого сплава, включая объем элементарной ячейки мартенсита, значения критерия Фишера и ширины на половине высоты рентгеновских линий мартенсита (002)B19ʹ для СПФ Ti–50.26Ni и (111)αʹʹ для Ti–18Zr–12Nb. На рис. 5 представлены результаты расчетов и измерений для выдержки по режиму 1 при температурах потери стабильности мартенсита, а на рис. 6 для выдержки по режиму 2 при Ткомн.
Рис. 5. Параметры решетки мартенсита, критерий Фишера и ширина рентгеновских линий мартенсита (002)B19′ СПФ Ti–50.26Ni (а) и (111)α" Ti–18Zr–12Nb (б) в ходе выдержки по режиму 1 при температурах потери стабильности мартенсита.
Рис. 6. Параметры решетки мартенсита, критерий Фишера и ширина на половине высоты рентгеновских линий мартенсита (002)B19′ СПФ Ti–50.26Ni (а) и (111)α" Ti–18Zr–12Nb (б) в ходе выдержки по режиму 2 при Ткомн.
Как видно из рис. 5 и 6, во всех исследованных случаях параметры решеток мартенсита в обоих сплавах остаются постоянными в пределах погрешностей. Т. е., как B19ʹ-мартенсит в СПФ Ti–Ni, так и αʹʹ-мартенсит в СПФ Ti–Zr–Nb имеют постоянные параметры кристаллической решетки при изотермической выдержке в области температур интервала их существования от Ткомн. и выше. Кроме того, во всех случаях критерий Фишера меньше критического значения: Fкр=5.05 для СПФ Ti–50.26Ni и Fкр=3.79 для Ti–18Zr–12Nb, а ширина рентгеновских линий в ходе выдержки не возрастает. Это свидетельствует о том, что решетка мартенсита в обоих сплавах приобретает свои параметры еще до начала выдержки и сохраняет их величины постоянными, а свою сингонию совершенной, не искажающаяся в ходе изотермической выдержки.
Исследование параметров решетки мартенсита при изменении скоростей нагрева и охлаждения
Поскольку при длительных выдержках в высокотемпературной части интервала существования мартенсита не были зафиксированы какие-либо изменения решетки мартенсита, было решено ужесточить условия эксперимента, максимально ограничив время охлаждения и/или нагрева и пребывания при температуре сканирования рентгенограммы. Для этого провели эксперименты in situ и ex situ при варьировании скоростей нагрева и охлаждения. При этом температурный интервал исследований расширили в сторону низких температур до криогенных (≤–180°С). В последнем случае использовали и прямое охлаждение жидким азотом для максимальной скорости фиксации высокотемпературного состояния решетки мартенсита. Для исследования влияния скоростей нагрева и охлаждения на параметры решетки мартенсита были выбраны следующие схемы эксперимента (см. рис. 7).
Рис. 7. Схемы эксперимента по поиску скоростной зависимости параметров решетки мартенсита в СПФ Ti–50.26Ni и Ti–18Zr–12Nb: а–г – в интервале от Ткомн до температуры нестабильности мартенсита; д, е – в интервале стабильного существования мартенсита от Ткомн. до ≤ –180°С; а, д – медленные нагрев и охлаждение, б – медленный нагрев и быстрое охлаждение; в – быстрый нагрев и медленное охлаждение; г, е – быстрые нагрев и охлаждение.
В интервале от Ткомн вверх в нижнюю часть области нестабильности мартенсита:
- медленные (0.03°С/с) нагрев и охлаждение в термокамере R300 дифрактометра со съемками рентгенограмм in situ до нагрева, сразу после нагрева и сразу после охлаждения;
- медленный (0.03°С/с) нагрев, выдержка 1 ч и быстрое (6°С/с) охлаждение со съемками рентгенограмм до нагрева и после охлаждения при Ткомн;
- быстрый (6°С/с) нагрев, выдержка 1 ч и медленное (0.03°С/с) охлаждение со съемками рентгенограмм до нагрева и после охлаждения при Ткомн;
- быстрый (6°С/с) нагрев, выдержка 1 ч и быстрое (6°С/с) охлаждение со съемками рентгенограмм до нагрева и после охлаждения при Ткомн.
В интервале стабильного существования мартенсита от Ткомн вниз до ≤ –180 °С: - медленное (0.03°С/с) охлаждение и нагрев в термокамере R300 дифрактометра со съемками рентгенограмм до охлаждения, сразу после охлаждения и сразу после нагрева;
- быстрое (>50°С/с) охлаждение прямой подачей жидкого азота на образец и быстрый (>50°С/с) нагрев прямым потоком теплого (+200°С) воздуха с ускоренными (5 мин на весь спектр) съемками рентгенограмм до охлаждения, сразу после охлаждения и сразу после нагрева. При этом съемка первых линий (002)B19ʹ, (110)αʹʹ и (020)αʹʹ происходит меньше, чем за первые 50 с.
На рис. 8 представлены рентгенограммы сплава Ti–50.26Ni, снятые в ходе экспериментов по двум самым “мягким” и двум самым “жестким” схемам нагрева–охлаждения. Как видно из рис. 8, фазовый состав сплава Ti–50.26Ni представлен в основном B19ʹ-мартенситом, за исключением схемы эксперимента in situ с медленными нагревом до 70°С и охлаждением (рис. 8а), где при нагреве наблюдается появление пика {110}B2, который при последующем охлаждении до Ткомн. исчезает. При этом в экспериментах, где были проведены нагревы (рис. 8а) или охлаждения (рис. 8в, г) in situ, наблюдаются обратимые анизотропные смещения линий B19ʹ-мартенсита. Так, при нагреве до 70°С линии (020)B19ʹ и (111)B19ʹ смещаются нормально в сторону меньших углов в соответствии с обычным тепловым расширением, тогда как линии (002)B19ʹ и (11)B19ʹ смещаются в сторону больших углов, а линия (110)B19ʹ смещается незначительно. При охлаждении до –180°С наблюдаются противоположные смещения этих линий. После возвращения в исходное состояние при Ткомн угловые координаты всех линий мартенсита совпадают с исходными. Такое ʹʹаномальноеʹʹ анизотропное смещение линий, как было сказано выше, связано с анизотропным изменением соответствующих параметров решетки B19ʹ-мартенсита. В остальном рентгенограммы, полученные при одинаковой температуре, идентичны независимо от того, до или после каких режимов нагрева–охлаждения они были сняты. Следовательно, в условиях использованных скоростей нагрева-охлаждения ПРМ всегда успевают принять значения, соответствующие данной температуре.
Рис. 8. Рентгенограммы СПФ Ti–50.26Ni, полученные по схемам: а, б – в интервале от Ткомн. до 70°С, в, г – в интервале стабильного существования мартенсита от Ткомн до ≤ –180°С; а, в – медленные нагрев и охлаждение; б, г – быстрые нагрев и охлаждение.
На рис. 9 представлены рентгенограммы сплава Ti–18Zr–12Nb, снятые в ходе экспериментов по двум самым “мягким” (рис. 9а, в) и двум самым “жестким” (рис. 9б, г) схемам нагрева–охлаждения из шести. Как видно из рис. 9, фазовый состав сплава Ti–18Zr–12Nb при Ткомн. до нагрева или в интервале отрицательных температур представлен только αʹʹ-мартенситом с линиями (110)αʹʹ, (020)αʹʹ, (002)αʹʹ, (111)αʹʹ, (021)αʹʹ, (112)αʹʹ, (022)αʹʹ и (200)αʹʹ. В схемах эксперимента с нагревами до 150 °С (как на рис. 9а) наблюдается образование некоторого количества β-фазы, что следует из появления пика {200}β и увеличения интенсивности пика, создаваемого наложением (002)αʹʹ и {110}β, которое сохраняется при последующем охлаждении до Ткомн.. Однако в случае быстрого нагрева до 150°С и последующего быстрого охлаждения до Ткомн. наблюдается аномально большое количество β-фазы при значительном ослаблении пиков αʹʹ-мартенсита (см. рис. 9б). Такое поведение нетипично, воспроизводимо при повторении эксперимента, однако не имеет однозначного объяснения и требует отдельного тщательного изучения. В экспериментах с нагревом in situ (рис. 9а) или охлаждениями in situ (рис. 9в, г) наблюдается анизотропное смещение линий αʹʹ-мартенсита при изменении температуры. Так, при нагреве линии (110)αʹʹ, (112)αʹʹ и (200)αʹʹ смещаются нормально в сторону меньших углов, тогда как линии (020)αʹʹ, (111)αʹʹ, (021)αʹʹ и (022)αʹʹ смещаются в сторону больших углов. Такое анизотропное смещение линий, как и в случае СПФ Ti–Ni, является типичным, оно наблюдалось ранее в сплавах системы Ti–Zr–Nb, Ti–Nb и других титановых СПФ при нагреве-охлаждении и связано с анизотропным изменением параметров решетки αʹʹ-мартенсита. Положения же линий αʹʹ-фазы, как и в случае В19ʹ-мартенсита, при одинаковой температуре идентичны независимо от того, до или после каких режимов нагрева-охлаждения они были сняты.
Рис. 9. Рентгенограммы СПФ Ti–18Zr–12Nb, полученные по схемам: а, б – в интервале от Ткомн. до 150°С; в, г – в интервале стабильного существования мартенсита от Ткомн. до ≤ –180°С; а, д – медленные нагрев и охлаждение; б, г – быстрые нагрев и охлаждение.
Таким образом, независимо от скорости охлаждения и нагрева в пределах от 0.03 до ≥50°С/с в интервале температур от ≤ –180 до 70°С (для Ti–50.26Ni) и до 150°С (для Ti–18Zr–12Nb) рентгеновские линии мартенсита всегда успевают занять свои угловые положения, а ПРМ – свои значения, соответствующие анизотропии решетки при данной температуре.
На основании полученных по всем экспериментальным схемам рентгенограмм были определены положения пиков B19ʹ- и αʹʹ-мартенситов, рассчитаны параметры их решеток с оценкой критерия Фишера и определена ширина на половине высоты рентгеновских линий мартенсита 002B19ʹ и 111αʹʹ. Результаты расчетов и измерений представлены на рис. 10.
Рис. 10. (а) параметры решетки B19′-мартенсита a, b, c, β, объем элементарной ячейки мартенсита ω=a·b·c·sinβ, критерий Фишера (F) и ширина рентгеновской линии B002B19′ СПФ Ti–50.26Ni; (б) параметры решетки α"-мартенсита a, b, c, объем элементарной ячейки мартенсита ω=a·b·c, критерий Фишера (F) и ширина рентгеновской линии B111α" СПФ Ti–18Zr–12Nb, полученные по разным схемам нагрева–охлаждения.
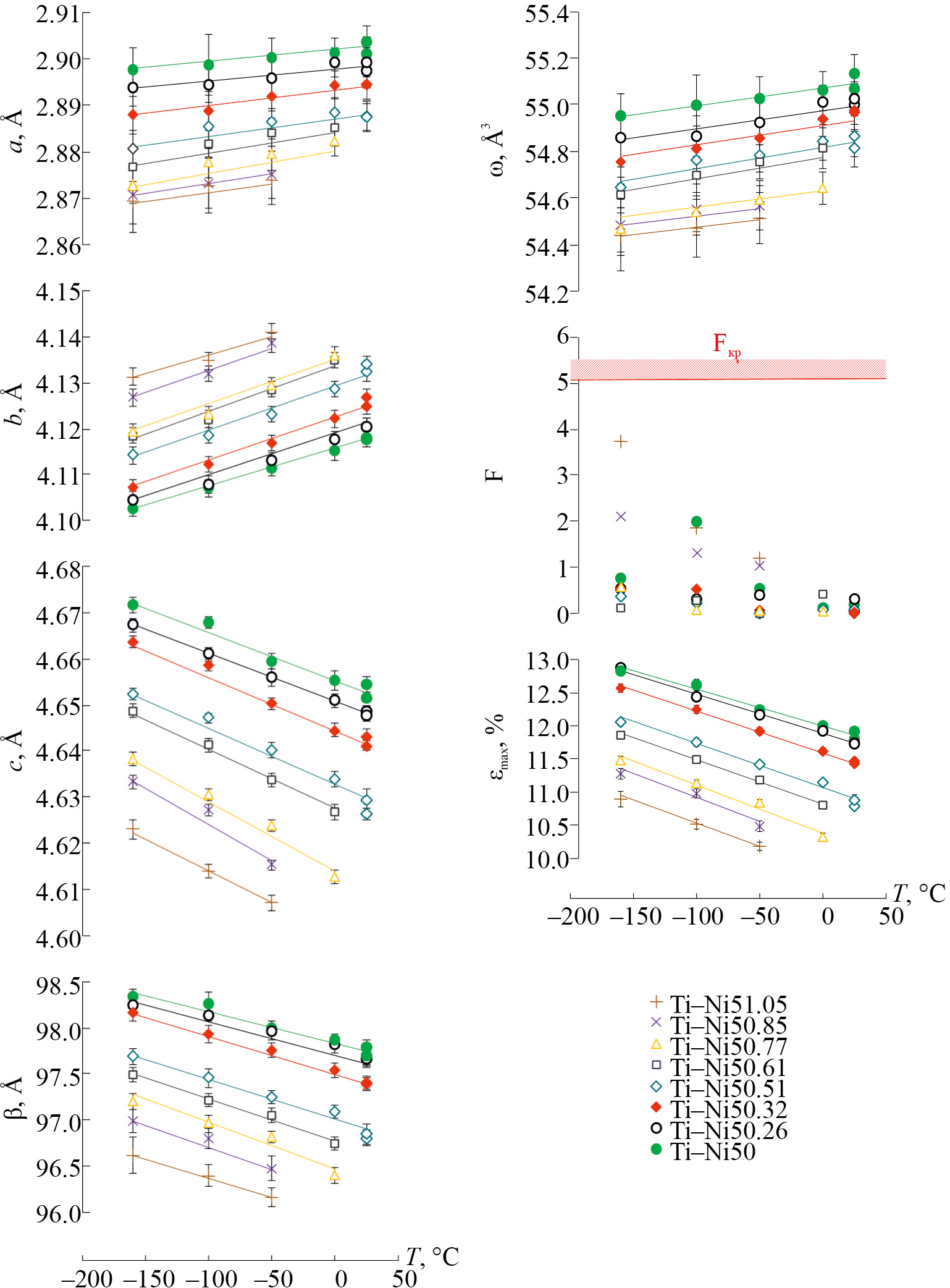
Как видно из рис. 10а, изменение температуры в экспериментах in situ приводит к анизотропному изменению параметров решетки B19ʹ-мартенсита в СПФ Ti–Ni: параметры a и b увеличиваются при нагреве, тогда как параметр с и угол β уменьшаются. При этом объем элементарной ячейки ω нормально увеличивается при нагреве. Такое анизотропное поведение наблюдалось и ранее и характерно для сплавов Ti–Ni [3, 15]. Например, на рис. 11 представлены результаты расчетов температурных зависимостей ПРМ, критерия Фишера F и кристаллографического ресурса обратимой деформации εmax закаленных сплавов Ti–Ni в практически значимом интервале концентраций от 50.00 до 51.05% Ni, проведенных по рентгенограммам из работы [3]. Температурные зависимости ПРМ для СПФ Ti–50.26Ni, представленные на рисунке 10а, хорошо соответствуют этим данным.
Рис. 11. Температурные зависимости параметров решетки B19′-мартенсита, критерия Фишера F и максимальной деформации решетки εmax при B2↔B19′-превращении в закаленных от 700°С сплавах Ti–(50.0–51.05)% Ni. Расчет по рентгенограммам из работы [3].
Во всех экспериментах с разными скоростями нагрева–охлаждения получаемые значения параметров решетки B19ʹ-мартенсита в пределах погрешности совпадают, что свидетельствует об отсутствии их скоростной зависимости в исследуемых пределах скоростей нагрева–охлаждения от 0.03 до 50°С/с. Во всех экспериментах критерий Фишера F не превышает 2, что гораздо меньше, чем Fкр=5.05. Это означает, что решетка мартенсита сохраняет свою неискаженную сингонию в ходе всего эксперимента. Кроме того, ширина линии B002B19ʹ≈0.3° остается неизменной в ходе всего эксперимента, даже при 70°С, когда мартенсит теряет свою стабильность и начинает частично превращаться в B2-аустенит. Это означает отсутствие появления и развития локальных смещений в B19ʹ-мартенсите (например, предположенных в [28] флуктуационных доменов с решеткой высокотемпературной β-фазы), т. е. предпереходных явлений, при подходе к обратному B19ʹ→B2-мартенситному превращению. Ведь, как было показано в случае бинарных сплавов Ti–Ni, приближение к температуре Мs “сверху” в B2-аустените приводит к значительному уширению линий {110} этого аустенита: она увеличивается на 25% [8, 13, 14, 17, 29, 34, 35].
Такое уширение обусловлено развитием предмартенситных искажений решетки B2-аустенита, вызванных образованием наноразмерных доменов – промежуточных структур сдвига, которые в последующем станут кристаллами мартенсита, что было убедительно показано в [8, 13, 14, 17, 34, 35]. Следовательно в случае обратного мартенситного превращения можно сделать заключение, что если ширина рентгеновских линий мартенсита (002)B19ʹ в СПФ Ti–50.26Ni и (111)αʹʹ в Ti–18Zr–12Nb остается постоянной, то это свидетельствует об отсутствии формирования локальных аустенитоподобных смещений или кластеров решетки аустенита в решетке мартенсита. Таким образом, можно сделать вывод о сохранении совершенной, неискаженной сингонии решетки B19ʹ-мартенсита при стремлении ее параметров к соответствующим параметрам решетки аустенита. При этом с приближением к температуре Аs (как и при удалении от нее) и при выходе в интервал Аs–Аf решетки непревращенных кристаллов мартенсита претерпевают постепенную однородную деформацию, приобретая параметры решетки, соответствующие данной температуре.
Аналогичная ситуация наблюдается и в случае сплава Ti–Zr–Nb. Так, из рис. 10б видно, что повышение температуры в экспериментах in situ приводит к увеличению параметра a решетки αʹʹ-мартенсита, тогда как параметр b уменьшается, а c, изначально близкий к параметру c β-фазы – не изменяется в пределах погрешности. Объем ω элементарной ячейки αʹʹ-мартенсита нормально увеличивается при нагреве. Такое “аномальное” поведение параметров решетки αʹʹ-мартенсита характерно для сплавов системы Ti–Zr–Nb [6, 20, 21]. При этом значения параметров решетки αʹʹ-мартенсита, полученные при разных скоростях и по разным схемам нагрева–охлаждения, совпадают между собой в пределах погрешности при каждой температуре в исследованном диапазоне. Таким образом, отсутствует скоростная зависимость параметров решетки αʹʹ-мартенсита в исследуемых условиях. Критерий F не превышает Fкр=3.79. Только в одном случае F=4, что незначительно превышает Fкр. При этом в ходе всех проведенных экспериментов ширина рентгеновской линии (111)αʹʹ мала и остается постоянной B111αʹʹ≈0.3°, что также свидетельствует об отсутствии значимых локальных смещений в αʹʹ-мартенсите даже в области начала обратного αʹʹ→β-мартенситного превращения. Иными словами, и решетка αʹʹ-мартенсита сохраняет свою неискаженную сингонию.
Таким образом, и β-фаза, как и B2-фаза в сплаве Ti–Ni, образуется из αʹʹ-мартенсита без предпереходных явлений в ходе обратного превращения, а до начала превращения каждый кристалл мартенсита претерпевает постепенную однородную деформацию параметров своей решетки в сторону соответствующих параметров решетки β-фазы, при этом без явного инкубационного периода.
Такое превращение при нагреве без предпереходных явлений и образования зародышей новой фазы не является уникальным, как и стремление параметров решетки низкотемпературной фазы к “генетически” связанным параметрам высокотемпературной фазы. На основе рентгенограмм из работы [3] были получены температурные зависимости долей R-фазы и B2-аустенита при нагреве сплава Ti–50.61Ni после ТМО по режиму е=1.7 +450 °С, 1 ч, а также определены координаты линий (330)R, (30)R, (444)R, (550)R и (50)R и ширина рентгеновских линий (444)R, (550)R R-фазы (рис. 12). Линии (444)R и (550)R R-фазы свободны от наложения пиков других фаз, и их ширина связана непосредственно с особенностями кристаллической решетки R-фазы.
Рис. 12. Температурные зависимости долей R-фазы и B2-аустенита (а) (○, △) – исходное состояние после закалки при Ткомн перед последующим глубоким охлаждением (•, ▲) – после глубокого охлаждения и в ходе последующего отогрева, угловых координат линий (330)R, (30)R, (444)R, (550)R и (50)R (б) и ширины рентгеновских линий (444)R, (550)R (в) R-фазы сплава Ti-50.61Ni после е=1.7 +450 °С, 1 ч. На основе рентгенограмм, полученных в работе [3].
Как видно из рис. 12, при температурах ниже –60°С количество R-фазы практически не меняется, тогда как при нагреве выше этой температуры развивается R→B2-превращение. Во всем интервале исследуемых температур наблюдается анизотропное смещение линий R-фазы: линии (330)R, (444)R и (550)R смещаются в сторону больших углов при нагреве, тогда как линии (30)R и (50)R смещаются в сторону меньших углов. Причем такое смещение становится более выраженным при достижении температур R→B2-превращения, которое начинается в интервале между –60 и –20°С, и при достижении верхней точки эксперимента (+60°С) доля R-фазы составляет 20%.
Как и в случае B19ʹ-мартенсита, такое анизотропное смещение линий, отвечающее уменьшению ромбоэдрического искажения решетки, свидетельствует о стремлении параметров решетки R-фазы к соответствующим “генетически” связанным параметрам решетки B2-аустенита. При этом полного совпадения компонент пар линий (330)R – (30)R и (550)R – (50)R не происходит вплоть до исчезновения R-фазы. Во время нагрева до начала R→B2-превращения и до захвата им половины объема ширина рентгеновских линий (444)R и (550)R R-фазы не изменяется и остается такой же, как и у чистой R-фазы при –180°С, что свидетельствует об однородности деформации ее решетки и отсутствии предпереходных явлений и образования нанодоменов с решеткой B2-фазы в ходе этого превращения. Т. е. поведение решеток B19ʹ-мартенсита и R-мартенсита в сплавах на основе Ti–Ni и αʹʹ-мартенсита в сплавах системы Ti–Zr–Nb в этом аспекте аналогично и носит в разной степени черты превращения II рода.
Важно отметить, что не следует путать однородное непрерывное и обратимое изменение решетки мартенсита при стремлении параметров решетки мартенсита к соответствующим связанным с ними параметрам решетки аустенита до начала обратного превращения с предложенным Ahadi и Sun в [36] и опровергнутом в [37, 38] механизмом, включающим неоднородное непрерывное изменение решетки непосредственно в ходе самого мартенситного превращения.
Кроме того, интересно, что расчет ширины линий (020) и (200) αʹʹ-фазы сплава Ti–22Nb по их рентгеновским (синхротронным) профилям, приведенным в работе [28], в которой был предложен флуктуационный механизм анизотропных изменений решетки αʹʹ-мартенсита, также свидетельствует о неизменности ширины линий в интервале от –170 до 130°С (рис. 13). В то же время в этом интервале наблюдается анизотропное смещение линий αʹʹ-фазы: при нагреве линия (020)αʹʹ смещается в сторону меньших углов, тогда как линия (200)αʹʹ – в сторону больших.
Рис. 13. Температурные зависимости угловых координат (а) и ширины (б) рентгеновских линий (020) и (200) α"-фазы сплава Ti–22Nb. На основании данных из [28].
ВЫВОДЫ
По результатам исследования поведения кристаллических решеток низкотемпературных (мартенситных) фаз СПФ Ti–50.26 Ni (ат. %) и Ti–18Zr–12Nb (ат.%) при нагреве-охлаждении с разными скоростями в интервале температур от ≤ –180°С (значительно ниже Мf) до температуры частичного обратного превращения, то есть потери стабильности мартенситом (соответственно 70°С и 150°С), а также при изотермических выдержках, можно сделать следующие выводы:
- При нагреве–охлаждении в исследованном диапазоне температур происходит обратимое анизотропное изменение параметров решетки мартенсита (ПРМ) В19'-фазы в Ti–50.26 Ni и αʹʹ-фазы в Ti–18Zr–12Nb. Анизотропия изменения параметров решетки мартенсита при нагреве такова, что они стремятся к “генетически” связанным с ними параметрам решетки высокотемпературной фазы (В2 и β), но не достигают их к моменту обратного превращения (кроме параметра с в Ti–18Zr–12Nb, который изначально близок к соответствующему параметру решетки β-фазы).
- Параметры решетки мартенсита обратимы во всем исследованном интервале температур при различных комбинациях скоростей нагрева и охлаждения (от 0.03°C/с до >50°C/с), величины ПРМ не зависят от времени рентгеновской съемки или выдержки при данной температуре в интервале существования мартенсита. Это справедливо даже для температуры –180°С, при которой диффузионные и другие релаксационные процессы не реализуются в этих сплавах, а соответствующие этой температуре ПРМ успевают установиться даже при резкой закалке от Ткомн.. Можно предположить, что ПРМ принимают соответствующие данной температуре значения сразу по достижении этой температуры (без инкубационного периода).
- Ширина рентгеновских линий мартенсита (В002В19' и В111αʹʹ) и форма их профиля при любых комбинациях скоростей нагрева и охлаждения и временах выдержки в исследованных пределах не изменяются. Это указывает на отсутствие явлений, подобных предмартенситным, приводящим к обратимому уширению рентгеновских линий аустенита с приближением к точке Мs в области формирования нанодоменов промежуточной структуры сдвига. Величина критерия Фишера (F), определяющего приемлемость решения задачи расчета параметров решетки мартенсита в рамках принятых типов решетки (моноклинной для В19' и орторомбической αʹʹ), нигде не превышает критическую. Это также свидетельствует о сохранении неискаженной сингонии решетки мартенсита и изменении решетки как целого – путем постепенного однородного сдвига – при приближении к интервалу обратного его превращения. Признаки реализации флуктуационной модели развития анизотропных изменений ПРМ отсутствуют.
Исследование выполнено за счет гранта Российского научного фонда № 21-73-10167, https://rscf.ru/project/21-73-10167/ (термомеханическая обработка, проведение рентгенографических исследований) и Программы стратегического академического лидерства ʹʹПриоритет-2030ʹʹ НИТУ МИСИС К6-2023-001 (получение слитков сплавов и их предварительная обработка).
Авторы данной работы заявляют, что у них нет конфликта интересов.
About the authors
S. M. Dubinskiy
The National University of Science and Technology MISIS
Author for correspondence.
Email: dubinskiy.sm@misis.ru
Russian Federation, Moscow, 119049
A. P. Baranova
The National University of Science and Technology MISIS
Email: dubinskiy.sm@misis.ru
Russian Federation, Moscow, 119049
O. V. Strachov
The National University of Science and Technology MISIS
Email: dubinskiy.sm@misis.ru
Russian Federation, Moscow, 119049
I. V. Shchetinin
The National University of Science and Technology MISIS
Email: dubinskiy.sm@misis.ru
Russian Federation, Moscow, 119049
A. I. Bazlov
The National University of Science and Technology MISIS
Email: dubinskiy.sm@misis.ru
Russian Federation, Moscow, 119049
A. V. Korotitskiy
The National University of Science and Technology MISIS; Moscow Polytechnic University
Email: dubinskiy.sm@misis.ru
Russian Federation, Moscow, 119049; Moscow, 107023
S. D. Prokoshkin
The National University of Science and Technology MISIS
Email: dubinskiy.sm@misis.ru
Russian Federation, Moscow, 119049
References
- Miyazaki S., Kimura S., Otsuka K., Suzuki Y. The habit plane and transformation strains associated with the martensitic transformation in ti-ni single crystals // Scripta Metal. 1984. V. 18. P. 883–888.
- Saburi T., Yoshida M., Nenno S. Deformation Behavior of Shape Memory Ti–Ni Alloy Crystals // Scripta Metal. 1984. V. 18. P. 363–366.
- Прокошкин С.Д., Коротицкий А.В., Браиловский В., Инаекян К.Э., Дубинский С.М. Кристаллическая решетка мартенсита и ресурс обратимой деформации термически и термомеханически обработанных сплавов Ti–Ni с памятью формы // ФММ. 2011. Т. 112. С. 180–198.
- Kim H.Y., Miyazaki S. Martensitic transformation and superelastic properties of Ti–Nb based alloys // Mater. Trans. 2015. V. 56. P. 625–634.
- Dubinskiy S., Prokoshkin S., Brailovski V., Inaekyan K., Korotitskiy A. In situ x-ray diffraction strain-controlled study of Ti–Nb–Zr and Ti–Nb–Ta shape memory alloys: crystal lattice and transformation features // Materials Characterization. 2014. V. 88. P. 127–142.
- Konopatsky A., Dubinskiy S., Zhukova Y., Sheremetyev V., Brailovski V., Prokoshkin S.D., Filonov M.R. Ternary ti-zr-nb and quaternary Ti–Zr–Nb–Ta shape memory alloys for biomedical applications: structural features and cyclic mechanical properties // Mater. Sci. Eng. A. 2017. V. 702. P. 301–311.
- Пушин В.Г., Муслов С.А., Хачин В.Н. Рентгенографическое и электронно-микроскопическое исследование B2-соединений на основе TiNi // ФММ. 1987. Т. 64. С. 802–808.
- Пушин В.Г., Хачин В.Н., Кондратьев В.В., Myслов С.А., Павлова С.П. Структура и свойства В2 соединений титана. I. Предмартенситные Явления // ФММ. 1988. Т. 66. С. 350–358.
- Хачин В.Н., Пушин В.Г., Кондратьев В.В. Никелид титана: структура и свойства: М.: Наука, 1992. 160 с.
- Пушин В.Г., Хачин В.Н., Иванова Л.Ю., Воронин В.П., Юрченко Л.И. Особенности микроструктуры и фазовых превращений в тройных сплавах Ti50Ni50-XCox с эффектом памяти формы. II. Ромбоэдрический Мартенсит // ФММ. 1994. Т. 77. С. 130–141.
- Миронов Ю.П., Кульков С.Н. Исследование мартенситного превращения в TiNi методом рентгенодифракционного кино // Изв. вузов. Физика. 1994. Т. 37. С. 49–54.
- Пушин В.Г., Хачин В.Н., Юрченко Л.И., Муслов С.А., Иванова Л.Ю., Соколова А.Ю. Микроструктура и физические свойства сплавов системы с эффектами памяти формы. Сообщение II. Упругие Свойства // ФММ. 1995. Т. 79. С. 70–76.
- Пушин В.Г., Кондратьев В.В., Хачин В.Н. Предпереходные явления и мартенситные превращения. Екатеринбург: УрО РАН, 1998, 368 с.
- Prokoshkin S.D., Brailovski V., Turenne S., Khmelevskaya I.Y., Korotitskiy A.V., Trubitsyna I.B. Concentration, temperature and deformation dependences of martensite lattice parameters in binary Ti–Ni shape memory alloys // J. Phys. IV. 2003. V. 112. P. 651–654.
- Prokoshkin S., Korotitskiy A., Brailovski V., Turenne S., Khmelevskaya I.Y., Trubitsyna I.B. On the lattice parameters of phases in binary Ti–Ni shape memory alloys // Acta Mater. 2004. V. 52. P. 4479–4492.
- Пушин В.Г., Прокошкин С.Д., Валиев Р.З., Браиловский В., Валиев Э.З., Волков А.Е., Глезер А.М., Добаткин С.В., Дударев Е.Ф., Жу Ю.Т., Зайнулин Ю.Г., Колобов Ю.Р., Кондратьев В.В., Королев А.В., Коршунов А.И., Коуров Н.И., Кудреватых Н.В., Лотков А.И., Мейснер Л.Л., Попов А.А., Попов Н.Н., Разов А.И., Хусаинов М.А., Чумляков Ю.И., Андреев С.В., Батурин А.А., Беляев С.П., Гришков В.Н., Гундеров Д.В., Дюпин А.П., Иванов К.В., Итин В.И., Касымов М.К., Кашин О.А., Киреева И.В., Козлов А.И., Кунцевич Т.Э., Куранова Н.Н., Пушина Н.Ю., Рыклина Е.П., Уксусников А.Н., Хмелевская И.Ю., Шеляков А.В., Шкловер В.Я., Шорохов Е.В., Юрченко Л.И. Сплавы никелида титана с памятью формы. Ч. 1. Структура, Фазовые Превращения и Свойства. Екатеринбург: УрО РАН, 2006.
- Гундырев B.М., Зельдович В.И., Коротицкий А.В., Прокошкин С.Д., Федоров С.В. Низкотемпературное рентгенографическое исследование концентрационных и температурных зависимостей параметров решетки мартенсита бинарных сплавов Ti–Ni // Изв. РАН. Серия физическая. 2006. Т. 70. С. 1349–1354.
- Bönisch M., Panigrahi A., Stoica M., Calin M., Ahrens E., Zehetbauer M., Skrotzki W., Eckert J. Giant thermal expansion and α-precipitation pathways in Ti-alloys // Nature Comm. 2017. V. 8. P. 1429.
- Prokoshkin S.D., Korotitskiy A.V., Gundyrev V.M., Zeldovich V.I. Low-temperature X-ray diffraction study of martensite lattice parameters in binary Ti–Ni alloys // Mater. Sci. Eng. A. 2008. V. 481. P. 489–493.
- Petrzhik M.I., Fedotov S.G. Thermal Stability and Dynamics of Martensitic Structure in Ti – (Ta, Nb) Alloys // Proc. XVI Conf. on Applied Crystallography World Sci. Publ. 1995. P. 273–276.
- Khromova L.P., Dyakonova N.B., Rodionov Y.L., Yudin G.V., Korms I. Martensitic transformations, thermal expansion and mechanical properties of titanium-niobium alloys // J. Phys. IV. 2003. V. 112. P. 1051–1054.
- Дьяконова Н.Б., Лясоцкий И.В., Родионов Ю.Л. Исследование орторомбического мартенсита и со-фазы в закаленных и деформированных сплавах титана с 20–24 ат.% Nb // Металлы. 2007. № 1. С. 61–70. [D’yakonova N.B., Lyasotskii I.V., Rodionov Y.L. Orthorhombic martensite and the ω phase in quenched and deformed titanium alloys with 20–24 at% Nb // Russian Metallurgy (Metally). 2007. № 1. P. 51–58.]
- Qiu S., Krishnan V.B., Padula S.A., Noebe R.D., Brown D.W., Clausen B., Vaidyanathan R. Measurement of the lattice plane strain and phase fraction evolution during heating and cooling in shape memory NiTi // Appl. Phys. Letters. 2009. V. 95. P. 141906.
- Monroe J.A., Gehring D., Karaman I., Arroyave R., Brown D.W., Clausen B. Tailored thermal expansion alloys // Acta Mater. 2016. V. 102. P. 333–341.
- Ahadi A., Matsushita Y., Sawaguchi T., Sun Q.P., Tsuchiya K. Origin of zero and negative thermal expansion in severely-deformed superelastic NiTi alloy // Acta Mater. 2017. V. 124. P. 79–92.
- Ahadi A., Khaledialidusti R., Kawasaki T., Harjo S., Barnoush A., Tsuchiya K. Neutron diffraction study of temperature-dependent elasticity of B19ʹ NiTi-elinvar effect and elastic softening // Acta Mater. 2019. V. 173. P. 281–291.
- Li Q., Deng Z., Onuki Y., Wang W., Li L., Sun Q. In-Plane low thermal expansion of NiTi via controlled cross rolling // Acta Mater. 2021. V. 204. P. 116506.
- Gehring D., Ren Y., Barghouti Z., Karaman I. In-situ investigation of anisotropic crystalline and bulk negative thermal expansion in titanium alloys // Acta Mater. 2021. V. 210. P. 116847.
- Kim H.Y., Wei L., Kobayashi S., Tahara M., Miyazaki S. Nanodomain structure and its effect on abnormal thermal expansion behavior of a Ti-23Nb-2Zr-0.7Ta-1.2O alloy // Acta Mater. 2013. V. 61. P. 4874–4886.
- Nelson J.B., Riley D.P. An experimental investigation of extrapolation methods in the derivation of accurate unit-cell dimensions of crystals // Proceed. Phys. Soc. 1945. V. 57. P. 160–177.
- Prokoshkin S., Brailovski V., Inaekyan K., Korotitskiy A., Kreitcberg A. Thermomechanical treatment of Ti–Ni intermetallic-based shape memory alloys. Mater. Sci. Found. 2015. V. 81. P. 260–341.
- Montgomery D.C. Design and analysis of experiments // John Wiley & Sons, 1983. 649 с.
- Куранова Н.Н., Гундеров Д.В., Уксусников А.Н., Лукьянов А.В., Юрченко Л.И., Прокофьев Е.А., Пушин В.Г., Валиев Р.З. Влияние термообработки на структурные и фазовые превращения и механические свойства сплава TiNi, подвергнутого интенсивной пластической деформации кручением // ФММ. 2009. Т. 108. С. 589–601. [Kuranova N.N., Gunderov D.V., Uksusnikov A.N., Luk’Yanov A.V., Yurchenko L.I., Prokof’Ev E.A., Pushin V.G., Valiev R.Z. Effect of heat treatment on the structural and phase transformations and mechanical properties of TiNi alloy subjected to severe plastic deformation by torsion // Phys. Met. Metal. 2009. V. 108. P. 556–568.]
- Зельдович В.И., Пушин В.Г., Фролова Н.Ю., Хачин В.Н., Юрченко Л.И. Фазовые превращения в сплавах никелида титана. I. Дилатометрические Аномалии // ФММ. 1990. С. 90–96.
- Pushin V.G. Structures, properties, and application of nanostructured shape memory TiNi‐based alloys // Proceed. Nanomater. Severe Plastic Deformation. 2004. P. 822–828.
- Ahadi A., Sun Q. Stress-induced nanoscale phase transition in superelastic NiTi by in situ x-ray diffraction // Acta Mater. 2015. V. 90. P. 272–281.
- Prokoshkin S., Dubinskiy S., Korotitskiy A., Konopatsky A., Sheremetyev V., Shchetinin I., Glezer A., Brailovski V. Nanostructure features and stress-induced transformation mechanisms in extremely fine-grained titanium nickelide // J. Alloys and Compounds. 2019. V. 779. P. 667–685.
- Dubinskiy S., Prokoshkin S., Sheremetyev V., Konopatsky A., Korotitskiy A., Tabachkova N., Blinova E., Glezer A., Brailovski V. The mechanisms of stress-induced transformation in ultimately fine-grained titanium nickelide, and critical grain size for this transformation // J. Alloys and Compounds. 2021. V. 858. P. 157733.
Supplementary files















