Remagnetization of finite-length ferromagnetic cobalt atomic chains
- Authors: Kolesnikov S.V.1, Sapronova E.S.1, Saletsky A.M.1
-
Affiliations:
- Lomonosov Moscow State University
- Issue: Vol 125, No 7 (2024)
- Pages: 779-789
- Section: ЭЛЕКТРИЧЕСКИЕ И МАГНИТНЫЕ СВОЙСТВА
- URL: https://journals.rcsi.science/0015-3230/article/view/279655
- DOI: https://doi.org/10.31857/S0015323024070013
- EDN: https://elibrary.ru/JSDRKM
- ID: 279655
Cite item
Full Text
Abstract
The remagnetization mechanisms of finite-length ferromagnetic cobalt atomic chains at the Pt(664) surface have been investigated. It has been found that the remagnetization of short chains occurs due to the simultaneous flipping of all magnetic moments. At longer chain lengths, remagnetization occurs through the formation of a Neel-type anti-clockwise domain wall. The remagnetization of long chains can be achieved through both the formation of anti-clockwise and clockwise domain walls. The energy barriers for remagnetization of atomic chains with lengths ranging from 5 to 100 atoms have been calculated using the geodesic nudged elastic band method. In the framework of the harmonic approximation of the transition state theory, frequency prefactors have been calculated. A non-monotonic and sufficiently strong dependence of the frequency prefactors on both the chain length and an external magnetic field has been identified. The magnetization curves of Co atomic chains have been constructed, and the residual magnetization values and coercive force of the chains have been determined. The dependences of the coercive force on the chain length, temperature, and remagnetization rate of the magnetic field have been analyzed.
Keywords
Full Text
ВВЕДЕНИЕ
Атомные цепочки на поверхностях металлов обладают уникальными физическими свойствами [1, 2] и могут быть использованы в спинтронике [3], для осуществления квантовой передачи [4, 5] и хранения [6] информации. Активное исследование свойств атомных цепочек началось после открытия гигантской магнитной анизотропии атомов Co на поверхности Pt(997) [7]. В последнее время большое внимание уделяется исследованию взаимодействия Дзялошинского–Мория (DMI) [8, 9] в атомных цепочках. DMI может приводить как к неколлинеарности основного состояния [10, 11], так и изменять энергии возбужденных состояний [12].
Бесконечно длинная цепочка атомов Co на поверхности Pt(664) была теоретически исследована в рамках теории функционала плотности [12]. Найденные в этой работе параметры эффективного гамильтониана можно использовать для вычисления времени спонтанного перемагничивания атомных цепочек Co конечной длины [13]. В работе [14] было показано, что энергетические барьеры для перемагничивания атомной цепочки могут быть с высокой точностью вычислены в рамках непрерывной XY-модели, а основное и возбужденные состояния цепочки могут быть представлены в виде суперпозиции доменных и антидоменных стенок. При этом предполагали, что частотные префакторы не зависят от длины цепочки. В данной работе мы откажемся от этого предположения и определим зависимость не только энергетических барьеров, но и частотных префакторов от длины цепочки и величины внешнего магнитного поля, а также обсудим вопрос о построении кривых намагничивания.
ТЕОРЕТИЧЕСКАЯ МОДЕЛЬ
Магнитные свойства атомных цепочек конечной длины могут быть описаны в рамках модели Гейзенберга. В классическом пределе можно говорить об определенном направлении магнитных моментов атомов и характеризовать их единичными векторами si, si2 =1.
Атомная цепочка, находящаяся во внешнем магнитном поле, может быть описана эффективным гамильтонианом
, (1)
где первое слагаемое
(2)
описывает обменное взаимодействие атомов. Здесь J > 0 — обменный интеграл, D — вектор Дзялошинского–Мория. Второе слагаемое в (1) представляет собой энергию магнитокристаллической анизотропии (ЭМА) и может быть записано в виде:
, (3)
где y и z — оси легкого и тяжелого намагничивания, коэффициенты K и E положительны, причем K > E. Атомы кобальта расположены вдоль оси x, как показано на рис. 1a, на одинаковом расстоянии a друг от друга. Предполагается, что вклад (3) не связан с диполь-дипольным взаимодействием, которое учитывается отдельно путем добавления слагаемого
, (4)
где – радиус-вектор, соединяющий i-й и j-й атомы, , µ — магнитный момент атома. Последнее слагаемое в (1) описывает зеемановское взаимодействие атомов цепочки с внешним магнитным полем B:
. (5)
Далее будем считать, что вектор B направлен вдоль оси легкого намагничивания y.
Для бесконечно длинной цепочки из атомов Co на поверхности Pt(664) методом функционала плотности были найдены следующие параметры гамильтониана (1) [12]: J = 61.8 мэВ, K = 1.31 мэВ, E = 0.34 мэВ, D = |D| = 1.92 мэВ, α = 131◦ и µ = 2.39 µB. Полный магнитный момент µ складывается из спинового 2.20 µB и орбитального 0.19 µB магнитных моментов, что соответствует значениям S = 1.1 и L = 0.19 спинового и орбитального квантовых чисел. Соответствующий этим значениям фактор Ланде имеет величину g = 1.85. Расстояние a между атомами кобальта равно 2.82 Å.
Поскольку для системы Co/Pt(664) выполняется неравенство K > E, магнитным моментам энергетически выгодно находиться в плоскости xy, в которой лежит и цепочка атомов. При отсутствии внешнего магнитного поля (B = 0) перемагничивание атомной цепочки существенно зависит от ее длины [13, 14]. В коротких цепочках магнитные моменты поворачиваются одновременно, как схематически показано на рис. 1б. В более длинных цепочках перемагничивание происходит за счет формирования доменной стенки Нееля на одном из концов цепочки и последующего движения этой стенки к противоположному концу цепочки. Два возможных типа таких стенок показаны на рис. 1в и рис. 1г. Если смотреть на направление магнитных моментов, двигаясь вдоль цепочки слева направо, то магнитные моменты поворачиваются либо по часовой стрелке (рис. 1г), либо против часовой стрелки (рис. 1в). Далее мы будем называть их доменной и антидоменной стенкой соответственно. Взаимодействие Дзялошинского–Мория приводит к тому, что энергия формирования антидоменной стенки оказывается ниже, чем доменной [15]. Другим следствием взаимодействия Дзялошинского–Мория является отклонение магнитных моментов от оси легкого намагничивания на концах цепочки [14, 16].
Рис. 1. Схематичное изображение атомной цепочки и осей координат. Вектор D лежит в плоскости yz. Вектор B направлен вдоль оси легкого намагничивания y (a). Схематичные изображения одновременного переворота магнитных моментов при перемагничивании короткой цепочки (б) и образования доменных стенок Нееля при перемагничивании длинной цепочки (в, г).
Для вычисления энергетических барьеров ∆E для перемагничивания атомной цепочки используется геодезический метод упругой ленты (the geodesic nudged elastic band (GNEB) method) [17, 18]. Метод GNEB позволяет с высокой точностью определить единичные векторы для локальных минимумов и седловых точек эффективного гамильтониана (1). Энергетический барьер ∆E вычисляется как разность энергий в седловой точке и локальном минимуме. Тогда частоту перехода из одного локального минимума в другой можно вычислить в рамках теории переходного состояния (ТПС) [18, 19]:
(6)
где T — температура системы, k — постоянная Больцмана, ν0 — частотный префактор. В гармоническом приближении ТПС частотный префактор вычисляется как [18, 20, 21, 22]:
(7)
где и — упорядоченные по убыванию собственные значения матрицы Гессе гамильтониана (1), вычисленные в локальном минимуме и в седловой точке, соответственно. Коэффициенты вычисляются по формуле [18]:
(8)
где — нормированные собственные векторы гессиана, соответствующие собственным значениям (); — 3N-мерный вектор, составленный из векторов в седловой точке; — гиромагнитное отношение. Найденные по формуле (6) частоты перемагничивания цепочки используются далее для вычисления кривых намагничивания.
Здесь важно отметить, что мы рассматриваем атомные цепочки конечной длины (от 5 до 100 атомов) при наличии двухосной магнитокристаллической анизотропии (3). Такая система не инвариантна ни относительно сдвигов, ни относительно вращений. Поэтому все собственные значения гессиана ( и ) отличны от нуля.
Обсудим пределы применимости теории, описываемой гамильтонианом (1). При записи эффективного гамильтониана мы заменили операторы спина на единичные векторы si. Таким образом, квантовые эффекты, которые могут возникнуть в цепочке атомов, не учитываются. Одним из таких эффектов является туннельный эффект при перемагничивании цепочки, который можно учесть в квазиклассическом приближении [23]. Численные оценки [24] показывают, что учет этого эффекта для атомных цепочек на поверхности металла имеет смысл лишь при температурах ниже 1 К.
С другой стороны, мы считаем, что атомная цепочка находится в ферромагнитном состоянии, т.е. ее температура ниже критической. Для оценки критической температуры был использован канонический метод Монте-Карло (алгоритм Метрополиса) [25, 26]. В отсутствие внешнего магнитного поля основное состояние цепочки из атомов Co является двукратно вырожденным, поэтому в качестве параметра порядка выберем средний модуль проекции намагниченности на ось легкого намагничивания |My|. Для макроскопической системы (N → ∞) параметр порядка обращается в нуль при критической температуре, а величина −d |My| dT стремится к бесконечности [27]. Для атомной цепочки конечной длины |My| не обращается в нуль ни при какой температуре, однако критическую температуру можно оценить по максимуму величины −d |My| dT [28]. На рис. 2 показаны зависимости величин |My| и −d |My| dT от температуры. Моделирование методом Монте-Карло (МК) проведено в температурном интервале от 2.5 до 100 К с шагом 2.5 К. Для достижения статистической независимости точек моделирование при каждой температуре начинали со случайной ориентации магнитных моментов. Затем выполняли 107 МК-шагов для достижения термодинамического равновесия и еще 5·109 МК-шагов для вычисления среднего значения |My|. Погрешность среднего значения |My| не превышает размера точек на рис. 2. Из рисунка видно, что критическую температуру цепочки из 100 атомов Co можно оценить как (40±2.5) К. Отметим, что широко распространены и другие способы оценки критической температуры [26]: по максимуму теплоемкости, магнитной восприимчивости, или с использованием кумулянтов Биндера четвертого порядка. Все эти методы дают одинаковое значение критической температуры лишь в термодинамическом пределе (N → ∞). Для системы, состоящий из конечного, тем более небольшого, числа атомов оценки критической температуры разными методами дают несколько разные результаты. Поэтому к приведенной выше оценке критической температуры следует относиться как к оценке по порядку величины.
Рис. 2. Зависимость среднего модуля проекции намагниченности на ось легкого намагничивания |My| и производной −d |My| dT от температуры T.
Таким образом, мы приходим к выводу, что рассматриваемая модель справедлива в диапазоне температур от 1 до нескольких десятков К.
Кроме того, в гамильтониане (1) мы пренебрегаем обменным взаимодействием между атомами, находящимися на расстоянии вторых ближайших соседей, а также возможным изменением параметров J, K, E, D, µ на концах цепочки [29].
РЕЗУЛЬТАТЫ И ОБСУЖДЕНИЕ
В случае ненулевого магнитного поля, направленного вдоль оси легкого намагничивания (By > 0), основным состоянием цепочки является конфигурация, при которой большинство магнитных моментов сонаправлено с осью y (конфигурация min 1 на рис. 3). Далее будем говорить, что в этой конфигурации магнитные моменты направлены “вверх”, хотя это и не совсем верно для крайних атомов. Состояние, в котором большинство магнитных моментов направлено против оси y (конфигурация min 2 на рис. 3) является метастабильным состоянием при не слишком сильном внешнем поле. Для краткости будем говорить, что в этом состоянии магнитные моменты направлены “вниз”. Так же, как и в случае отсутствия внешнего магнитного поля [13, 14], взаимодействие Дзялошинского–Мория приводит к “подкручиванию” магнитных моментов на краях цепочки против часовой стрелки.
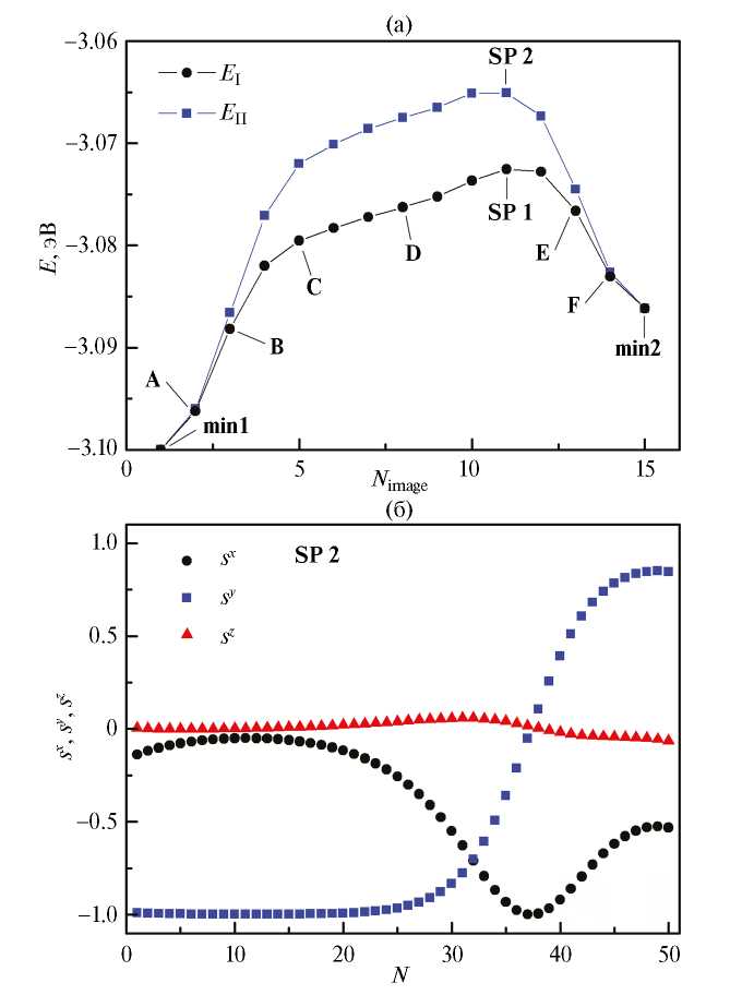
Рис. 3. Последовательные изображения магнитного состояния цепочки из 50 атомов Co при ее перемагничивании во внешнем магнитном поле By = 1 Тл посредством формирования антидоменной стенки. Начальное состояние, седловая точка и конечное состояние обозначены как min 1, SP 1 и min 2 соответственно. Промежуточные изображения (A, B, C, D, E, F) показаны для наглядности. Обозначения соответствуют энергетической диаграмме на рис. 4a.
Расчеты методом GNEB показали, что так же, как и в случае нулевого магнитного поля, возможны два механизма перемагничивания атомных цепочек Co. В коротких цепочках, ширина которых меньше ширины доменной стенки, все магнитные моменты переворачиваются одновременно, как схематически показано на рис. 1б. Перемагничивание более длинных цепочек происходит посредством формирования доменной стенки Нееля. Рассмотрим этот процесс более подробно на примере цепочки из 50 атомов Co, находящейся во внешнем магнитном поле By = 1 Tл.
На рис. 3 показаны 9 из 15 последовательных изображений системы при перемагничивании за счет формирования антидоменной стенки. На первом изображении (min 1) система находится в основном состоянии. Затем на правом конце цепочки начинает формироваться антидоменная стенка (изображения A и B). Затем антидоменная стенка движется справа налево (изображения C и D), достигая седловой точки (SP 1) ближе к левому концу цепочки. Наконец, антидоменная стенка уничтожается на левом конце цепочки (изображения E и F). В результате атомная цепочка переходит в метастабильное состояние (min 2), в котором магнитные моменты направлены “вниз”. Энергии этих конфигураций показаны на рис. 4a.
Рис. 4. (a) Энергетическая диаграмма для двух способов перемагничивания цепочки из 50 атомов Co во внешнем поле By = 1 Tл. EI (EII) – энергия цепочки в процессе перемагничивания посредством формирования антидоменной (доменной) стенки. (б) Магнитная конфигурация атомной цепочки из 50 атомов Co в седловой точке SP 2 (доменная стенка).
Другая возможность перемагничивания цепочки из 50 атомов Co состоит в формировании доменной стенки на левом краю цепочки и ее движения слева направо. Поскольку этот процесс вполне аналогичен изображенному на рис. 3, то на рис. 4б приведем лишь магнитную конфигурацию в седловой точке SP 2. Из рис. 4a видно, что формирование доменной стенки является энергетически менее выгодным, чем формирование антидоменной стенки. По результатам вычислений методом GNEB легко определить энергетические барьеры для перемагничивания атомной цепочки. Далее мы будем использовать следующие обозначения:
, (9)
, (10)
, (11)
, (12)
где и — энергетические барьеры для перехода из состояния “вверх” в состояние “вниз” посредством формирования антидоменной и доменной стенок, соответственно, а и — энергетические барьеры обратных переходов. Соответствующие этим барьерам частотные префакторы будем обозначать как , , и .
Зависимости энергетических барьеров и частотных префакторов от длины цепочки N для внешнего магнитного поля By = 1 Tл показаны на рис. 5. Отметим, что механизм перемагничивания атомной цепочки посредством образования доменной стенки возможен только при условии N ≥ 24. При меньших N конфигурация SP 2 перестает быть седловой точкой. В результате, зависимости , , и имеют разрыв при N = 24. Другой интересной особенностью зависимостей частотного префактора от длины цепочки является локальный максимум при N = 17. Этот локальный максимум связан с изменением механизма перемагничивания цепочки от одновременного переворота магнитных моментов к образованию антидоменной стенки. Тот факт, что изменение механизма перемагничивания при N = 17 и N = 24 сопровождается возрастанием частотного префактора, легко понять непосредственно из формулы (7). Действительно, изменение механизма перемагничивания связано с перестройкой ландшафта энергетической поверхности вблизи седловой точки, которая сопровождается уменьшением собственных значений гессиана , стоящих в знаменателе формулы (7).
Рис. 5. Зависимости энергетических барьеров ΔE и частотных префакторов ν0 для перемагничивания цепочки из атомов Co от длины цепочки N. Внешнее магнитное поле By = 1 Tл.
Отметим также, что везде, за исключением окрестности этих двух особых точек, энергетические барьеры и частотные префакторы согласуются с хорошо известным эмпирическим правилом Мейера–Нелделя [30, 31]: более высоким энергетическим барьерам соответствуют более высокие частотные префакторы.
Зная энергетические барьеры и частотные префакторы для перемагничивания цепочки, можно вычислить частоты перемагничивания для перехода из основного состояния в возбужденное [13]
(13)
и обратно
, (14)
где T — температура системы, k — постоянная Больцмана. В табл. 1 в качестве примера приведены частоты перемагничивания для цепочки из 100 атомов Co, вычисленные по формуле (14) при температуре 5 К. Видно, что частоты перемагничивания изменяются в широком диапазоне значений при изменении величины внешнего магнитного поля.
Таблица 1. Частоты перемагничивания для цепочки из 100 атомов Co
By, Tл | , мэВ | , мэВ | , мэВ | , мэВ | , ТГц | , TГц | , TГц | , TГц | ν↓→↑, Гц |
0 | 16.9 | 16.9 | 25.8 | 25.8 | 8.3 | 8.3 | 11.6 | 11.6 | 8.2·10–5 |
1 | 41.3 | 13.6 | 48.7 | 21.1 | 25.4 | 7.7 | 37.1 | 11.2 | 1.4·10–1 |
2 | 66.5 | 11.2 | 73.2 | 17.9 | 77.3 | 7.1 | 116.7 | 10.7 | 4.0·101 |
3 | 92.0 | 9.1 | 98.2 | 15.3 | 236.1 | 6.4 | 365.8 | 10.0 | 4.6·103 |
4 | 117.9 | 7.3 | 123.6 | 13.0 | 724.0 | 5.8 | 1147.2 | 9.2 | 2.7·105 |
5 | 144.0 | 5.7 | 149.2 | 10.9 | 2237.2 | 5.2 | 3625.7 | 8.4 | 9.5·106 |
Далее мы будем пренебрегать небольшими отклонениями магнитных моментов крайних атомов от оси легкого намагничивания y. Если измерять намагниченность атомной цепочки в безразмерных единицах M ≡ My ∈ [−1, 1], то она может быть найдена численно из уравнения [32, 33]:
(15)
с начальным условием M (0) = 1, где .
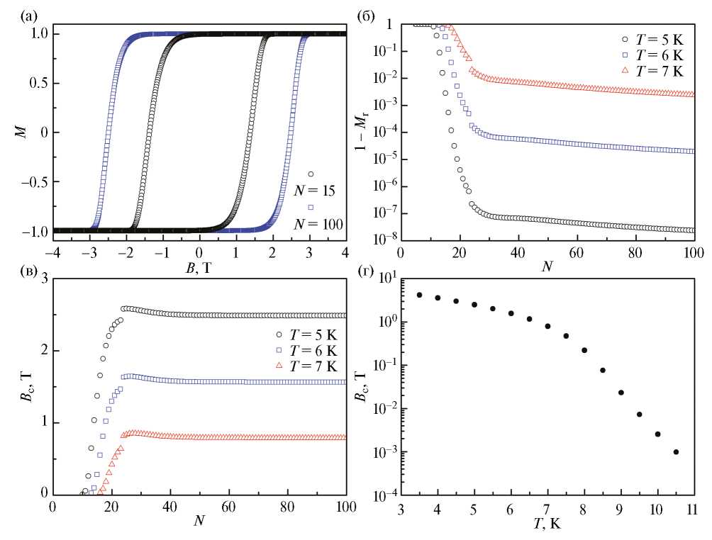
Рассмотрим линейный режим перемагничивания: магнитное поле By сначала убывает от B0 = 5 Тл до −B0 со скоростью dBy/dt =−γ, а затем возвращается к первоначальному значению с той же скоростью. Следуя работе [34], выберем γ =130 Тл/с. Сравнивая γ с частотами перемагничивания ν↓→↑, приведенными в табл. 1, легко понять, что коэрцитивная сила цепочки из 100 атомов Co при температуре 5 K должна иметь значение между 2 и 3 Тл.
На рис. 6a показаны кривые намагничивания цепочек из 15 и 100 атомов Co при температуре 5 K, полученные в результате численного решения уравнения (15). Коэрцитивная сила цепочки из 100 атомов равна 2.49 Тл, что согласуется с качественным выводом, сделанным на основе анализа данных табл. 1. Коэрцитивная сила цепочки из 15 атомов почти в два раза меньше, она равна 1.38 Тл. На рис. 6б и 6в показаны зависимости остаточной намагниченности Mr и коэрцитивной силы Bc цепочки от ее длины при температурах 5, 6 и 7 К.
Рис. 6. (a) Кривые намагничивания цепочек из 15 и 100 атомов Co при температуре 5 К. (б) Зависимость величины (1 – Mr) от длины N цепочки при температуре 5, 6 и 7 К, где Mr — остаточная намагниченность цепочки. (в) Зависимость коэрцитивной силы Bc от длины N цепочки при тех же температурах. (г) Зависимость коэрцитивной силы Bc цепочки из 100 атомов Co от температуры. Во всех случаях скорость изменения магнитного поля равна 130 Тл/с.
Видно, что величины Mr и Bc выходят на константу при больших N, при этом 1 −Mr ~N−1. Зависимость коэрцитивной Bc силы цепочки из 100 атомов Co от температуры представлена на рис. 6г. Видно, что величина Bc экспоненциально падает с увеличением температуры, что согласуется с формулой (14).
Наконец подчеркнем, что величина γ = 130 Тл/с на несколько порядков завышена по сравнению со скоростью изменения магнитного поля, достижимой в эксперименте [35]. Это было сделано намеренно для того, чтобы упростить численное решение уравнения (15). Однако, пользуясь полученными выше результатами, несложно пересчитать коэрцитивную силу Bc цепочек Co при меньших значениях параметра γ. Действительно, коэрцитивную силу можно оценить из равенства γ ≈ ν↓→↑, при этом при низких температурах в выражении (14) можно пренебречь вторым слагаемым. В первом слагаемом можно пренебречь зависимостью префактора от магнитного поля и взять его равным 8.3 ТГц (табл. 1). Зависимость барьера аппроксимировать линейной функцией , где a = 2.4 мэВ/Tл и b = 16.9 мэВ. Тогда коэрцитивную силу цепочки из 100 атомов Co при температуре 100 К можно оценить как
. (16)
При γ = 130 Тл/с формула (16) дает оценку Bc ≈ 2.51 Тл, которая отлично согласуется с точным результатом (2.49 Тл). При значении γ = 0.04 Тл/с, достижимом в эксперименте [35], с помощью (16) получим Bc ≈ 1.06 Тл, т.е. величину, меньшую примерно в два с половиной раза. При желании легко отказаться от упрощений, сделанных при выводе оценочной формулы (16). В любом случае пересчет величины коэрцитивной силы при изменении параметра γ не составляет большого труда вследствие логарифмически слабой зависимости Bc от γ.
Сравним полученные нами теоретические результаты с экспериментальными. В работе [7] обнаружено, что коэрцитивная сила Bc цепочки из 80 атомов Co на поверхности Pt(997) составляет примерно 0.5 Тл при температуре 10 К, а температура блокировки цепочки равна TB = 15 ± 5 К. К сожалению, в работе [7] не приведена скорость перемагничивания γ. Будем считать ее равной 0.04 Тл/с, как в работе [35]. Простейшая оценка по порядку величины, как уже упоминалось выше, может быть получена из равенства γ ≈ ν↓→↑. Используя полученные нами значения энергетических барьеров и префакторов при B = 0 Тл, получим оценку температуры блокировки TB ≈ 6 К. Аналогично получим, что коэрцитивная сила Bc = 0.5 Тл в рамках нашей модели достигается при температуре 5.5 К. Видно, что наши теоретические оценки температуры отличаются от экспериментальных примерно в два раза. Основная причина этого заключается в следующем. Как следует из эксперимента, энергия активации для перемагничивания цепочки составляет примерно 31 мэВ [7], что как раз вдвое превышает величину энергетического барьера мэВ в отсутствие магнитного поля. В свою очередь, величина близка к энергии формирования антидоменной стенки в бесконечно длинной цепочке атомов [14]:
мэВ. (17)
Поскольку основной вклад в формулу (17) дает первое слагаемое, то можно предположить, что разница между теоретическими и экспериментальными результатами связана с некоторой недооценкой параметров J и K в работе [12]. Подчеркнем также, что в работе [12] были выполнены расчеты для поверхности Pt(664), а не Pt(997), как в эксперименте [7], что могло сказаться на величине вычисленных параметров.
Наконец, отметим, что при вычислении энергетических барьеров и частотных префакторов без учета дипольного взаимодействия (4) получаются величины на 2–3% большие, чем представленные в статье. Таким образом, можно заключить, что дипольное взаимодействие не играет существенной роли при перемагничивании атомных цепочек Co на поверхности платины.
ЗАКЛЮЧЕНИЕ
Исследованы различные механизмы перемагничивания цепочек Co конечной длины на поверхности Pt(664). Установлено, что при длине цепочки менее 17 атомов перемагничивание происходит за счет одновременного переворота всех магнитных моментов. При длине цепочки от 17 до 23 атомов перемагничивание происходит посредством формирования антидоменной стенки неелевского типа. При большей длине цепочки ее перемагничивание также может осуществляться за счет формирования доменной стенки.
Методом GNEB вычислены энергетические барьеры для перемагничивания атомных цепочек длиной от 5 до 100 атомов. В рамках гармонического приближения теории переходного состояния вычислены частотные префакторы. Обнаружена немонотонная и достаточно сильная зависимость частотных префакторов как от длины цепочки, так и от величины внешнего магнитного поля. Используя совокупность данных, полученных методами GNEB и ТПС, построены кривые намагничивания цепочек из атомов Co, найдены значения остаточной намагниченности и коэрцитивной силы цепочек. Проанализированы зависимости коэрцитивной силы от длины цепочки, температуры и скорости изменения магнитного поля.
Сравнение полученных результатов с экспериментом [7] показывает наличие скорее качественного, чем количественного согласия. Отсутствие строгого количественного согласия с экспериментом обусловлено как сделанными в нашей модели приближениями, так и возможными неточностями при вычислении параметров модели в рамках теории функционала плотности [12].
Работа выполнена при финансовой поддержке Российского научного фонда (грант № 21-72-20034, https://rscf.ru/project/21-72-20034/, ФГБОУ ВО “Московский государственный университет имени M.В. Ломоносова”, г. Москва). Е.С. Сапронова является стипендиатом Фонда развития теоретической физики и математики “БАЗИС”.
Авторы данной работы заявляют, что у них нет конфликта интересов.
About the authors
S. V. Kolesnikov
Lomonosov Moscow State University
Author for correspondence.
Email: kolesnikov@physics.msu.ru
Russian Federation, Moscow, 119899
E. S. Sapronova
Lomonosov Moscow State University
Email: kolesnikov@physics.msu.ru
Russian Federation, Moscow, 119899
A. M. Saletsky
Lomonosov Moscow State University
Email: kolesnikov@physics.msu.ru
Russian Federation, Moscow, 119899
References
- Choi D.J., Lorente N., Wiebe J., von Bergmann K., Otte A.F., Heinrich A.J. Colloquium: Atomic spin chains on surfaces // Rev. Mod. Phys. 2019. V. 91. P. 041001.
- Сыромятников А.Г., Колесников С.В., Салецкий А.М., Клавсюк А.Л. Формирование и свойства металлических атомных цепочек и проводов // УФН. 2021. T. 191. C. 705–737.
- Zutic I., Fabian J., Das Sarma S. Spintronics: Fundamentals and applications // Rev. Mod. Phys. 2004. V. 76. P. 323.
- Bose S. Quantum Communication through an Unmodulated Spin Chain // Phys. Rev. Lett. 2003. V. 91. P. 207901.
- Verma H., Chotorlishvili L., Berakdar J., Mishra S.K. Qubit(s) transfer in helical spin chains // Eur. Phys. Lett. 2017. V. 119. P. 30001.
- Gambardella P., Rusponi S., Veronese M., Dhesi S.S., Grazioli C., Dallmeyer A., Cabria I., Zeller R., Dederichs P.H., Kern K., Carbone C., Brune H. Giant Magnetic Anisotropy of Single Cobalt Atoms and Nanoparticles // Science. 2003. V. 300. P. 1130–1133.
- Gambardella P., Dallmeyer A., Maiti K., Malagoli M.C., Eberhardt W., Kern K., Carbone C. Ferromagnetism in one-dimensional monatomic metal chains // Nature. 2002. V. 416. P. 301–304.
- Dzyaloshinsky I. A thermodynamic theory of “weak” ferromagnetism of antiferromagnetics // J. Phys. Chem. Solids. 1958. V. 4. P. 241–255.
- Moriya T. New Mechanism of Anisotropic Superexchange Interaction // Phys. Rev. Lett. 1960. V. 4. P. 228.
- Mokrousov Yu., Thiess A., Heinze S. Structurally driven magnetic state transition of biatomic Fe chains on Ir(001) // Phys. Rev. B. 2009. V. 80. P. 195420.
- Paterson G.W., Tereshchenko A.A., Nakayama S., Kousaka Y., Kishine J., McVitie S., Ovchinnikov A.S., Proskurin I., Togawa Y. Tensile deformations of the magnetic chiral soliton lattice probed by Lorentz transmission electron microscopy // Phys. Rev. B. 2020. V. 101. P. 184424.
- Schweflinghaus B., Zimmermann B., Heide M., Bihlmayer G., Blügel S. Role of Dzyaloshinskii-Moriya interaction for magnetism in transition-metal chains at Pt step edges // Phys. Rev. B. 2016. V. 94. P. 024403.
- Kolesnikov S.V., Sapronova E.S. Influence of Dzyaloshinskii–Moriya and Dipole–Dipole Interactions on Spontaneous Magnetization Reversal Time of Finite-Length Co Chains on Pt(664) Surfaces // IEEE Magn. Lett. 2022. V. 13. P. 2505905.
- Kolesnikov S.V., Sapronova E.S., Kolesnikova I.N. An influence of the Dzyaloshinskii-Moriya interaction on the magnetization reversal process of the finite-size Co chains on Pt(664) surface // J. Magn. Magn. Mater. 2023. V. 579. P. 170869.
- Heide M., Bihlmayer G., Blügel S. Dzyaloshinskii-Moriya interaction accounting for the orientation of magnetic domains in ultrathin films: Fe/W(110) // Phys. Rev. B. 2008. V. 78. P. 140403.
- Rohart S., Thiaville A. Skyrmion confinement in ultrathin film nanostructures in the presence of dzyaloshinskii-moriya interaction // Phys. Rev. B. 2013. V. 88. P. 184422.
- Bessarab P.F., Uzdin V.M., J´onsson H. Method for finding mechanism and activation energy of magnetic transitions, applied to skyrmion and antivortex annihilation // Comput. Phys. Commun. 2015. V. 196. P. 335.
- Лобанов И.С., Поткина М.Н., Уздин В.М. Устойчивость и времена жизни магнитных состояний нано- и микроструктур (миниобзор) // Письма в ЖЭТФ. 2021. Т. 113. C. 833.
- Hanggi P., Talkner P., Borkovec M. Reaction-rate theory: fifty years after Kramers // Rev. Mod. Phys. 1990. V. 62. P. 251.
- Bessarab P.F., Uzdin V.M., Jonsson H. Potential energy surface and rates of spin transitions // Z. Phys. Chem. 2013. V. 227. P. 1543.
- Bessarab P.F., Uzdin V.M., Jonsson H. Harmonic transition-state theory of thermal spin transitions // Phys. Rev. B. 2012. V. 85. P. 184409.
- Bessarab P.F., Uzdin V.M., Jonsson H. Size and shape dependence of thermal spin transitions in nanoislands // Phys. Rev. Lett. 2013. V. 110. P. 020604.
- Chudnovsky E.M., Gunther L. Quantum Tunneling of Magnetization in Small Ferromagnetic Particles // Phys. Rev. Lett. 1988. V. 60. P. 661.
- Wernsdorfer W., Cl´erac R., Coulon C., Lecren L., Miyasaka H. Quantum Nucleation in a Single-Chain Magnet // Phys. Rev. Lett. 2005. V. 95. P. 237203.
- Френкель Д., Смит Б. Принципы компьютерного моделирования молекулярных систем. М.: Научный мир, 2013. 578 с.
- Камилов И.К., Муртазаев А.К., Алиев Х.К. Исследование фазовых переходов и критических явлений методами Монте-Карло // УФН. 1999. Т. 169. C. 773.
- Ландау Л.Д., Лифшиц Е.М. Электродинамика сплошных сред. М.: ФИЗМАТЛИТ, 2005. 656 с.
- Tsysar K.M., Kolesnikov S.V., Saletsky A.M. Magnetization dynamics of mixed Co–Au chains on Cu(110) substrate: Combined ab initio and kinetic Monte Carlo study // Chin. Phys. B. 2015. V. 24. P. 097302.
- Колесников С.В., Колесникова И.Н. Оценка времени перемагничивания антиферромагнитных цепочек в рамках модели Гейзенберга // ЖЭТФ. 2017. T. 152. C. 759–766.
- Boisvert G., Lewis L.J., Yelon A. Many-body nature of the Meyer-Neldel compensation law for diffusion // Phys. Rev. Lett. 1995. V. 75. P. 469.
- Meyer W., Neldel H. Relation between the energy constant and the quantity constant in the conductivity-temperature formula of oxide semiconductors // Z. Tech. Phys. 1937. V. 12. P. 588.
- Колесников С.В. Исследование магнитных свойств атомных цепочек конечной длины при низких температурах // Письма в ЖЭТФ. 2016. T. 103. C. 668–672.
- Kolesnikov S.V., Kolesnikova I.N. Magnetic properties of the finite-length biatomic chains in the framework of the single domain-wall approximation // Phys. Rev. B. 2019. V. 100. P. 224424.
- Li Y., Liu B.-G. Long-range ferromagnetism in one-dimensional monoatomic spin chains // Phys. Rev. B. 2006. V. 73. P. 174418.
- Shen J., Skomski R., Klaua M., Jenniches H., Sundar Manoharan S., Kirschner J. Magnetism in one dimension: Fe on Cu(111) // Phys. Rev. B. 1997. V. 56. P. 2340.
Supplementary files








