The Magnetocaloric Effect in La(Fe,Mn,Si)13Hx Based Composites: Experiment and Theory
- Authors: Kamantsev A.P.1,2, Amirov A.A.3, Yusupov D.M.3, Golovchan A.V.1,4, Kovalev O.E.1,4, Komlev A.S.2, Aliev A.M.3
-
Affiliations:
- Kotelnikov Institute of Radioengineering and Electronics, Russian Academy of Sciences
- Lomonosov Moscow State University
- Amirkhanov Institute of Physics DFRC RAS
- Galkin Donetsk Institute for Physics and Engineering
- Issue: Vol 124, No 11 (2023)
- Pages: 1074-1085
- Section: ЭЛЕКТРИЧЕСКИЕ И МАГНИТНЫЕ СВОЙСТВА
- URL: https://journals.rcsi.science/0015-3230/article/view/232708
- DOI: https://doi.org/10.31857/S001532302360106X
- EDN: https://elibrary.ru/CEEPZW
- ID: 232708
Cite item
Full Text
Abstract
Abstract—
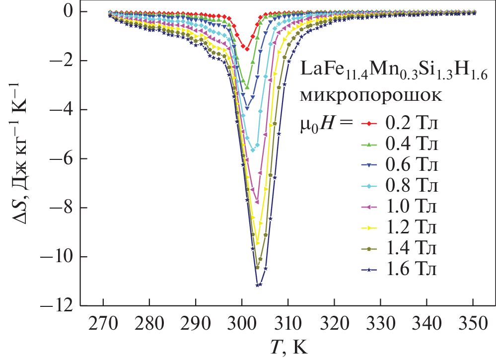
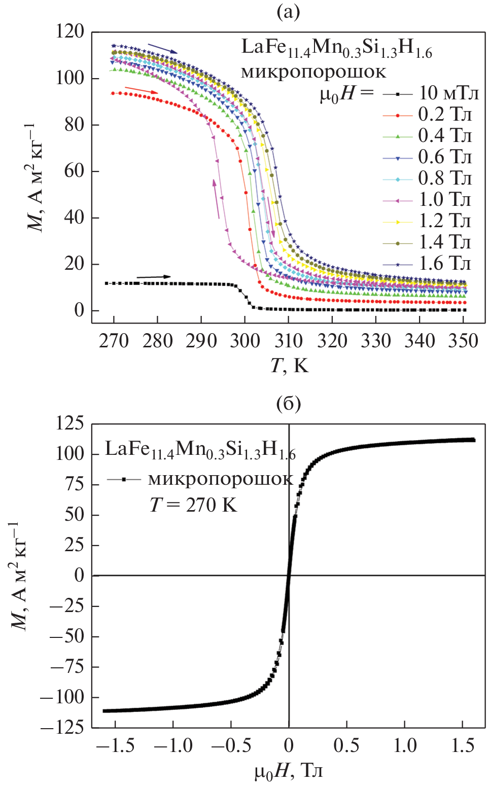
Samples of composites with different porosity and surface roughness based on LaFe11.4Mn0.3Si1.3H1.6 (LFMSH) alloy powders were obtained, their magnetocaloric properties were studied by a direct method in cyclic magnetic fields μ0H = 1.2 T at a frequency of 2 Hz. The maximum value of the adiabatic temperature change in pure LFMSH powder was ΔT = 3 K at Т0 = 287 K in the sample cooling mode; for composite samples, this value turned out to be approximately 2 times lower than in the powder. The effect of Mn and H atoms on the electronic structure and local magnetic characteristics of the initial La(Fe,Si)13 alloy has been studied by the methods of the electron density functional theory. Replacing some of the Fe atoms with Mn reduces the total magnetic moment and slightly lowers the Curie temperature. Hydrogenation, on the contrary, leads to an increase in exchange interactions between Fe atoms located at the vertices of the icosahedron and an increase in the Curie temperature.
About the authors
A. P. Kamantsev
Kotelnikov Institute of Radioengineering and Electronics, Russian Academy of Sciences; Lomonosov Moscow State University
Author for correspondence.
Email: kaman4@gmail.com
Russia, 125009, Moscow; Russia, 119991, Moscow,
A. A. Amirov
Amirkhanov Institute of Physics DFRC RAS
Email: kaman4@gmail.com
Russia, 367003, Republic of Dagestan, Makhachkala
D. M. Yusupov
Amirkhanov Institute of Physics DFRC RAS
Email: kaman4@gmail.com
Russia, 367003, Republic of Dagestan, Makhachkala
A. V. Golovchan
Kotelnikov Institute of Radioengineering and Electronics, Russian Academy of Sciences; Galkin Donetsk Institute for Physics and Engineering
Email: kaman4@gmail.com
Russia, 125009, Moscow; Russia, 283048, Donetsk,
O. E. Kovalev
Kotelnikov Institute of Radioengineering and Electronics, Russian Academy of Sciences; Galkin Donetsk Institute for Physics and Engineering
Email: kaman4@gmail.com
Russia, 125009, Moscow; Russia, 283048, Donetsk,
A. S. Komlev
Lomonosov Moscow State University
Email: kaman4@gmail.com
Russia, 119991, Moscow,
A. M. Aliev
Amirkhanov Institute of Physics DFRC RAS
Email: kaman4@gmail.com
Russia, 367003, Republic of Dagestan, Makhachkala
References
- Franco V., Blázquez J.S., Ipus J.J., Law J.Y., Moreno-Ramírez L.M., Conde A. Magnetocaloric effect: From materials research to refrigeration devices // Prog. Mater. Sci. 2018. V. 93. P. 112–232.
- Кошкидько Ю.С., Дильмиева Э.Т., Каманцев А.П., Маширов А.В., Цвик Я., Кольчугина Н.Б., Коледов В.В., Шавров В.Г. Магнито-калорические материалы для низкотемпературного магнитного охлаждения // Радиотехника и электроника. 2023. Т. 68. № 4. С. 315–325.
- Gottschall T., Skokov K.P., Fries M., Taubel A., Radulov I., Scheibel F., Benke D., Riegg S. Gutfleisch O. Making a cool choice: the materials library of magnetic refrigeration // Adv. Energ. Mater. 2019. V. 9. № 34. P. 1901322.
- Fujieda S., Fujita A., Fukamichi K. Large magnetocaloric effect in La(FexSi1−x)13 itinerant-electron metamagnetic compounds // Appl. Phys. Lett. 2002. V. 81. № 7. P. 1276–1278.
- Jia L. Sun J.R., Wang F.W., Zhao T.Y., Zhang H.W., Shen B.G., Li D.X., Nimori S., Ren Y., Zeng Q.S. Volume dependence of magnetic coupling in LaFe13 – xSix based compounds // Appl. Phys. Lett. 2008. V. 92. P. 101 904.
- Jia L. Sun J.R., Shen J., Dong Q.Y., Zou J.D., Gao B., Zhao T.Y., Zhang H.W., Hu F.X., Shen B.G. Magnetocaloric effect in the La(Fe,Si)13 intermetallics doped by different elements // J. Appl. Phys. 2009. V. 105. P. 07A924.
- Jia L. Magnetic coupling between rare-earth and iron atoms in the La1 – xRxFe11.5Si1.5 (R = Ce, Pr and Nd) intermetallics // Appl. Phys. Lett. 2008. V. 92. P. 182 503.
- Moreno-Ramirez L.M., Romero-Muniz C., Law J.Y., Franco V., Conde A., Radulov I.A., Maccari F., Skokov K.P., Gutfleisch O. Tunable first order transition in La(Fe,Cr,Si)13 compounds: retaining magnetocaloric response despite a magnetic moment reduction // Acta Mater. 2019. V. 175. P. 406–414.
- Krautz M., Skokov K., Gottschall T., Teixeira C.S., Waske A., Liu J., Gutfleisch O. Systematic investigation of Mn substituted La(Fe,Si)13 alloys and their hydrides for room-temperature magnetocaloric application // J. Alloy. Comp. 2014. V. 598. P. 27–32.
- Lovell E., Bez H.N., Boldrin D.C., Nielsen K.K., Smith A., Bahl C.R.H., Cohen L.F. The La(Fe,Mn,Si)13Hz magnetic phase transition under pressure // Phys. Stat. Solidi. 2017. V. 11. P. 1700143.
- Radulov I.A., Karpenkov D.Yu., Skokov K.P., Karpenkov A.Yu., Braun T., Brabänder V., Gottschall T., Pabst M., Stoll B., Gutfleisch O. Production and properties of metal-bonded La(Fe,Mn,Si)13Hx composite material // Acta Mater. 2017. V. 127. P. 389–399.
- Fujieda S., Fujita A., Kawamoto N., Fukamichi K. Strong magnetocaloric effects in La1 − zCez(Fex − yMnySi1 − x)13 at low temperatures // Appl. Phys. Lett. 2006. V. 89. № 6. P. 062 504.
- Suslov D.A., Shavrov V.G., Koledov V.V., Mashirov A.V., Terentyev Y.A., Petrov A.O., Kamantsev A.P., Samvelov A.V., Yasev S.G., Taskaev S.V., Kolesov K.A. Comparison of thermodynamic efficiency of cryogenic gas and solid-state magnetocaloric cycles // Chelyabinsk Phys. Math. J. 2020. V. 5. P. 612–617.
- Liu J.J., Zhang Y., Xia W.X., Du J., Yan A.R. Systematic study of the microstructure and magnetocaloric effect of bulk and melt-spun ribbons of La-Pr–Fe–Si compounds JMMM. 2014. V. 350. P. 94–99.
- Zong S.T., Wang C.L., Long Y., Fu B., Shi J.M., Han J., Zhao Y.Y. Solid solubility in 1:13 phase of doping element for La(Fe,S i)13 alloys // AIP Adv. 2016. V. 6. P. 056 223.
- Moreno-Ramírez L.M., Law J.Y., Borrego J.M., Barcza A., Greneche J.M., Franco V. First order phase transition in high-performance La(Fe, Mn, Si)13H despite negligible hysteresis // J. Alloy Comp. 2023. P. 169883.
- Skokov K.P., Karpenkov D.Yu., Kuz’min M.D., Radulov I.A., Gottschall T., Kaeswurm B., Fries M., Gutfleisch O. Heat exchangers made of polymer-bonded La(Fe,Si)13 // J. Appl. Phys. 2014. V. 115. № 17. P. 17A941.
- Radulov I.A., Skokov K.P., Karpenkov D.Yu., Braun T., Gutfleisch O. Polymer-bonded La(Fe,Mn,Si)13Hx plates for heat exchangers // IEEE Trans. Magn. 2015. V. 51. № 11. P. 2501204.
- Radulov I.A., Skokov K.P., Karpenkov D.Yu., Gottschall T., Gutfleisch O. On the preparation of La(Fe,Mn,Si)13Hx polymer-composites with optimized magnetocaloric properties // JMMM. 2015. V. 396. P. 228–236.
- Radulov I.A., Karpenkov D.Yu., Specht M., Braun T., Karpenkov A.Yu., Skokov K.P., Gutfleisch O. Heat exchangers from metal-bonded La(Fe, Mn, Si)13Hx powder // IEEE Trans. Magn. 2017. V. 53. № 11. P. 2 502 907.
- Tušek J., Kitanovski A., Poredoš A. Geometrical optimization of packed-bed and parallel-plate active magnetic regenerators // Int. J. Refrig. 2013. V. 36. № 5. P. 1456–1464.
- Moore J.D., Klemm D., Lindackers D., Grasemann S., Träger R., Eckert J., Löber L., Scudino S., Katter M., Barcza A., Skokov K.P., Gutfleisch O. Selective laser melting of La(Fe,Co,Si)13 geometries for magnetic refrigeration // J. Appl. Phys. 2013. V. 114. № 4. P. 043 907.
- Kagathara J., Wieland S., Gärtner E., Uhlenwinkel V., Steinbacher M. Heat treatment and formation of magnetocaloric 1:13 phase in LaFe11.4Si1.2Co0.4 processed by laser beam melting // Materials. 2020. V. 13. № 3. P. 773.
- Navickaitė K., Liang J., Bahl C., Wieland S., Buchenau T., Engelbrecht K. Experimental characterization of active magnetic regenerators constructed using laser beam melting technique // Appl. Therm. Eng. 2020. V. 174. P. 115297.
- Polonsky L., Lipson S., Markus H. Light weight cellular metal // Mod. Cast. 1961. V. 39. № 4.
- Kamantsev A.P., Amirov A.A., Zaporozhets V.D., Gribanov I.F., Golovchan A.V., Valkov V.I., Pavlukhina O.O., Sokolovskiy V.V., Buchelnikov V.D., Aliev A.M., Koledov V.V. Effect of Magnetic Field and Hydrostatic Pressure on Metamagnetic Isostructural Phase Transition and Multicaloric Response of Fe49Rh51 Alloy // Metals. 2023. V. 13. № 5. P. 956.
- Abdulkadirova N.Z., Gamzatov A.G., Kamilov K.I., Kadirbardeev A.T., Aliev A.M., Popov Y.F., Vorob’ev G.P., Gebara P. Magnetostriction and magnetocaloric properties of LaFe11.1Mn0.1Co0.7Si1.1 alloy: Direct and indirect measurements // J. Alloy. Comp. 2022. V. 929. P. 167 348.
- Ebert H. et al. The Munich SPR-KKR package, version 8.6. https://www.ebert.cup.uni-muenchen.de/index.php/ de/software/13-sprkkr.
- Ebert H., Ködderitzsch D., Minár J. Calculating condensed matter properties using the KKR-Green’s function method – recent developments and applications // Rep. Prog. Phys. 2011. V. 74. P. 096501.
- Vosko S.H., Wilk L. Influence of an improved local-spin-density correlation-energy functional on the cohesive energy of alkali metals // Phys. Rev. B. 1980. V. 22. P. 3812–3815.
- Liu X.B., Altounian Z., Ryan D.H. Structure and magnetic transition of LaFe13 – xSix compounds // J. Phys.: Cond. Matt. 2003. V. 15. P. 7385–7394.
- Liechtenstein A.I., Katsnelson M.I., Antropov V.P., Gubanov V.A. Local spin density functional approach to the theory of exchange interactions in ferromagnetic metals and alloys // JMMM. 1987. V. 67. P. 65–74.
- Mendive Tapia E., Patrick C.E., Hickel T., Neugebauer J., Staunton J.B. Quantification of electronic and magnetoelastic mechanisms of first-order magnetic phase transitions from first principles: application to caloric effects in La(FexSi1 – x)13 // arXiv e-prints. 2023. P. arXiv: 2302.06484. https://arxiv.org/abs/2302.06484
- Mankovsky S., Ebert H. Accurate scheme to calculate the interatomic Dzyaloshinskii–Moriya interaction parameters // Phys. Rev. B. 2017. V. 96. P. 104 416.
- Boutahar A., Hlil E.K., Lassri A., Fruchart D. Magnetic and electronic studies of LaFe13 – xSix compounds with 1.3 ≤ x ≤ 1.69 // JMMM. 2013. V. 347. P. 161–164.
- Wang F., Wang G.-J., Hu F.-X., Kurbakov A., Shen B.-G., Cheng Z.-H. Strong interplay between structure and magnetism in the giant magnetocaloric intermetallic compound LaFe11.4Si1.6: a neutron diffraction study // J. Phys.: Cond. Matt. 2003. V. 15. P. 5269–5278.
- Landau L.D., Binder K. A guide to Monte-Carlo simulation in statistical physics. Second edition. Cambridge University Press, UK, 2005. 432 p.
- Krautz M., Beyer M., Jäschke C., Schinke L., Waske A., Seifertet J. A magnetocaloric booster unit for energy-efficient air-conditioning // Crystals. 2019. V. 9. № 2. P. 76.
Supplementary files














