Effect of Mechanical Activation Time on the Density of Fine-Grained Tungsten Alloy 90W–7Ni–3Fe, Obtained by Spark Plasma Sintering
- Authors: Chuvil’deev V.N.1, Nokhrin A.V.1, Boldin M.S.1, Lantsev E.A.1, Sakharov N.V.1
-
Affiliations:
- Lobachevsky State University of Nizhny Novgorod
- Issue: Vol 124, No 10 (2023)
- Pages: 931-938
- Section: СТРУКТУРА, ФАЗОВЫЕ ПРЕВРАЩЕНИЯ И ДИФФУЗИЯ
- URL: https://journals.rcsi.science/0015-3230/article/view/232655
- DOI: https://doi.org/10.31857/S0015323023600156
- EDN: https://elibrary.ru/UURYWF
- ID: 232655
Cite item
Full Text
Abstract
Abstract—
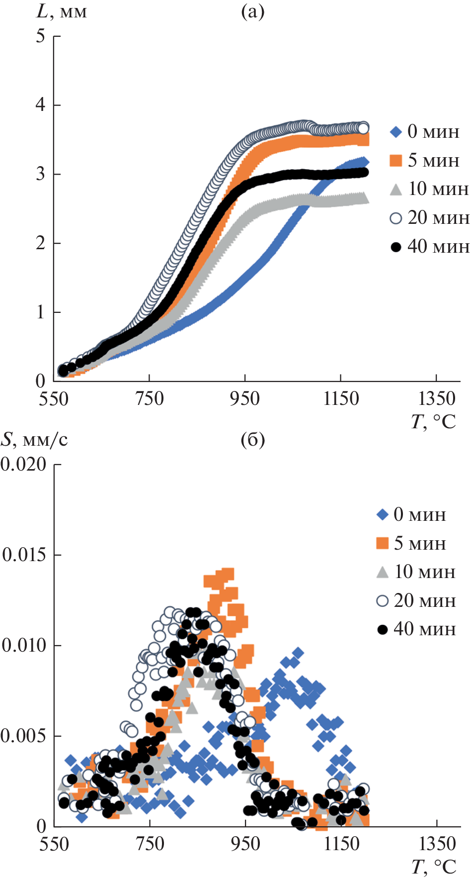
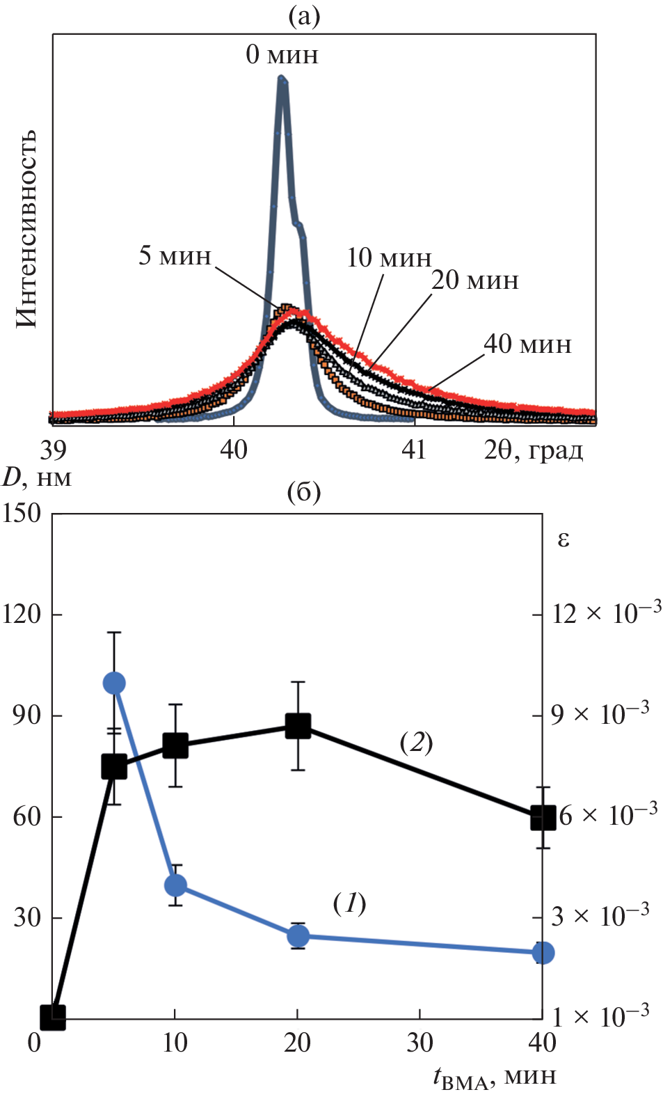
The influence of the high-energy mechanical activation (HMA) time on the kinetics of solid-phase Spark Plasma Sintering (SPS) and the microstructure of a heavy tungsten alloy 90W–7Ni–3Fe has been studied. The density of the alloy 90W–7Ni–3Fe nonmonotonically, with a minimum, depends on the time of the HMA. The kinetics of the SPS of nanopowders has a two-stage character; the sintering intensity depends on the rate of Coble creep and the intensity of diffusion of W atoms in the crystal lattice of the nickel-based gama-phase.
Keywords
About the authors
V. N. Chuvil’deev
Lobachevsky State University of Nizhny Novgorod
Email: nokhrin@nifti.unn.ru
Russia, 603022, Nizhny Novgorod
A. V. Nokhrin
Lobachevsky State University of Nizhny Novgorod
Author for correspondence.
Email: nokhrin@nifti.unn.ru
Russia, 603022, Nizhny Novgorod
M. S. Boldin
Lobachevsky State University of Nizhny Novgorod
Email: nokhrin@nifti.unn.ru
Russia, 603022, Nizhny Novgorod
E. A. Lantsev
Lobachevsky State University of Nizhny Novgorod
Email: nokhrin@nifti.unn.ru
Russia, 603022, Nizhny Novgorod
N. V. Sakharov
Lobachevsky State University of Nizhny Novgorod
Email: nokhrin@nifti.unn.ru
Russia, 603022, Nizhny Novgorod
References
- Green E.C., Jones D.J., Pitkin W.R. Developments in high-density alloys // Proc. Symposium of Powder Metallurgy. 1954. V. 58. P. 253–256.
- Поварова К.Б., Макаров П.В., Ратнер А.Д., Заварзина Е.К., Волков К.В. Тяжелые сплавы типа ВНЖ-90. I. Влияние легирования и режимов получения порошков вольфрама на их строение, микроструктуру и свойства спеченных сплавов // Металлы. 2002. № 4. С. 39–48.
- Ravi Kiran U., Sambasiva Rao A., Sankaranarayana M., Nandy T.K. Swaging and heat treatment studies on sintered 90W–6Ni–2Fe–2Co tungsten heavy alloy // Int. J. Refr. Met. Hard Mater. 2012. V. 33. P. 113–121.
- Yu Y., Zhang W., Chen Y., Wang E. Effect of swaging on microstructure and mechanical properties of liquid-phase sintered 93W–4.9(Ni,Co)–2.1Fe alloy // Int. J. Refr. Met. Hard Mater. 2014. V. 44. P. 103–108.
- Грязнов М.Ю., Самохин А.В., Чувильдеев В.Н., Фадеев А.А., Алексеев Н.В., Шотин С.В., Дорофеев А.А. Получение композитного порошка системы W–Ni–Fe со сферической формой частиц и исследование возможности его использования в технологии послойного лазерного сплавления // ФХОМ. 2022. № 3. С. 54–66.
- Zhou C., Yi J., Luo S. Sintering high tungsten content W–Ni–Fe heavy alloys by microwave radiation // Metall. Mater. Trans. A. 2014. V. 45. P. 455–463.
- Krasovskii P., Samokhin A.V., Fadeev A.A., Sinayskiy M.A., Sigalev S.K. Alloying effects and compositions inhomogeneity of plasma-created multimetallic nanopowders: A case study of the W–Ni–Fe ternary system // J. Alloys Compd. 2018. V. 750. P. 265–275.
- Olevsky E.A., Dudina D.V. Field-assisted sintering: Science and applications. Springer, 2018. 425 p.
- Чувильдеев В.Н., Москвичева А.В., Нохрин А.В., Баранов Г.В., Благовещенский Ю.В., Котков Д.Н., Лопатин Ю.Г., Белов В.Ю. Сверхпрочные нанодисперсные вольфрамовые псевдосплавы, полученные методами высокоэнергетической механоактивации и электроимпульсного плазменного спекания // ДАН. 2011. Т. 436. № 4. С. 478–482.
- Чувильдеев В.Н., Нохрин А.В., Болдин М.С., Сахаров Н.В. Баранов Г.В., Белов В.Ю., Попов А.А., Ланцев Е.А., Смирнова Е.С. Влияние высокоэнергетической механоактивации на кинетику твердофазного спекания ультрамелкозернистого тяжелого вольфрамового сплава // ДАН. 2017. Т. 476. № 3. С. 285–289.
- Young W.S., Culter I.B. Initial sintering with constant rates of heating // J. Am. Cer. Soc. 1970. V. 53. P. 659–663.
- Фрост Г.Дж., Эшби М.Ф. Карты механизмов деформации. Челябинск: Металлургия, 1989. 328 с.
- Колобов Ю.Р., Грабовецкая Г.П., Иванов К.В., Гирсова Н.В. Влияние состояния границ зерен и размера зерна на механизмы ползучести субмикрокристаллического никеля // ФММ. 2001. Т. 91. № 5. С. 107–112.
- Чувильдеев В.Н., Болдин М.С., Дятлова Я.Г., Румянцев В.И., Орданьян С.С. Сравнительное исследование горячего прессования и высокоскоростного электроимпульсного плазменного спекания порошков Al2O3/ZrO2/Ti(C, N) // ЖНХ. 2015. Т. 60. № 8. С. 1088–1094.
- Blaine D.C., Park S.J., Suri P., German R.M. Application of work-of-sintering concepts in powder metals // Metall. Mater. Trans. A. 2006. V. 37. P. 2827–2835.
- Park S.J., Johnson J.L., Wu Y., Kwon Y.-S., Lee S., German M.R. Analysis of the effect of solubility on the densification behavior of tungsten heavy alloys using the master sintering curve approach // Int. J. Refr. Met. Hard Mater. 2013. V. 37. P. 52–59.
- Hu K., Li X., Qu S., Li Y. Effect of heating rate on densification and grain growth during spark plasma sintering of 93W–5.6Ni–1.4Fe heavy alloys // Metall. Mater. Trans. A. 2013. V. 44. P. 4323–4336.
- Лариков Л.Н., Юрченко Ю.Ф. Диффузия в металлах и сплавах. Киев: Наукова думка, 1987. 509 с.
- Park S.M., Martin J.M., Guo J.F., Johnson J.L. Densification behavior of tungsten heavy alloy based on master sintering curve concept // Metall. Mater. Trans. A. 2006. V. 37. P. 2837–2848.
- Seith W. Diffusion in Mettallen. Platzwechselreaktionen, Springer–Verlag, Berlin–Göttigen–Heidelberg, 1955. 381 p.
- Чувильдеев В.Н. Неравновесные границы зерен в металлах. Теория и приложения. М.: Физматлит, 2004. 304 с.
- Разумов И.К., Ермаков А.Е., Горностырев Ю.Н., Страумал Б.Б. Неравновесные фазовые превращения в сплавах при интенсивной пластической деформации // УФН. 2020. Т. 190. № 8. С. 785–810.
Supplementary files







