Numerical Simulation of the Spatial Distribution of the Magnetic Field in Devices for the Magnetic Sedimentation of Nanoparticles from Aqueous Media
- Authors: Filinkova M.S.1, Medvedeva I.V.1,2, Zhakov S.V.1, Bakhteeva Y.A.1
-
Affiliations:
- Mikheev Institute of Metal Physics, Ural Branch, Russian Academy of Sciences
- Ural State Mining University
- Issue: Vol 124, No 10 (2023)
- Pages: 909-915
- Section: ЭЛЕКТРИЧЕСКИЕ И МАГНИТНЫЕ СВОЙСТВА
- URL: https://journals.rcsi.science/0015-3230/article/view/232644
- DOI: https://doi.org/10.31857/S0015323023600983
- EDN: https://elibrary.ru/CBVPWD
- ID: 232644
Cite item
Full Text
Abstract
Abstract
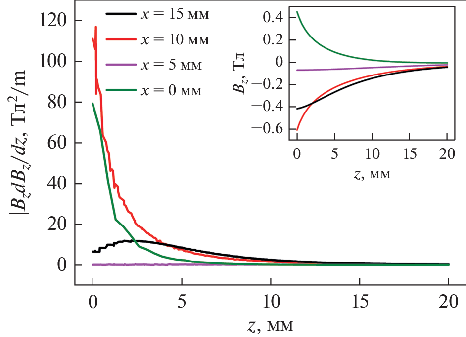
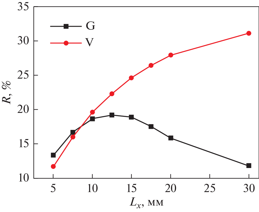
—A method of magnetic sedimentation using a permanent magnets is a promising “green” technology to separate nanoparticles from water. In this work, numerical simulation of the magnetic field distribution in the devices based on combination of alternating flat permanent magnets (NdFeB) and soft magnetic steel inserts is carried out. Two types of devices with different magnetization directions of permanent magnets are considered: vertical (V) and horizontal (G). A criterion for evaluating the performance of the magnetic device R is proposed, depending on the effective volume of the water area, where the value of the product \({\text{|}}{{B}_{z}}d{{B}_{z}}{\text{/}}dz{\text{|}}\) > > 4 T2/m is realized, where Bz is the vertical component of magnetic induction. The dimensions of the permanent magnets and soft magnetic inserts along the horizontal x axis, the ratio of the thicknesses of magnetic and steel plates, and the number of plates are varied. It is shown that the maximum value R = 31% is performed using the V-type magnetic device with the thickness of the magnetic (Lx) and the steel (Ls) elements 30 mm and 2.5 mm, respectively. For G-type magnetic device maximum value R = 19% is realized at Lx = 12.5 mm and Ls = 10 mm. Magnetic devices are effective for the height of a water layer 20 mm at the given dimensions of the magnetic system.
Keywords
About the authors
M. S. Filinkova
Mikheev Institute of Metal Physics, Ural Branch, Russian Academy of Sciences
Author for correspondence.
Email: filinkova-ms@yandex.ru
Russia, 620990, Ekaterinburg
I. V. Medvedeva
Mikheev Institute of Metal Physics, Ural Branch, Russian Academy of Sciences; Ural State Mining University
Email: filinkova-ms@yandex.ru
Russia, 620990, Ekaterinburg; Russia, 620144, Ekaterinburg
S. V. Zhakov
Mikheev Institute of Metal Physics, Ural Branch, Russian Academy of Sciences
Email: filinkova-ms@yandex.ru
Russia, 620990, Ekaterinburg
Yu. A. Bakhteeva
Mikheev Institute of Metal Physics, Ural Branch, Russian Academy of Sciences
Email: filinkova-ms@yandex.ru
Russia, 620990, Ekaterinburg
References
- Медведева И.В., Медведева О.М., Студенок А.Г., Студенок Г.А., Цейтлин Е.М. Новые композитные материалы и процессы для химических, физико-химических и биохимических технологий водоочистки // Изв. вузов. Химия и химическая технология. 2022. Т. 66. № 1. С. 6–27.
- Treviño M.J.S., Zarazúa S., Płotka-Wasylka J. Nanosorbents as materials for extraction processes of environmental contaminants and others // Molecules. 2022. V. 27(3). P. 1067.
- Ningthoujam R., Singh Y.D., Babu P.J., Tirkey A., Pradhan S., Sarma M. Nanocatalyst in remediating environmental pollutants // Chem. Phys. Impact. 2022. V. 4. P. 100 064.
- Leong S.S., Ahmad Z., Low S.Ch., Camacho J., Faraudo J., Lim J.K. Unified view of magnetic nanoparticle separation under magnetophoresis // Langmuir. 2020. V. 36(28). P. 8033–8055.
- Gomez-Pastora J., Xue X., Karampelas I.H., Bringas E., Furlani E.P., Ortiz I. Analysis of separators for magnetic beads recovery: From large systems to multifunctional microdevices // Sep. Pur. Technol. 2017. V. 172. P. 16–31.
- Yeap S.P., Leong S.S., Ahmad A.L., Ooi B.S., Lim J.K. On size fractionation of iron oxide nanoclusters by low magnetic field gradient // J. Phys. Chem. C. 2014. V. 118. P. 24042–24054.
- Yavuz C.T., Mayo J.T., Yu W.W., Prakash A., Falkner J.C., Yean S., Cong L., Shipley H.J., Kan A., Tomson M., Natelson D., Colvin V. Low-field magnetic separation of monodisperse Fe3O4 nanocrystals // Sci. 2006. V. 314. P. 964–967.
- Moeser G.D., Roach K.A., Green W.H., Hatton T.A., Laibinis P.E. High-gradient magnetic separation of coated magnetic nanoparticles // AIChE J. 2004. V. 50(11). P. 2836–2848.
- Ditsch A., Lindenmann S., Laibinis P.E., Wang D.I.C., Hatton T.A. High-gradient magnetic separation of magnetic nanoclusters // Ind. Eng. Chem. Res. 2005. V. 44. P. 6824–6836.
- De Las Cuevas G., Faraudo J., Camacho J. Low-gradient magnetophoresis through field-induced reversible aggregation // J. Phys. Chem. C. 2008. V. 112. P. 945– 950.
- Svoboda J. Magnetic techniques for the treatment of materials // Springer Science. 2004. P. 642.
- Munaz A., Shiddiky M.J.A., Nguyen N.-T. Recent advances and current challenges in magnetophoresis based micro magnetofluidics // Biomicrofluidics. 2018. V. 12. P. 031501.
- Lim B., Vavassori P., Sooryakumar R., Kim Ch. // J. Phys. D: Appl. Phys. 2017. V. 50. P. 033002.
- Zhang H., Ding W., Li Sh., Ya Sh., Li F., Qiu B. On-chip analysis of magnetically labeled cells with integrated cell sorting and counting techniques //Talanta. 2020. V. 220. 1. P. 121351.
- Borlido L., Azevedo A.M., Roque A.C.A., Aires-Barros M.R. Magnetic separation in biotechnology // Biotech. Adv. 2013. V. 31. P. 1374–1385.
- Medvedeva I., Bakhteeva Yu., Zhakov S., Revvo A., Byzov I., Uimin M., Yermakov A., Mysik A. Sedimentation and aggregation of magnetite nanoparticles in water by a gradient magnetic field // J. Nanopart. Res. 2013. V. 15. P. 2054.
- Bakhteeva Yu., Medvedeva I., Filinkova M., Byzov I., Uimin M., Tseitlin E Magnetic nanoparticles for monitoring microplastics pollution in the surface waters // Reliability: Theory and Applications. 2022. V. 17. P. 458–463.
- Bakhteeva I., Medvedeva I., Filinkova M., Byzov I., Minin A., Zhakov S., Uimin M., Patrakov E., Novikov S., Suntsov A., Demin A. Removal of microplastics from water by using magnetic sedimentation // Int. J. Environ. Sci. Technol. 2023.
- Fratzl M., Delshadi S., Devillers T., Bruckert F., Cugat O., Dempsey N.M., Blaire G. Magnetophoretic induced convective capture of highly diffusive superparamagnetic nanoparticles // Soft Matter. 2018. V. 14. P. 2671–2681.
- Zheng X., Wang Y., Lu D., Li X., LiS., Chu H. Comparative study on the performance of circular and elliptic cross-section matrices in axial high gradient magnetic separation: Role of the applied magnetic induction // Miner. Eng. 2017. V. 110. P. 12–19.
- Okada H., Mitsuhashi K., Ohara T., Whitby E.R., Wada H. Computational fluid dynamics simulation of high gradient magnetic separation // Sep Sci Technol. 2005. V. 40. P. 1567–1584.
- Karampelas H., Gomez-Pastora J. Novel Approaches Concerning the Numerical Modeling of Particle and Cell Separation in Microchannels: A Review // Special Issue “Particle and Cell Separation Processes in Microfluidics”. 2022. V. 10(6). P. 1226.
- Prigiobbe V., Ko S., Huh Ch., Bryant S.L. Measuring and modeling the magnetic settling of superparamagnetic nanoparticle dispersions // J. Colloid Interface Sci. 2015. V. 447. P. 58–67.
- Bakhteeva Iu.A., Medvedeva I.V., Uimin M.A., Byzov I.V., Zhakov S.V., Yermakov A.E., Shchegoleva N.N. Magnetic sedimentation and aggregation of Fe3O4@SiO2 nanoparticles in water medium // Sep. Pur. Tech. 2016. V. 159. P. 35–42.
Supplementary files











