The influence of Ni on the contributions of the superplastic deformation mechanisms of the Al–Zn–Mg–Cr alloys
- 作者: Yakovtseva O.A.1, Postnikova M.N.1, Irzhak A.V.2, Rofman O.V.1, Mikhaylovskaya A.V.1
- 
							隶属关系: 
							- National Research Technological University MISiS
- Institute for Problems of Microelectronics Technology and High-Pure Materials of the Russian Academy of Sciences
 
- 期: 卷 124, 编号 9 (2023)
- 页面: 884-894
- 栏目: ПРОЧНОСТЬ И ПЛАСТИЧНОСТЬ
- URL: https://journals.rcsi.science/0015-3230/article/view/139498
- DOI: https://doi.org/10.31857/S0015323023601125
- EDN: https://elibrary.ru/EDLUTM
- ID: 139498
如何引用文章
全文:
详细
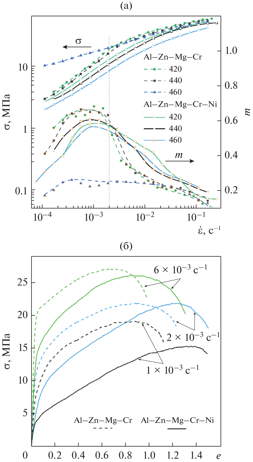
The Ni influence on the superplastic characteristics, the microstructure evolution and the contributions of the superplastic deformation mechanisms for Al-Zn-Mg-Cr-based alloys have been investigated. The alloys contained dispersoids enriched with Cr, Mg and a minor of Zn of a mean size of 140 nm and in addition the Al3Ni phase in the alloy with nickel. Al3Ni phase increased homogeneity and stablity grain structure during elevated annealing temperature and during superplastic deformation at 440°C. The mean grain size decreases from 7.7 to 7.3 µm before the onset of the deformation and from 10 to 8.6 µm after straining of 0.69. The dislocations aggregations near Al3Ni particles were revealed. The microstructure evolution was compared at the testing condition providing a similar value of the strain rate sensitivity coefficient m≈0.6. The grain boundary sliding contribution is twofold larger and the intragranular dislocation slip is three times smaller in the alloy with Al3Ni particles compared to nickel-free alloy. Al3Ni particles leads to more equiaxed finegrain structure and an increase elongation to failure.
作者简介
O. Yakovtseva
National Research Technological University MISiS
														Email: yakovtseva.oa@misis.ru
				                					                																			                												                								Moscow, 119049 Russia      						
M. Postnikova
National Research Technological University MISiS
														Email: yakovtseva.oa@misis.ru
				                					                																			                												                								Moscow, 119049 Russia      						
A. Irzhak
Institute for Problems of Microelectronics Technology and High-Pure Materials of the Russian Academy of Sciences
														Email: yakovtseva.oa@misis.ru
				                					                																			                												                								Chernogolovka, Moscow Oblast, 142432 Russia						
O. Rofman
National Research Technological University MISiS
														Email: yakovtseva.oa@misis.ru
				                					                																			                												                								Moscow, 119049 Russia      						
A. Mikhaylovskaya
National Research Technological University MISiS
							编辑信件的主要联系方式.
							Email: yakovtseva.oa@misis.ru
				                					                																			                												                								Moscow, 119049 Russia      						
参考
- Blandin J.J. Superplasticity of metallic alloys: Some current findings and open questions // Materials Science Forum. 2016. V. 838–839. P. 13–22.
- Langdon T.G. Seventy-five years of superplasticity: Historic developments and new opportunities // Journal of Materials Science. 2009. V. 44. № 22. P. 5998–6010.
- Wang X.G., Li Q., Wu R., Zhang X., Ma L. A Review on Superplastic Formation Behavior of Al Alloys // Advances in Materials Science and Engineering. 2018. V. 2018. P. 1–17.
- Langdon T.G. Twenty-five years of ultrafine-grained materials: Achieving exceptional properties through grain refinement // Acta Mater. 2013. V. 61. № 19. P. 7035–7059.
- Novikov I.I., Portnoj V.K. Superplastizität von Legierungen // Superplastizität von Legierungen / ed. VEB Deutscher Verlag fur Grundstoffindustrie. Leipzig. 1985. P. 1–185.
- Jin H. Optimization of Aluminum Alloy AA5083 for Superplastic and Quick Plastic Forming // Metall. Mater. Trans. A Phys. Metall. Mater. Sci. Springer US. 2019. V. 50. № 8. P. 3868–3890.
- Chokshi A.H. Grain Boundary Processes in Strengthening, Weakening, and Superplasticity // Adv. Eng. Mater. 2020. V. 22. № 1. P. 1–9.
- Wang T., Hu J., Du L., Sun G., Misra R.D.K. Strain rate and temperature dependence of low temperature superplastic deformation in a nanostructured microalloyed steel // Mater. Lett. 2019. V. 243. P. 165–168.
- Giuliano G. Superplastic forming of advanced metallic materials // Woodhead Publishing Limited, 2011. 384 p.
- Hwang D.Y., Kwon K., Shin D.H., Park K.T., Ko Y.G., Lee C.S. Superplastic behavior of ultrafine grained Al alloys fabricated by severe plastic deformation // Key Eng. Mater. 2007. V. 345–346 I. P. 597–600.
- Пойда В.П., Педун Д.Е., Брюховецкий В.В., Пойда А.В., Сухов Р.В., Самсоник А.Л., Литвиненко В.В. Структурные изменения в ходе сверхпластической деформации высокопрочного сплава 1933 системы Аl–Mg–Zn–Cu–Zr // Физика металлов и металловедение. 2013. Т. 114. № 9. С. 848–858.
- Котов А.Д., Михайловская А.В., Портной В.К. Влияние состава твердого раствора на показатели сверхпластичности сплавов системы Al–Zn–Mg–Cu–Ni–Zr // Физика металлов и металловедение. 2014. Т. 115. № 7. С. 778–784.
- Котов А.Д., Михайловская А.В., Портной В.К. Сверхпластичность сплава Al–11% Zn–3% Mg–0.8% Cu–0.3% Zr с добавками Fe и Ni // Металловедение и термическая обработка металлов. 2013. № 7 (697). С. 22–25.
- Яковцева О.А., Котов А.Д., Ситкина М.Н., Иржак А.В., Михайловская А.В. Механизмы сверхпластической деформации при повышенной скорости в сплаве системы Al–Mg–Zn–Fe–Ni–Zr–Sc // Физика металлов и металловедение. 2019. Т. 120. № 10. С. 1109–1115.
- Yakovtseva O.A., Sitkina M.N., Kotov A.D., Mikhaylovskaya A.V., Rofman O.V. Experimental study of the superplastic deformation mechanisms of high-strength aluminum-based alloy // Mater. Sci. Eng. A. 2020. V. 788. P. 139639.
- Yakovtseva O., Tomas A., Mikhaylovskaya A. Surface and internal structural markers for studying grain boundary sliding and grain rotation // Mater. Lett. 2020. V. 268. P. 127569.
- Mikhaylovskaya A.V., Yakovtseva O.A., Sitkina M.N., Kotov A.D., Irzhak A.V., Krymskiy S.V., Portnoy V.K. Comparison between superplastic deformation mechanisms at primary and steady stages of the fine grain AA7475 aluminium alloy // Mater. Sci. Eng. A. 2018. V. 718. P. 277–286.
- Котов А.Д., Михайловская А.В., Борисов А.А., Яковцева О.А., Портной В.К. Высокоскоростная сверхпластичность сплавов системы Al–Zn–Mg–Cu с добавками Fe и Ni // Физика металлов и металловедение. 2017. Т. 118. № 9. С. 958–966.
- Akopyan T.K., Belov N.A., Aleshchenko A.S., Galkin S.P., Gamin Y.V., Gorshenkov M.V., Cheverikin V.V., Shurkin P.K. Formation of the gradient microstructure of a new Al alloy based on the Al–Zn–Mg–Fe–Ni system processed by radial-shear rolling // Mater. Sci. Eng. A. 2019. V. 746. P. 134–144.
- Ширинкина И.Г., Бродова И.Г. Структурно-фазовые превращения при отжиге Al–Zn–Mg–Fe–Ni-сплава после кручения при высоком давлении // Физика металлов и металловедение. 2020. Т. 121. № 4. С. 388–395.
- Белов Н.А., Белов В.Д., Чеверикин В.В., Мишуров С.С. Экономно-легированные высокопрочные деформируемые никалины – алюминиевые сплавы нового поколения // Известия высших учебных заведений. Цветная металлургия. 2011. № 2. С. 49–58.
- Brodova I., Rasposienko D., Shirinkina I., Petrova A., Akopyan T., Bobruk E. Effect of Severe Plastic Deformation on Structure Refinement and Mechanical Properties of the Al–Zn–Mg–Fe–Ni Alloy // Metals (Basel). 2021. V. 11. № 2. P. 296.
- Portnoy V.K., Novikov I.I. Evaluation of grain boundary sliding contribution to the total strain during superplastic deformation // Scr. Mater. 1998. V. 40. № 1. P. 39–43.
- Mikhaylovskaya A.V., Yakovtseva O.A., Irzhak A.V. The role of grain boundary sliding and intragranular deformation mechanisms for a steady stage of superplastic flow for Al–Mg-based alloys // Mater. Sci. Eng. A. 2022. V. 833. P. 142524.
- Mondal C., Mukhopadhyay A.K. On the nature of T(Al2Mg3Zn3) and S(Al2CuMg) phases present in as-cast and annealed 7055 aluminum alloy // Mater. Sci. Eng. A. 2005. V. 391. № 1–2. P. 367–376.
- Cong F., Zhao G., Jiang F., Tian N., Li R. Effect of homogenization treatment on microstructure and mechanical properties of DC cast 7X50 aluminum alloy // Trans. Nonferrous Met. Soc. China. 2015. V. 25. № 4. P. 1027–1034.
- Zhao Y., Li H., Liu Y., Huang Y. The microstructures and mechanical properties of a highly alloyed Al–Zn–Mg–Cu alloy: The role of Cu concentration // J. Mater. Res. Technol. 2022. V. 18. P. 122–137.
- Xiao X.L., Liu H.W., Chen W.L., Lin Y.M. Morphology of Dispersoids in an Annealed Al-Mg Alloys // Mater. Sci. Forum. 2021. V. 1035. P. 72–82.
- Sripathi S., Padmanabhan K.A. Universality of the Phenomenology of Structural Superplasticity // Mater. Sci. Forum. 2016. V. 838–839. P. 84–88.
- Lv S., Jia C., He X., Wan Z., Li X., Qu X. Superplastic Deformation and Dynamic Recrystallization of a Novel Disc Superalloy GH4151 // Materials (Basel). 2019. V. 12. № 22. P. 3667.
- Rabinovich M.K., Trifonov V.G. Dynamic grain growth during superplastic deformation // Acta Mater. 1996. V. 44. № 5. P. 2073–2078.
- Bate P.S., Hyde K.B., Court S.A., Humphreys John F. Dynamic Grain Growth in Superplastic and Non-Superplastic Aluminium Alloys // Mater. Sci. Forum. 2004. V. 447–448. P. 61–66.
- Messerschmidt U., Bartsch M. Generation of dislocations during plastic deformation // Mater. Chem. Phys. 2003. V. 81. № 2–3. P. 518–523.
- Chen C.L., Tan M.J. Effect of grain boundary character distribution (GBCD) on the cavitation behaviour during superplastic deformation of Al 7475 // Mater. Sci. Eng. A. 2002. V. 338. № 1–2. P. 243–252.
- Mikhaylovskaya A.V., Yakovtseva O.A., Mochugovskiy A.G., Cifre J., Golovin I.S. Influence of minor Zn additions on grain boundary anelasticity, grain boundary sliding, and superplasticity of Al–Mg-based alloys // J. Alloys Compd. 2022. V. 926. P. 166785.
- Rust M.A., Todd R.I. Surface studies of Region II superplasticity of AA5083 in shear: Confirmation of diffusion creep, grain neighbour switching and absence of dislocation activity // Acta Mater. Acta Materialia. 2011. V. 59. № 13. P. 5159–5170.
- Sotoudeh K., Bate P.S. Diffusion creep and superplasticity in aluminium alloys // Acta Mater. Acta Materialia. 2010. V. 58. № 6. P. 1909–1920.
- Todd R.I. Critical review of mechanism of superplastic deformation in fine grained metallic materials // Mater. Sci. Technol. 2000. V. 16. № 11–12. P. 1287–1294.
补充文件
 
				
			 
						 
						 
						 
						 
					 
				







