STRUCTURAL-PHASE STATUS OF HIGH ENTRICITY NbTiHfVZr ALLOY
- Authors: Abzaev Y.A.1, Guda S.A.2,3, Guda A.A.2,3, Zelenkov A.A.1, Kolesnikov V.I.3
-
Affiliations:
- Tomsk State University of Architecture and Civil Engineering
- The Smart Materials Research Institute, Southern Federal University
- Rostov State Transport University
- Issue: Vol 124, No 8 (2023)
- Pages: 739-747
- Section: СТРУКТУРА, ФАЗОВЫЕ ПРЕВРАЩЕНИЯ И ДИФФУЗИЯ
- URL: https://journals.rcsi.science/0015-3230/article/view/139492
- DOI: https://doi.org/10.31857/S0015323023600636
- EDN: https://elibrary.ru/SNGOAW
- ID: 139492
Cite item
Full Text
Abstract
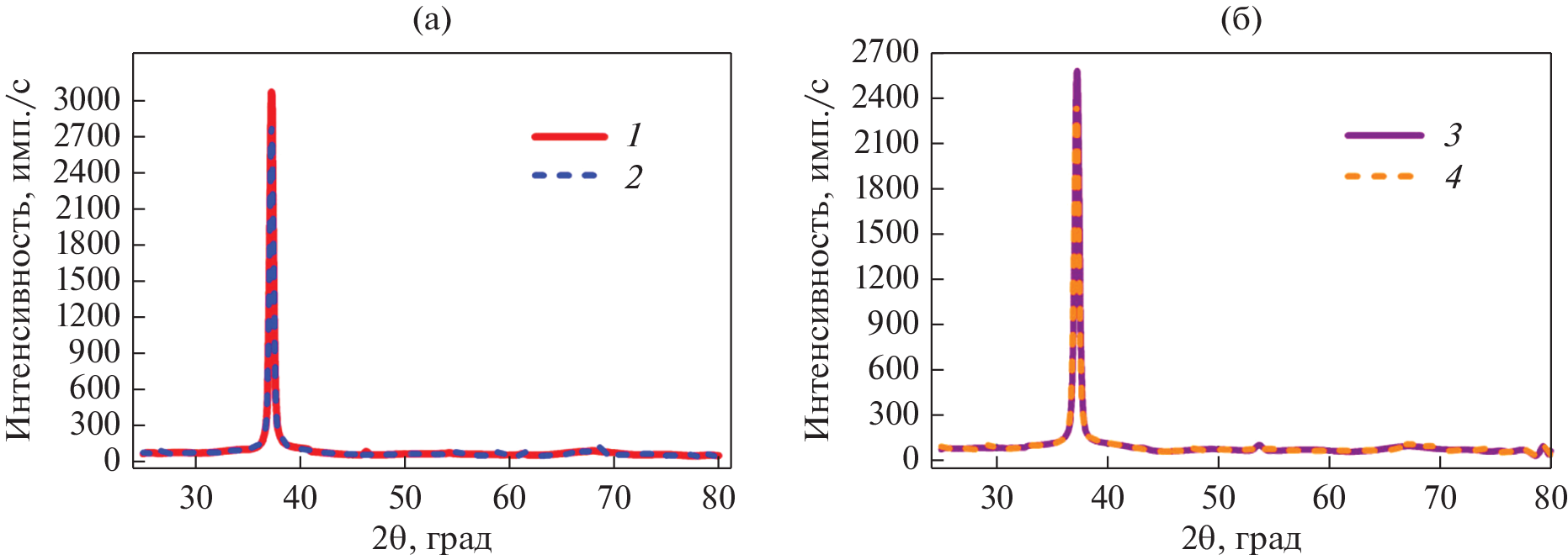
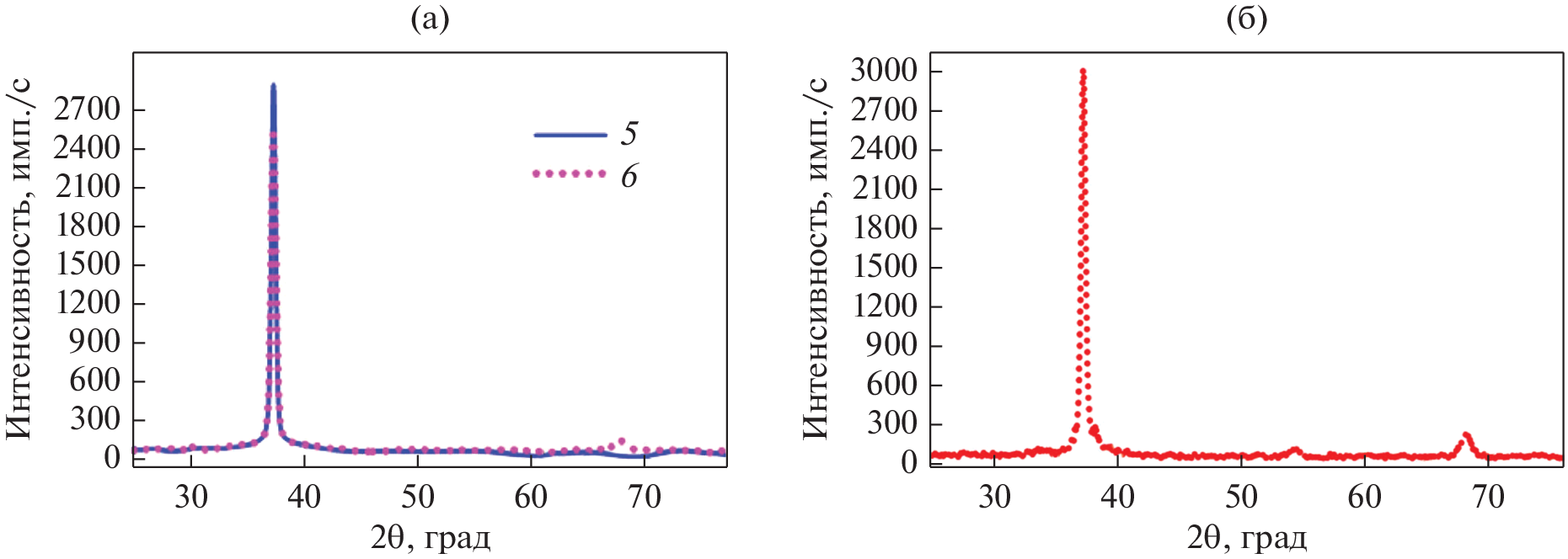
The paper presents the results of the high entropy alloy NbTiHfVZr stability study based on the analysis of critical Yum-Roseri indices, enthalpy of double alloys by Miedema method, entropy of mixing of NbTiHfVZr compound near the melting temperature. The method of inverse convex shells (InveseHubWeb) found temperature stability intervals, which for the compound NbTiHfVZr extend from the melting temperature to 1200K. In the case of NbTiHfZr the temperature stability interval extends up to room temperature. The obtained results indicate that the compounds NbTiHfVZr, NbTiHfZr belong to the high entropy lattices of which belong to the class of single-phase single-element solid solutions. Prediction of the lattices by the evolution code in the USPEX code made it possible to detect from the base of 300 standards, several simple cubic lattices with the spatial group P1 and different spatial distribution of atoms, which lattice energy turns out to be negative. The totality of the results obtained indicates that the found standards can be attributed to the stable phases in the corresponding temperature stability intervals of the compounds NbTiHfVZr, NbTiHfZr.
About the authors
Yu. A. Abzaev
Tomsk State University of Architecture and Civil Engineering
Email: Abzaev2010@yandex.ru
Tomsk, 634003 Russia
S. A. Guda
The Smart MaterialsResearch Institute,
Southern Federal University; Rostov State Transport University
Email: Abzaev2010@yandex.ru
Rostov-on-Don, 344090 Russia; Rostov-on-Don, 344038 Russia
A. A. Guda
The Smart MaterialsResearch Institute,
Southern Federal University; Rostov State Transport University
Email: Abzaev2010@yandex.ru
Rostov-on-Don, 344090 Russia; Rostov-on-Don, 344038 Russia
A. A. Zelenkov
Tomsk State University of Architecture and Civil Engineering
Email: Abzaev2010@yandex.ru
Tomsk, 634003 Russia
V. I. Kolesnikov
Rostov State Transport University
Author for correspondence.
Email: Abzaev2010@yandex.ru
Rostov-on-Don, 344038 Russia
References
- Fazakas É., Zadorozhnyy V., Varga L.K., Inoue A., Louzguine-Luzgin D.V., Tian F., Vitos L. Experimental and theoretical study of Ti20Zr20Hf20Nb20X20 (X = V or Cr) refractory high-entropy alloys // Int. J. Refractory Metals and Hard Materials. 2014. V. 47. P. 131–138.
- Wu Y.D., Cai Y.H., Wang T., Si J.J., Zhu J., Wang Y.D., Hui X.D. A refractory Hf25Nb25Ti25Zr25 high-entropy alloy with excellent structural stability and tensile properties // Mater. Letters. 2014. V. 130. P. 277–280.
- Senkov O.N., Wilks G.B. Mechanical properties of Nb25Mo25Ta25W25 and V20Nb20Mo20Ta20W20 refractory high entropy alloys // Intermetallics. 2011. V. 19(5). P. 698–706.
- Li Z., Pradeep K., Deng Y., Raabe D., Tasan C.C. Metastable high-entropy dual-phase alloys overcome the strength–ductility trade-off // Nature. 2016. V. 534. P. 227–230.
- Li R., Xie L., Wang W., Liaw P.K., Zhang Y. High-Throughput Calculations for High-Entropy Alloys: A Brief Review // Frontier in Materials. 2020. V. 7. P. 1–12.
- Lee K., Ayyasamy M.V., Delsa P., Hartnett T.Q., Balachandran P.V. Phase classification of multi-principal element alloys via interpretable machine learning // Comp. Mater. 2022. V. 8. 25. P. 1–12.
- Rajendrachari S. An Overview of High-Entropy Alloys Prepared by Mechanical Alloying Followed by the Characterization of Their Microstructure and Various Properties // Alloys. 2022. V. 1 (2). P. 116–134.
- Zhang Y., Zhou Y.J., Lin J.P., Chen G.L., Liaw P.K. Solid-Solution Phase Formation Rules for Multi-component Alloys // Adv. Eng. Mater. 2008. V. 10. P. 534–538.
- Eshed E., Larianovsky N., Kovalevsky A., Popov V.Jr., Gorbachev I., Popov V., Katz-Demyanetz A. Microstructural Evolution and Phase Formation in 2nd-Generation Refractory-Based High Entropy Alloys // Materials. 2018. V. 11. P. 75. https://doi.org/10.3390/ma11020175
- Ryltsev R.E., Estemirova S.Kh., Gaviko V.S., Yagodin D.A., Bykov V.A., Sterkhov E.V., Cherepanova L.A., Sipatov I.S., Balyakin I.A., Uporov S.A. Structural evolution in TiZrHfNb high-entropy alloy // Materialia. 2022. V. 21. P. 101311. https://doi.org/10.1016/j.mtla.2021.101311
- Rogachev A., Kovalev D., Fourmont A. Vadchenko S., Kochetov N., Shkodich N., Baras F, Politano O., Moskovskikh D. Structural Transformations in Medium- and High-Entropy Alloy Systems in Course of High-Energy Ball Milling // Int. J Self-Propag. High-Temp. Synth. 2022. V. 31. P. 62–68.
- Ахметов Н.С. Общая и неорганическая химия. Учеб. Для вузов. 4-е издание. М.: Высш. шк. Изд-во “Академия”, 2001. 743 с.
- Oganov A.R., Glass C.W. Crystal structure prediction using ab initio evolutionary techniques: Principles and applications // J. Chem. Phys. 2006. V. 124 (24). P. 244704. https://doi.org/10.1063/1.2210932
- Oganov A.R., Lyakhov A.O., Valle M. How Evolutionary Crystal Structure Prediction Works and Why // Accounts Chem. Research. 2011. V. 44 (3). P. 227–237.
- Электронный доступ: https://www.aflowlib.org/search.
- Электронный доступ: https://materialsproject.org/.
- Evans D., Chen J., Bokas G., Chen W., Hautier G., Sun W. Visualizing temperature-dependent phase stability in high entropy alloys // Comput. Mater. 2021. V. 7. № 151. P. 1–9.
- Bokas G.B., Chen W., Hilhorst A., Jacques P.J., Gorsse S., Hautier G. Unveiling the thermodynamic driving forces for high entropy alloys formation through big data ab initio analysis // Scripta Materialia. 2021. V. 202. P. 1–5.
- Kosmachev P.V., Abzaev Yu.A., Vlasov V.A. Quantitative phase analysis of plasma-treated high-silica materials // Russian Physics Journal. 2018. V. 61. № 2. P. 264–269.
- Ivanov Yu.F., Abzaev Y.A., Gromov V.E., Konovalov S.V., Klopotov A A. and Semin A.P. Phase analysis and structural state of AlCoFeCrNi high-entropy alloy of nonequiatomic composition // AIP Conference Proceedings. 2022. V. 2509. P. 020087. https://doi.org/10.1063/5.0085244
- Guo S., Liu C.T. Phase stability in high entropy alloys: Formation of solid-solution phase or amorphous phase // Progress Natural Sci.: Material International. 2020. V. 21. P. 43–446.
- Yeh J, Chen S, Lin S, Gan J, Chin T, Shun T.-T., Tsau C.-H., Chang S.-Y. Nanostructured high-entropy alloys with multiple principal elements: novel alloy design concepts and outcomes // Advance Engineering Materials. 2004. V. 6 (5). P. 299–303.
- Yeh J.W. Alloy Design Strategies and Future Trends in High-Entropy Alloys // JOM. 2013. V. 65. P. 1759–1771.
- Zhang R.F., Zhang S.H., He Z.J., Jing J., Sheng S.H. Miedema Calculator: A thermodynamic platform for predicting formation enthalpies of alloys within framework of Miedema’s Theory // Computer Physics Communications. 2016. V. 209. P. 58–69.
- Электронный доступ: https://en.wikipedia.org/wiki/ Melting_points_of_the_elements.
- Daryoush S., Mirzadeh H., Ataie A. Amorphization, mechano-crystallization, and crystallization kinetics of mechanically alloyed AlFeCuZnTi high-entropy alloys // Materials Letters. 2022. V. 307. P. 131098. https://doi.org/10.1016/j.matlet.2021.131098
- Bäker M. Calculating phase diagrams with ATAT //arXiv: 1907.10151v1. https://doi.org/10.48550/arXiv.1907.10151
- Электронный доступ: http://nano.sfedu.ru/ru/ structure/facilities/supercomputer-blokhin/.
Supplementary files








