Magnetic properties of layered Ni/Cu nanowires
- Authors: Bizyaev D.A.1, Khairetdinova D.R.2,3,4, Zagorskiy D.L.2, Doludenko I.M.2, Panina L.V.3,4, Bukharaev A.A.1, Rizvanova A.3
-
Affiliations:
- Zavoisky Physical-Technical Institute, FRC Kazan Scientific Center, Russian Academy of Sciences
- Federal Research Center “Crystallography and Photonics” RAS
- MISiS National University of Science and Technology
- Immanuel Kant Baltic Federal University
- Issue: Vol 124, No 8 (2023)
- Pages: 717-725
- Section: ЭЛЕКТРИЧЕСКИЕ И МАГНИТНЫЕ СВОЙСТВА
- URL: https://journals.rcsi.science/0015-3230/article/view/139485
- DOI: https://doi.org/10.31857/S0015323023600545
- EDN: https://elibrary.ru/PYDMJD
- ID: 139485
Cite item
Full Text
Abstract
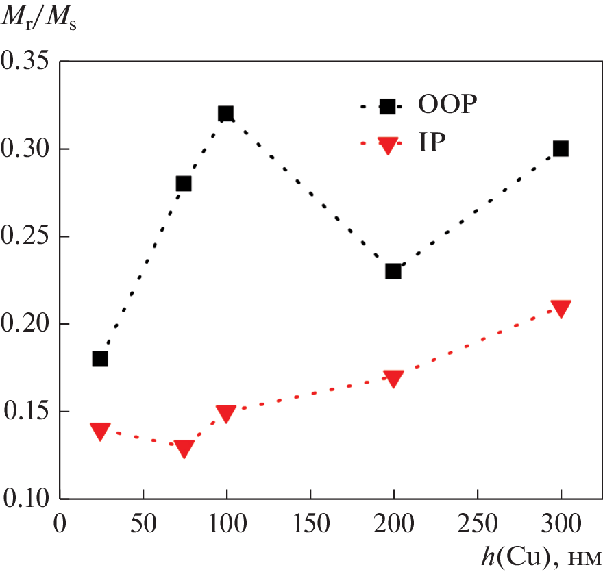
In this paper, the structural and magnetic properties of layered nanowires (NWs) made of alternating layers of nickel and copper were investigated. NW arrays were obtained by matrix synthesis. The nickel layers had a fixed thickness of 400 nm, and the thickness of the copper layers varied from 25 to 300 nm. The magnetic characteristics of such NWs were studied in two states: in a matrix (integral magnetic characteristics determined using vibrating sample magnetometry) and for individual NW (local magnetization visualized using MFM). For NWs in the matrix, the hysteresis loops measured for the two directions of the magnetic field become identical when the thickness of the Cu layer increases to 300 nm, which is due to the weakening of the dipole interaction between the Ni layers. The coercive force (190 Oe) and the residual magnetization (0.32 Ms) in the parallel direction of the field are maximal for the thickness of the Cu layer equal to 100 nm, which corresponds to the diameter of NWs and the distance between them. The MFM method was used to study samples with Cu layer thicknesses of 300 nm. It is demonstrated step by step how the application of an external magnetic field leads to remagnetization. An intermediate antiparallel distribution of magnetization in neighboring layers is revealed. The magnitude of the coercive force for an agglomerate of two or three NWs varies between 40-50 Oe, but the magnetization switching field turns out to be about 160 Oe, which is comparable to the coercive force for an array of NWs of this type (180-190 Oe). This demonstrates the role of the NWs' dipole interaction in the matrix.
About the authors
D. A. Bizyaev
Zavoisky Physical-Technical Institute, FRC Kazan Scientific Center, Russian Academy of Sciences
Email: hairetdr@gmail.com
Kazan, 420029 Russia
D. R. Khairetdinova
Federal Research Center “Crystallography and Photonics” RAS; MISiS National University of Science and Technology; Immanuel Kant Baltic Federal University
Email: hairetdr@gmail.com
Moscow, 119333 Russia; Moscow, 119049 Russia; Kaliningrad, 236041 Russia
D. L. Zagorskiy
Federal Research Center “Crystallography and Photonics” RAS
Email: hairetdr@gmail.com
Moscow, 119333 Russia
I. M. Doludenko
Federal Research Center “Crystallography and Photonics” RAS
Email: hairetdr@gmail.com
Moscow, 119333 Russia
L. V. Panina
MISiS National University of Science and Technology; Immanuel Kant Baltic Federal University
Email: hairetdr@gmail.com
Moscow, 119049 Russia; Kaliningrad, 236041 Russia
A. A. Bukharaev
Zavoisky Physical-Technical Institute, FRC Kazan Scientific Center, Russian Academy of Sciences
Email: hairetdr@gmail.com
Kazan, 420029 Russia
A. Rizvanova
MISiS National University of Science and Technology
Author for correspondence.
Email: hairetdr@gmail.com
Moscow, 119049 Russia
References
- Martin C.R. Nanomaterials: A membrane-based synthetic approach // Science. 1994. V. 268. № 5193. P. 1961–1966.
- Vazquez M. Magnetic nano- and microwires: design, synthesis, properties and applications. Amsterdam: Elsevier-Woodhead Publishing, 2015. 847 p.
- Wang P., Gao L., Wang L., Zhang D., Yang S., Song X., Qiu Z., Murakami R. Magnetic properties of FeNi nanowires arrays assembled on porous AAO template by AC electrodeposition// Int. J. Mod. Phys. B. 2010. V. 24. P. 2302–2307.
- Давыдов А.А., Волгин В.М. Темплатное электроосаждение металлов // Электрохимия. 2016. Т. 52. № 9. С. 905.
- Masuda H., Fukuda K. Ordered metal nanohole arrays made by a two-step replication of honeycomb structures of anodic alumina // Science. 1995. V. 268. № 5216. P. 1466–1468.
- Борисенко В.Е., Данилюк А.П., Мигас Д.Б. // Спинтроника. М.: Лаборатория знаний, 2017. 231 с.
- Lupu N. Electrodeposited Nanowires and Their Applications. Croatia: Intech, 2010. 228 p.
- Gandha K., Elkins K., Poudyal N., Liu X., Liu J.P. High Energy Product Developed from Cobalt Nanowires // Sci. Rep. 2014. V. 4. № 1. P. 5345.
- Samardak A.S., Sukovatitsina E.V., Ognev A.V., Chebotkevich L.A., Mahmoodi R., Peighambari S.M., Hosseini M.G., Nasirpouri F. High-density nickel nanowire arrays for data storage applications // J. Phys.: Conf. Ser. 2012. V. 345. № 1. P. 012011.
- Zamani Kouhpanji M.R., Ghoreyshi A., Visscher P.B., Stadler B.J.H. Facile decoding of quantitative signatures from magnetic nanowire arrays // Sci. Rep. 2020. V. 10. № 1. P. 15482.
- Zamani Kouhapanji M.R., Nemati Z., Modiano J.F., Franklin R.R., Stadler B.J.H. Realizing the principles for remote and selective detection of cancer cells using magnetic nanowires // J. Phys. Chem. B. 2021. V. 125. № 28. P. 7742–7749.
- Ivanov Y.P., Chuvilin A., Lopatin S., Kosel J. Modulated magnetic nanowires for controlling domain wall motion: toward 3D magnetic memories // ACS Nano. 2016. V. 10. № 5. P. 5326–5332.
- Um J., Zama Kouhpanji M.R., Liu S., Porshokouh Z.N., Sung S.Y., Kosel J., Stadler B. Fabrication of Long-Range Ordered Aluminum Oxide and Fe/Au Multilayered Nanowires for 3-D Magnetic Memory // IEEE Trans. Magn. 2020. V. 56. № 2. P. 1–6.
- Долуденко И.М., Михеев А.В., Бурмистров И.А., Трушина Д.Б., Бородина Т.Н., Букреева Т.В., Загорский Д.Л. Получение цилиндрических магнитных наночастиц для функционализации полиэлектролитных микрокапсул // ЖТФ. 2020. Т. 90. № 9. С. 1435–1441.
- Abdellahi M., Tajally M., Mirzaee O. The effect of the particle size on the heating and drug release potential of the magnetic nanoparticles in a novel point of view // J. Magn. Magn. Mater. 2021. V. 530. P. 167938.
- Zagorskiy D.L., Doludenko I.M., Chigarev S.G., Vilkov E.A., Kanevskii V.M., Panas A.I. Ensembles of layered nanowires, obtained by matrix synthesis technique, for generation of THz irradiation // IEEE Transactions on Magnetics. 2022. V. 58. № 2. P. 2 300 605.
- Chen M., Searson P.C. Micromagnetic behavior of electrodeposited Ni/Cu multilayer nanowires // J. Appl. Phys. 2003. V. 93. № 10. P. 8253–8255.
- Carignan L.-P., Lacroix C., Ouimet A., Ciureanu M., Yelon A., Ménard D. Magnetic anisotropy in arrays of Ni, CoFeB, and Ni/Cu nanowires // J. Appl. Phys. 2007. V. 102. № 2. P. 0239054.
- Moraes S., Navas D., Béron F., Proenca M.P., Pirota K.R., Sousa C.T., Araújo J.P. The Role of Cu Length on the Magnetic Behaviour of Fe/Cu Multi-Segmented Nanowires // Nanomaterials. 2018. V. 8. № 7. P. 490–502.
- Черкасов Д.А., Загорский Д.Л., Хайбуллин Р.И., Муслимов А.Э., Долуденко И.М. Структура и магнитные свойства слоевых нанопроволок из 3d-металлов, полученных методом матричного синтеза // ФТТ. 2020. Т. 62. № 9. С. 1531–1541.
- Nielsch K., Hertel R., Wehrspohn R.B. High-Density Nickel Nanowire Arrays / Ordered Porous Nanostructures and Applications. Nanostructure Science and Technology. Boston: Springer, 2005. P. 165–184.
- Ivanov Yu.P., Chuvilin A., Vivas L.G., Kosel J., Chubykalo-Fesenko O., Vázquez M. Single crystalline cylindrical nanowires – toward dense 3D arrays of magnetic vortices // Sci. Rep. 2016. V. 6. № 1. P. 23844.
- Бизяев Д.А., Бухараев А.А., Хайбуллин Р.И., Лядов Н.М., Загорский Д.Л., Бедин С.А., Долуденко И.М. Магнитно-силовая микроскопия металлических нанопроволок железа и никеля, полученных методом матричного синтеза // Микроэлектроника. 2018. Т. 47. № 3. С. 212–221.
- Liu R.S., Chang S.C., Hu S.F., Huang C.Y. Highly ordered magnetic multilayer Ni/Cu nanowires // Phys. Stat. Sol. 2006. V. 2. № 5. P. 1339–1342.
- Samardak A.Yu., Jeon Y.S., Kozlov A.G., Rogachev K.A., Ognev A.V., Jeong E., Kim G.W., Ko M.J., Samardak A.S., Kim Y.K. Inter-wire and Intra-wire Magnetostatic Interactions in Fe-Au Barcode Nanowires with Alternating Ferromagnetically Strong and Weak Segments // Small. 2022. P. 2203555.
- Marqués-Marchán J., Fernandez-Roldan J.A., Bran C., Puttock R., Barton C., Moreno J.A., Kosel J., Vazquez M., Kazakova O., Chubykalo-Fesenko O., Asenjo A. Distinguishing Local Demagnetization Contribution to the Magnetization Process in Multisegmented Nanowires // Nanomaterials. 2022. V. 12. № 12. P. 1968.
- Bochmann S., Döhler D., Trapp B., Stano M., Fruchart O., Bachmanna J. Preparation and physical properties of soft magnetic nickel-cobalt nanowires with modulated diameters // J. Appl. Phys. 2018. V. 124. № 16. P. 163 907.
- Zagorskiy D., Doludenko I., Zhigalina O., Khmelenin D., Kanevskiy V. Formation of nanowires of various types in the process of galvanic deposition of iron group metals into the pores of track membrane // Membranes. 2022. V. 12. № 2. P. 195.
- Bukharaev A.A., Biziaev D.A., Borodin P.A., Ovchinnikov D.V. In situ Magnetization Reversal Measurement of Magnetic Tips in a Magnetic Force Microscope // Phys. Low-Dim. Struc. 2004. V. 1. № 2. P. 153.
Supplementary files









