Analysis of conditions of crystallization suppression in Fe40Ni40P14B6 melt
- Authors: Sviridova E.A.1,2, Vasiliev S.V.1,2, Tkatch V.I.1
-
Affiliations:
- Galkin Donetsk Institute for Physics and Engineering
- Donbas National Academy of Civil Engineering and Architecture
- Issue: Vol 124, No 9 (2023)
- Pages: 821-829
- Section: ЭЛЕКТРИЧЕСКИЕ И МАГНИТНЫЕ СВОЙСТВА
- URL: https://journals.rcsi.science/0015-3230/article/view/139484
- DOI: https://doi.org/10.31857/S0015323023600892
- EDN: https://elibrary.ru/EDOWZU
- ID: 139484
Cite item
Full Text
Abstract
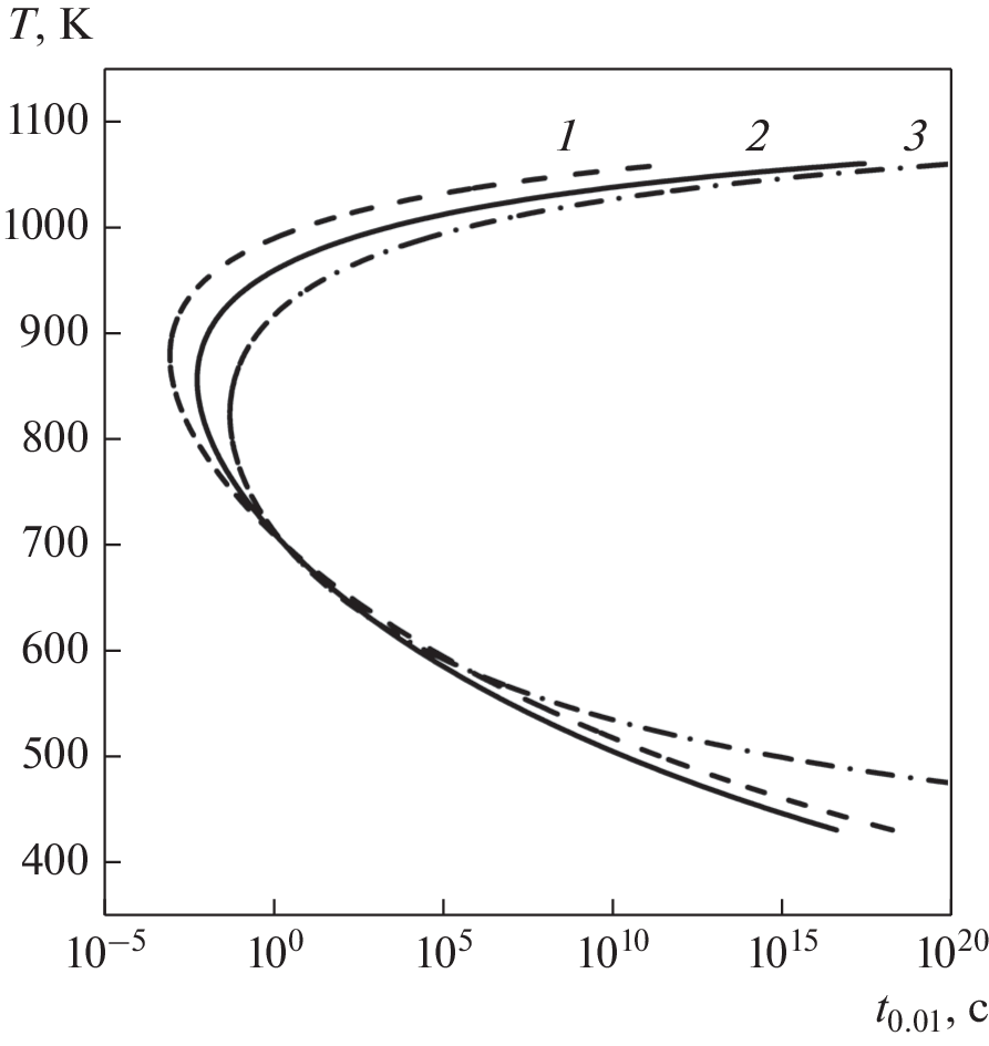
The critical cooling rates required for suppression of Fe40Ni40P14B6 melt crystallization were estimated in the framework of the formalism of classical theory of crystallization assuming homogeneous nucleation rate, linear isotropic growth and Kolmogorov-Johnson-Mehl-Arami kinetics. Both the calculated “time-temperature-transformation” diagrams and the integral form of the Kolmogov’s equation for the case of continuous cooling were used for the estimations. The temperature dependences of the rates of crystal nucleation and growth were calculated with using of the values of the thermodynamic and kinetic parameters governing the crystal formation in amorphous phase as well as with the three-parameter temperature dependence of diffusivity proposed in the study. The critical cooling rates for different combinations of the equations describing nucleation and growth of crystals were estimated and the conditions for the correct prediction of the glass forming ability of Fe40Ni40P14B6 melt were established.
About the authors
E. A. Sviridova
Galkin Donetsk Institute for Physics and Engineering; Donbas National Academy of Civil Engineering and Architecture
Email: ksvir@list.ru
Donetsk, 283114 Russia; Makeevka, 286123, Russia
S. V, Vasiliev
Galkin Donetsk Institute for Physics and Engineering; Donbas National Academy of Civil Engineering and Architecture
Email: ksvir@list.ru
Donetsk, 283114 Russia; Makeevka, 286123, Russia
V. I. Tkatch
Galkin Donetsk Institute for Physics and Engineering
Author for correspondence.
Email: ksvir@list.ru
Donetsk, 283114 Russia
References
- Ковнеристый Ю.К., Осипов Э.К., Трофимова Е.А. Физико-химические основы создания аморфных металлических сплавов. М.: Наука, 1983. 145 с.
- Uhlmann D.R. A kinetic treatment of glass formation // J. Non-Cryst. Sol. 1972. V. 7. P. 337–348.
- Davies H.A., Aucote J., Hull J.B. The kinetics of formation and stabilities of metallic glasses // Scr. Metallurg. 1974. V. 8. P. 1179–1189.
- Колмогоров А.Н. К статистической теории кристаллизации металлов // Изв. АН СССР. Сер. матем. 1937. № 3. С. 355–360.
- Johnson W.A., Mehl R.E. Reaction kinetics in processes of nucleation and growth // Trans. Amer. Inst. Min. Met. 1939. V. 135. P. 416–434.
- Avrami M. Kinetics of phase change I. General theory // J. Chem. Phys. 1939. V. 7. P. 1103–1112.
- Кристиан Дж. Теория превращений в металлах и сплавах. Ч. 1. М.: Мир, 1978. 806 с.
- Ramachandrarao P., Cantor B., Cahn R.W. Viscous behaviour of undercooled metallic melts // J. Non-Cryst. Sol. 1977. V. 24. P. 109–120.
- Anderson P.M. III, Steinberg J., Lord A.E. Jr. Continuos cooling (CT) versus isothermal transformation (TTT) diagrams in metallic alloy glasses // J. Non-Cryst. Sol. 1979. V. 34. P. 267–272.
- Kim Y.J., Busch R., Johnson W.L., Rulison A.J., Rhim W.K. Experimental determination of a time-temperature-transformation diagram of the undercooled Zr41.2Ti13.8Cu12.5Ni10Be22.5 alloy using the containerless electrostatic levitation processing technique // J Appl. Phys. 1996. V. 68. P. 1057–1059.
- Kim Y.J., Bush R., Johnson W.L., Rulison A.J., Rhim W.K. Metallic glass formation in highly undercooled Zr41.2Ti13.8Cu12.5Ni10Be22.5 during containerless electrostatic levitation processing // Appl. Phys. Lett. 1994. V. 65. P. 2136–2138.
- Ganorkar S., Lee S., Lee Y.-H., Ishikawa T., Lee G.W. Origin of glass forming ability of Cu-Zr alloys: A link between compositional variation and stability of liquid and glass // Phys. Rev. Mater. 2018. V. 2. P. 115606.
- Castellero A., Fiore G., Van Steenberge N., Battezzati L. Processing a Fe67Mo4.5Cr2.3Al2Si3C7P8.7B5.5 metallic glass: Experimental and computed TTT and CCT curves // J. Alloys Compds. 2020. V. 843. 156061.
- Castellero A., Battezzati L. Thermophysical parameters governing the glass formation and crystallization of CuZr // J. Non-Cryst. Sol. 2023. V. 610. 122311.
- Васильев С.В., Костыря С.А., Ткач В.И. Оценка склонности расплавов Fe40Ni40P14B6 и Fe48Co32P14B6 к аморфизации с использованием диаграмм время-температура-превращение // Физ. техн. выс. давл. 2023. Т. 33. № 1. С. 101–113.
- Shen T.D., Schwarz R.B. Bulk ferromagnetic glasses in the Fe–Ni–P–B system // Acta Mater. 2001. V. 49. P. 837–847.
- Li Q. Formation of ferromagnetic bulk amorphous Fe40Ni40P14B6 alloys // Mater. Lett. 2006. V. 60. P. 3113–3117.
- Morris D.G. Crystallization of the Metglas 2826 amorphous alloy // Acta Metallurg. 1981. V. 29. P. 1213–1220.
- Metglass Alloy 2826 // Alloy Digest. 1976. Nov. P. 4–5.
- Набережных В.П., Лимановский А.И., Ткач В.И., Кукса Л.В., Каменева В.Ю. Влияние скорости нагрева на размер зерна и кинетику кристаллизации аморфного сплава Fe40Ni40P14B6 // ФММ. 1988. Т. 66. № 1. С. 169–177.
- Tiwari R.S. Analysis of steady state crystal nucleation in Metglas 2826 // J. Non-Cryst. Sol. 1986. V. 83. P. 126–133.
- Limoge Y., Barbu A. Cinetique et mecanisme de cristallsation par decomposition eutectique d’un alliage metallique amorphe: le systeme Fe40Ni40P14B6 // Acta Metall. 1982. V. 30. № 12. P. 2233–2243.
- Vasiliev S.V., Kovalenko O.V., Svyrydova K.A., Limanovskii A.I., Tkatch V.I. Crystallization kinetics of the Fe40Ni40P14B6 metallic glass in an extended range of heating rates // J. Mater. Sci. 2019. V. 54. № 7. P. 5788–5801.
- Thompson C.V., Spaepen F. On the approximation of the free energy change on crystallization // Acta Metallurg. 1979. V. 22. № 12. P. 1855–1859.
- Wang Q., Wang L.-M., Ma M.Z., Binder S., Volkmann T., Herlach D.M., Wang J.S., Xue Q.G., Tian Y.J., Liu R.P. Diffusion-controlled crystal growth in deeply undercooled Zr50Cu50 melt on approaching the glass transition // Phys. Rev. B. 2011. V. 83. P. 014202.
- Galenko P.K., Wonneberger R., Koch S., Ankudinov V., Kharanzhevskiy E.V., Rettenmayr M. Bell-shaped “dendrite velocity-undercooling” relationship with an abrupt drop of solidification kinetics in glass forming Cu–Zr(–Ni) melts // J. Cryst. Growth. 2020. V. 532. P. 125411.
- Kim J.H., Kim S.G., Inoue A. In situ observation of solidification behavior in undercooled Pd–Cu–Ni–P alloy by using a confocal scanning laser microscope // Acta Mater. 2001. V. 49. P. 615–622.
- Fokin V.M., Abyzov A.S., Rodrigues A.M., Pompermayer R.Z., Macena G.S., Zanotto E.D., Ferreira E.B. Effect of non-stoichiometry on the crystal nucleation and growth in oxide glasses // Acta Mater. 2019. V. 180. P. 317–328.
- Steinberg J., Tyagi F., Lord A.E. Jr. The viscosity of molten Fe40Ni40P14B6 and Pd82Si18 // Acta Metallurg. 1981. V. 29. № 7. P. 1309–1319.
- Tkatch V.I., Denisenko S.N., Beloshov O.N. Direct measurements of the cooling rates in the single roller rapid solidification technique // Acta Mater. 1997. V. 45. № 7. P. 2821–2826.
- Tkatch V.I., Rassolov S.G., Popov V.V., Kostyrya S.A. Crystallization of glassy Fe40Ni40P14B6 alloy on heating and the melt amorphization during melt-spinning processing // J. Phys.: Conf. Ser. 2008. V. 98. P. 052011.
- Lin X.H., Johnson W.L. Formation of Ti–Zr–Cu–Ni bulk metallic glasses // J. Appl. Phys. 1995. V. 78. № 11. P. 6514–6519.
- Macfarlane D.R. Continuous cooling (CT) diagrams and critical cooling rates: a direct method of calculation using the concept of additivity // J. Non-Cryst. Sol. 1982. V. 53. P. 61–72.
- Ткач В.И., Крысов В.И., Каменева В.Ю., Лимановский А.И., Рассолов С.Г., Крысова С.К., Попов В.В. Изменения структуры и свойств металлического стекла Fe40Ni40P14B6 в условиях непрерывного нагрева // Конденсированные среды и межфазные границы. 2001. Т. 3. № 1. С. 46–48.
- Meyer A., Busch R., Schober H. Time-temperature superposition of structural relaxation in a viscous metallic liquid // Phys. Rev. Lett. 1999. V. 83. № 24. P. 5027–5029.
- Yang Q., Liu H., Peng H. Crystal growth in deeply undercooled Ni50Al50: Signature of the ordering sequence at the interface // J. Chem. Phys. 2021. V. 154. P. 194503.
- Rozas R.E., Ankudinov V., Galenko P.K. Kinetics of rapid growth and melting of Al50Ni50 alloying crystals: phase field theory versus atomistic simulations revisited // J. Phys.: Condens. Matter. 2022. V. 34. P. 494002.
Supplementary files







