Nonuniformity of magnetization processes of a cobalt-based amorphous alloys in the as-quenched state
- Authors: Skulkina N.A.1, Nekrasov E.S.1
-
Affiliations:
- Ural Federal University
- Issue: Vol 124, No 8 (2023)
- Pages: 703-709
- Section: ЭЛЕКТРИЧЕСКИЕ И МАГНИТНЫЕ СВОЙСТВА
- URL: https://journals.rcsi.science/0015-3230/article/view/139482
- DOI: https://doi.org/10.31857/S0015323023600648
- EDN: https://elibrary.ru/SQBUSW
- ID: 139482
Cite item
Full Text
Abstract
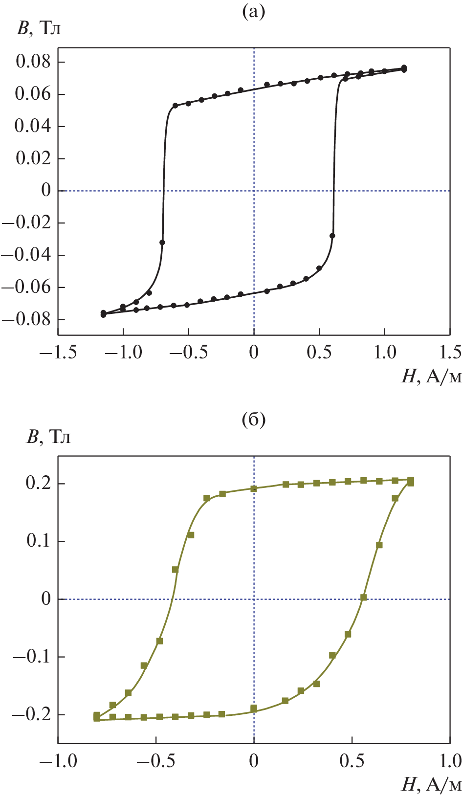
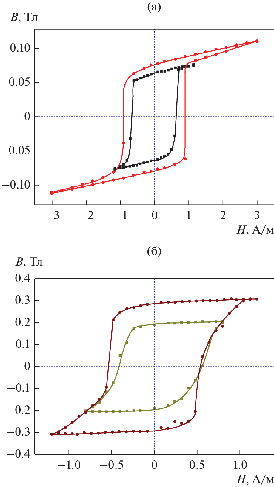
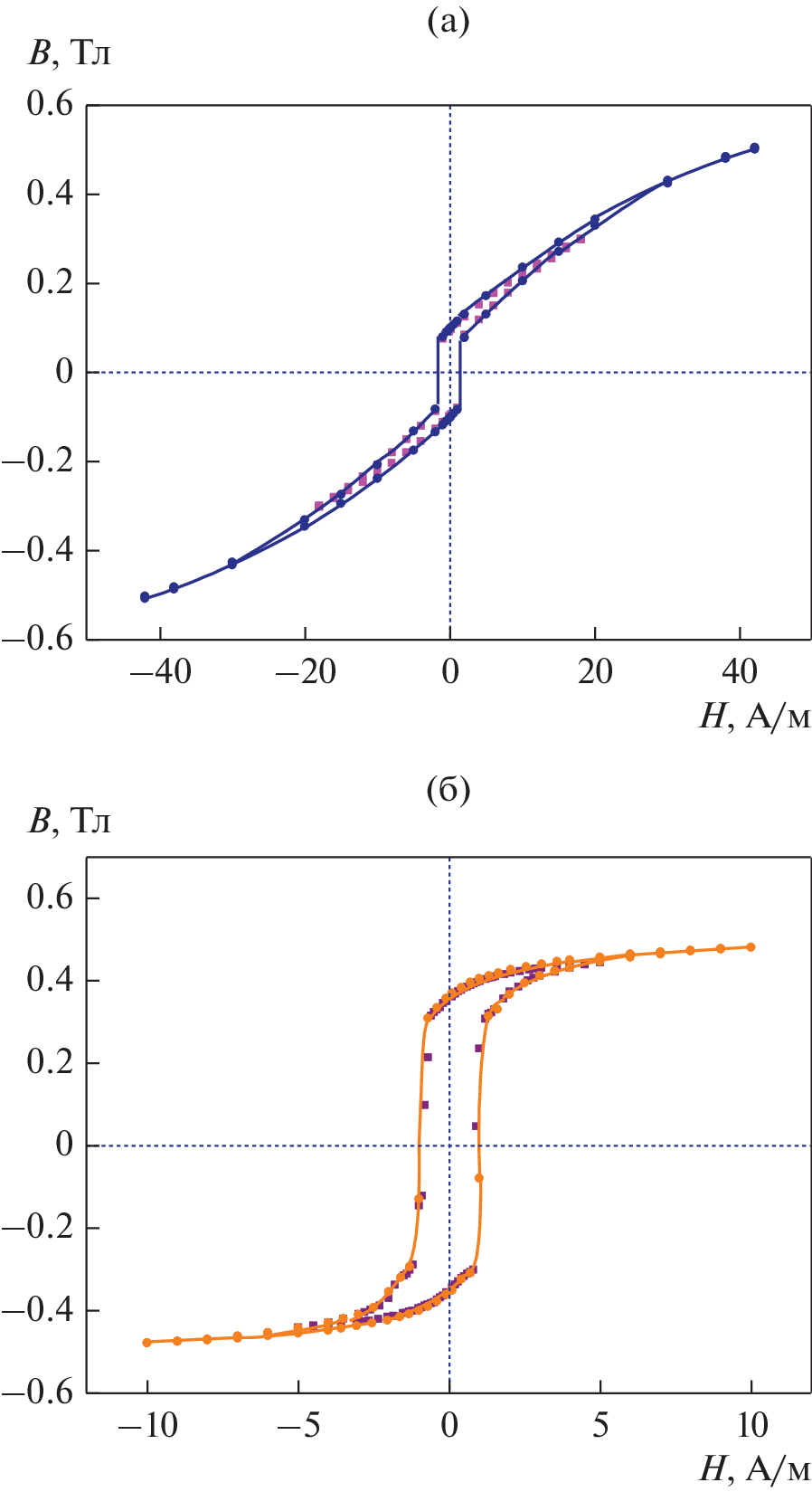
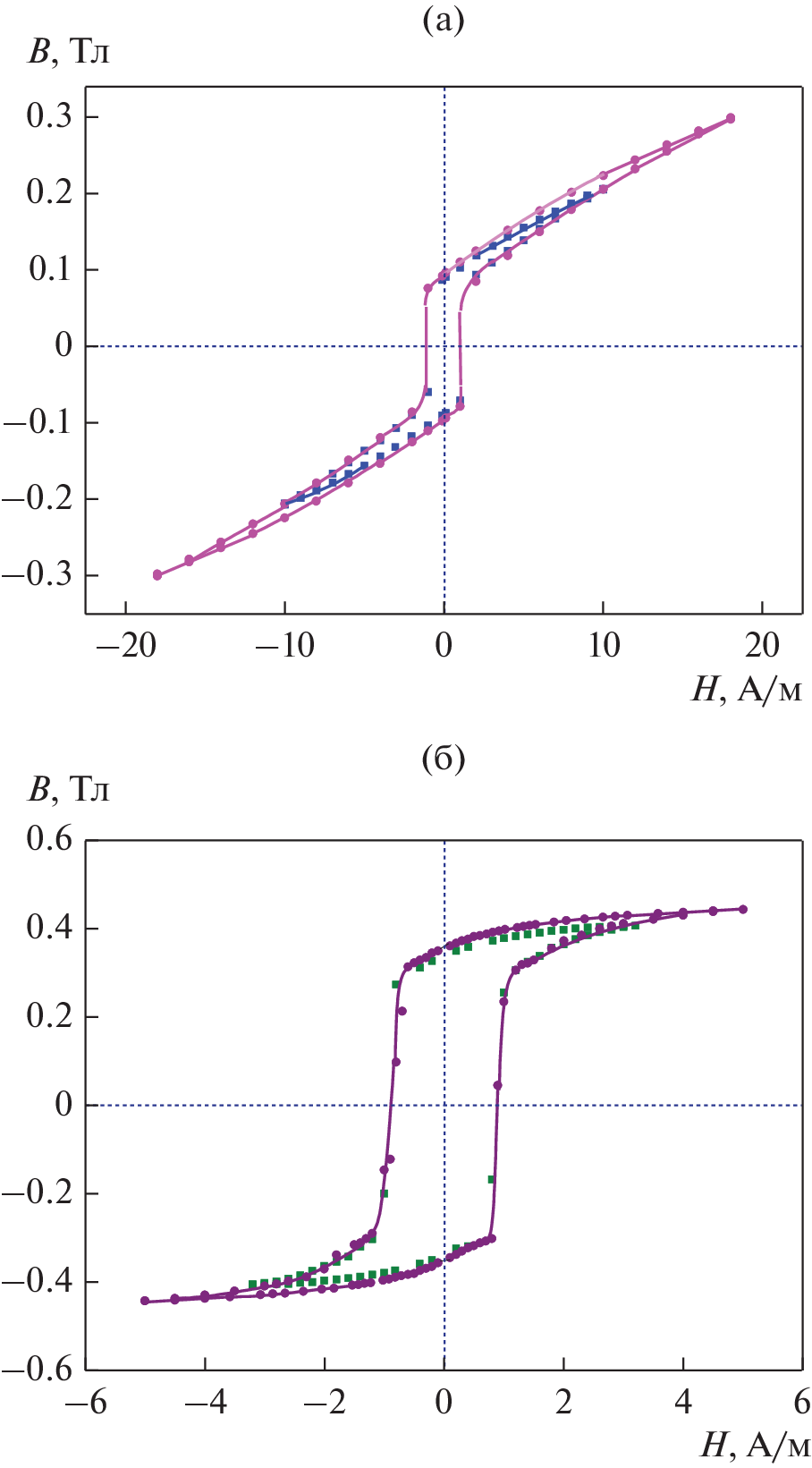
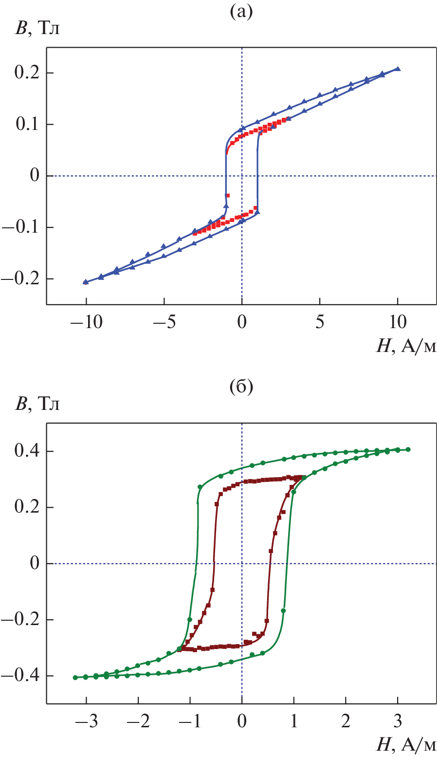
The magnetization processes nonuniformity of an amorphous cobalt-based soft-magnetic alloy AMAG-172 (Co-Ni-Fe-Cr-Mn-Si-B) in the as-quenched state were studied. Studies have shown that the main reason of the magnetic characteristics and magnetization processes nonuniformity is the nonuniformity of internal stresses due to the alloy manufacture method. An indirect characteristic of internal stresses is the domains volume with orthogonal magnetization. The observed bimodal field dependence of the magnetic permeability and the field shift of the hysteresis loops in the region of 180-degree domain walls displacement are a consequence of the nonuniformity of the alloy over its thickness. The field shift and the asymmetry of hysteresis loops are explained in terms of the formation of a unidirectional exchange anisotropy at the interface between the ferromagnetic and antiferromagnetic phases of the planar magnetization components oriented along the ribbon axis. The field shift disappearance and the asymmetry of the hysteresis loops along the width of the tape can be interpreted as a decrease in the thickness of the CoO oxide antiferromagnetic layer due to the difference in the concentrations and depth of oxygen and hydrogen atoms penetration induced into the surface of the tape during the manufacture of the tape as a result of interaction with atmospheric vapor.
About the authors
N. A. Skulkina
Ural Federal University
Email: nadezhda.skulkina@urfu.ru
Ekaterinburg, 620002 Russia
E. S. Nekrasov
Ural Federal University
Author for correspondence.
Email: nadezhda.skulkina@urfu.ru
Ekaterinburg, 620002 Russia
References
- Скулкина Н.А., Некрасов Е.С., Денисов Н.Д., Кузнецов П.А., Мазеева А.К. Неоднородность магнитных характеристик аморфного сплава на основе кобальта в закаленном состоянии // ФММ. 2021. Т. 122. № 11. С. 1135–1141. https://doi.org/10.31857/S0015323021110140
- Dai J., Wang Y.G., Yang L., Xia G.T., Zeng Q.S., Lou H.B. Structural aspects of magnetic softening in Fe-based metallic glass during annealing // Scr. Mater. 2017. V. 127. P. 88–91.
- Орлова Н.Н. Влияние механических напряжений на структуру, фазовые превращения и свойства аморфных сплавов / Дис. … канд. физ.-мат. наук. 01.04.07. Институт физики твердого тела РАН. Черноголовка, 2014. 133 с.
- Evenson Z., Koschine T., Wei S., Gross O., Bednarcik J., Gallino I., Kruzic J.J., Rätzke K., Faupel F., Busch R. The effect of low-temperature structural relaxation on free volume and chemical short-range ordering in a Au49Cu26.9Si16.3Ag5.5Pd2.3 bulk metallic glass // Scr. Mater. 2015. V. 103. P. 14–17.
- Nagel C., Rätzke K, Schmidtke E., Wolff J. Free-volume changes in the bulk metallic glass Zr46.7Ti8.3Cu7.5Ni10B27.5 and the undercooled liquid // Phys. Rev. B. 1998. V. 57. № 17. P. 10224.
- Скулкина Н.А., Иванов О.А., Павлова И.О., Минина О.А. Длительность изотермической выдержки во время термообработки на воздухе и магнитные свойства лент аморфных магнитомягких сплавов на основе железа // ФММ. 2011. Т. 112. № 6. С. 613–619.
- Скулкина Н.А., Иванов О.А., Павлова И.О., Минина О.А. Влияние параметров термообработки на магнитные свойства и распределение намагниченности в лентах аморфных магнитомягких сплавов на основе железа // ФММ. 2013. Т. 114. № 5. С. 411–418.
- Скулкина Н.А., Иванов О.А., Шубина Л.Н., Блинова О.В. Распределение намагниченности в исходном состоянии ленты аморфного магнитомягкого сплава и эффективность термической обработки // ФММ. 2016. Т. 117. № 11. С. 1121–1129. https://doi.org/0.7868/S0015323016110127
- Скулкина Н.А. Распределение намагниченности и магнитные свойства кристаллических, аморфных и нанокристаллических магнитомягких материалов / Дис. …д-ра. физ.-мат. наук. 01.04.11. Уральский государтвенный университет, Екатеринбург, 2008, 340 с.
- Скулкина Н.А., Иванов О.А., Мазеева А.К., Кузнецов П.А., Степанова Е.А., Блинова О.В., Михалицына Е.А., Денисов Н.Д., Чекис В.И. Влияние полимерного покрытия и прессующего давления на магнитные свойства аморфных сплавов на основе кобальта // ФММ. 2017. Т. 118. № 12. С. 1248–1256. https://doi.org/10.7868/S0015323017120026
- Яминский И. В., Тишин А. М. Магнитная силовая микроскопия поверхности // Успехи химии. 1999. Т. 68. № 3. С. 194–205.
- Kools J.C.S. Exchange-Biased Spin-Valves for Magnetic Storage // IEEE Trans. Magn. 1996. V. 4(32). P. 3165–3184.
- Dan Dahlberg E., Miller B., Hill B., Jonsson B. J., Strom V., Rao K.V., Nogues J., Schuller I.K. Measurements of the ferromagnetic/antiferromagnetic interfacial exchange energy in CO/CoO and Fe/FeF2 // J. Appl. Phys. 1998. V. 83. P. 6893.
- Berkowitz A.E., Takano K. Exchange anisotropy // J. Magn. Magn. Mat. 1999. V. 200. P. 552–570.
- Чернышова Т.А. Магнитные и магниторезистивные свойства спиновых клапанов с синтетическим ферримагнетиком и микрообъектов на их основе: Дис. … канд. физ.-мат. наук: 01.04.11: Институт физики металлов им. М.Н. Михеева УрО РАН, Екатеринбург. 2018. 149 с.
- Shaikh A.K., Wexler D., Delamore G.W. Effect of annealing on the magnetic properties and microstructure of amorphous Co75Si10B15 // J. Magnetism and Magnetic Materials. 1996. V. 152. № 3. P. 345–352. https://doi.org/10.1016/0304-8853(95)00480-7
- Flanders P.J., Liebermann H.H., Graham C.D. Changes in curie temperature, physical dimensions, and magnetic anisotropy during annealing of amorphous magnetic alloys // IEEE Trans. Magn. 1977. V. 13. № 5. P. 1541–1543.
- Bulavin L.A., Karbivskyy V., Artemyuk V., Karbivska L. Relaxation and vitrification processes of disordered iron-based systems // Springer Proceed. Phys. 2018. V. 197. P. 331–372.
- Masanori Fujinami Yusuke Ujihira. Transmission and conversion electron Mossbauer studies of the crystallization transformation in the quaternary amorphous Fe80.5B12Si(4.5 + x)C3x (x = 0, 2) ribbons // J. Non-Cryst. Solids. 1985. V. 69. P. 361–369.
Supplementary files









