A systematic description of the thermodynamic, elastic and mechanical properties of binary Zr-based bcc alloys from first principles
- Authors: Smirnova E.A.1, Ponomareva A.V.1, Konov D.A.1, Belov M.P.1
-
Affiliations:
- MISiS National University of Science and Technology
- Issue: Vol 124, No 6 (2023)
- Pages: 500-516
- Section: СТРУКТУРА, ФАЗОВЫЕ ПРЕВРАЩЕНИЯ И ДИФФУЗИЯ
- URL: https://journals.rcsi.science/0015-3230/article/view/139449
- DOI: https://doi.org/10.31857/S0015323023600491
- EDN: https://elibrary.ru/WWEYKL
- ID: 139449
Cite item
Full Text
Abstract
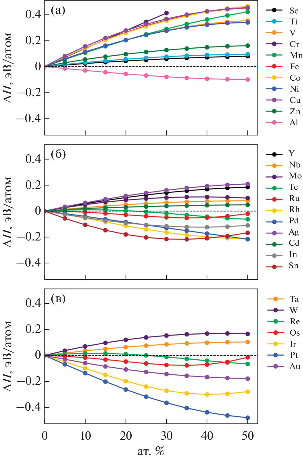
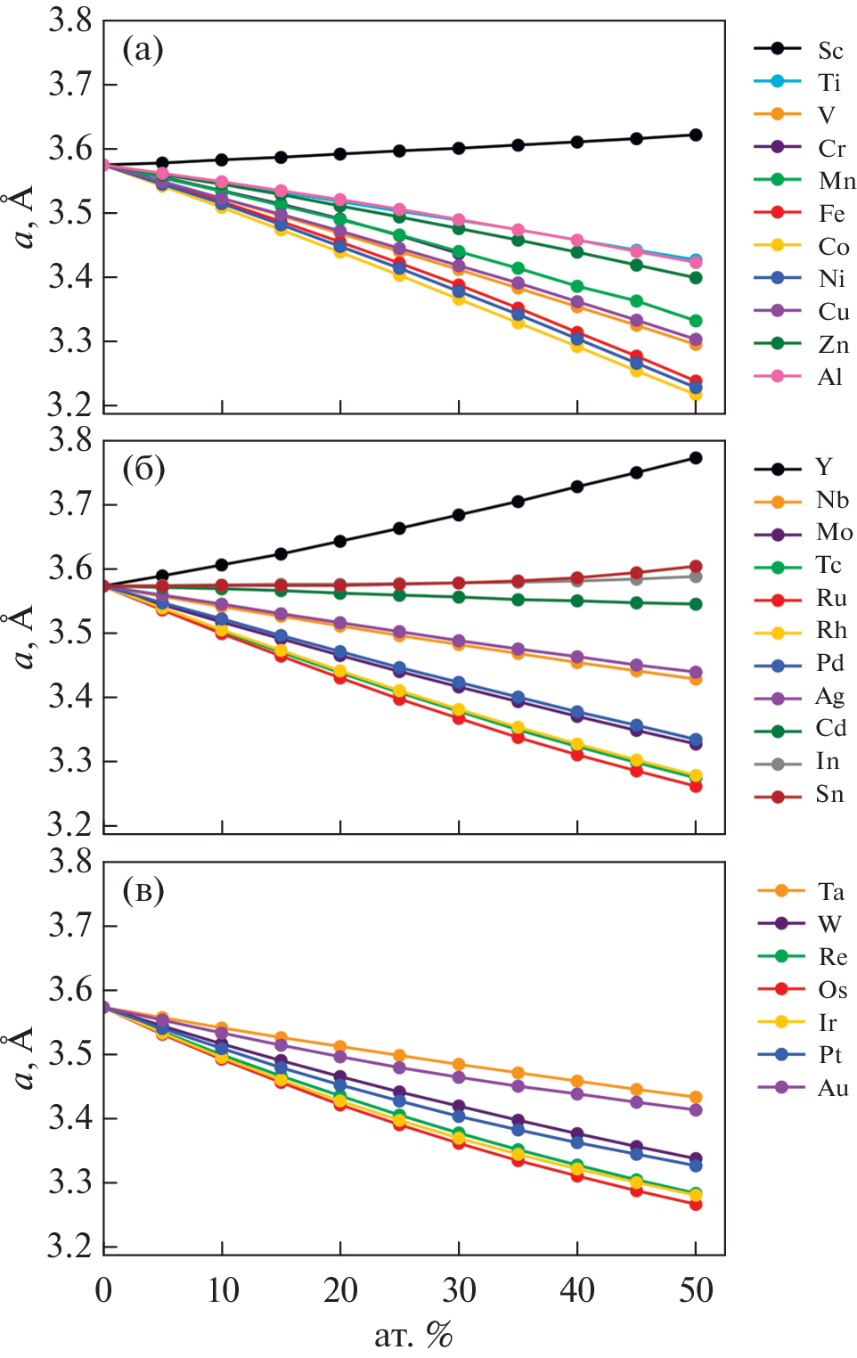
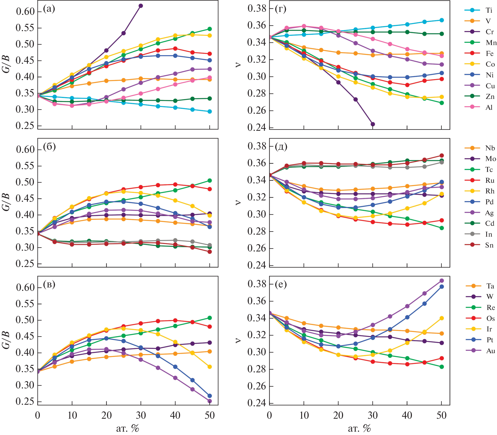
The effects of the dissolution of 3d, 4d, and 5d metals, as well as Al, In, and Sn in the bcc lattice of Zr, were studied within the framework of the electron density functional theory. Using the EMTO-CPA method, we calculated the lattice parameters, enthalpies of mixing, single-crystal elastic constants C11, C12, C44, and C', polycrystalline elastic moduli E, G, and plasticity characteristics of disordered Zr-based bcc alloys over a wide concentration range. The PAW-SQS method was used to study the effects of alloying on the specified properties of bcc Zr-X alloys, where X is a series of 4d elements Nb, Mo, Tc, Ru, Rh and 5d elements Ta, W, Re, Os, Ir for concentration cuts 6.25, 25 and 50 at.%. The analysis of concentration and periodic dependences of properties of alloys, their stability is carried out.
About the authors
E. A. Smirnova
MISiS National University of Science and Technology
Email: m.belov@misis.ru
Moscow, 119049 Russia
A. V. Ponomareva
MISiS National University of Science and Technology
Email: m.belov@misis.ru
Moscow, 119049 Russia
D. A. Konov
MISiS National University of Science and Technology
Email: m.belov@misis.ru
Moscow, 119049 Russia
M. P. Belov
MISiS National University of Science and Technology
Author for correspondence.
Email: m.belov@misis.ru
Moscow, 119049 Russia
References
- Banerjee S., Mukhopadhyay P. Phase Transformations: examples from titanium and zirconium alloys // Pergamon Mater. Series. 2007. 813 p.
- Добромыслов А.В. Влияние D-металлов на температуру полиморфного и (моно) эвтектоидного превращения в бинарных сплавах титана, циркония и гафния // ФММ. 2020. Т. 121. № 5. С. 516–521.
- Белозерова А.Р., Белозеров С.В., Шамардин В.К. К вопросу моделирования эффектов ядерной трансмутации при исследовании физических свойств циркониевых сплавов // ФММ. 2020. Т. 121. № 6. С. 564–575.
- Рожнов А.Б., Рогачев С.О., Ханан Алшеих, Просвирнин Д.В. Циклическая прочность сплава Zr–1% Nb после равноканального углового пресования // ФММ. 2022. Т. 123. № 1. С. 109–116.
- Егорова Л.Ю., Хлебникова Ю.В., Пилюгин В.П., Реснина П.П. Калориметрия и особенности обратного ω → α-фазового превращения в псевдомонокристаллах Zr и Ti // ФММ. 2022. Т. 123. № 5. С. 515–521.
- Рогачев С.О., Андреев В.А., Горшенков М.В., Тен Д.В., Кузнецова А.С., Щербаков А.Б. Улучшение прочностных характеристик сплава Zr–2.5% Nb ротационной ковкой // ФММ. 2022. Т. 123. № 9. С. 1002–1008.
- Скворцов А.И., Скворцов А.А. Влияние температуры старения на параметры амплитудной зависимости внутреннего трения твердость и структуру сплава Zr–8.1% Nb // ФММ. 2022. Т. 123. № 11. С. 1175–1181.
- Фирсова А.Г, Табачкова Н.Ю., Базлов А.И. Влияние высокотемпературной прокатки и отжига на структуру и свойства аморфного сплава на основе циркония // ФММ. 2021. Т. 122. № 8. С. 845–850.
- Suzuki A.K., Campo K.N., Fonseca E.B., Araújo L.C., Gandra F.C.G., Lopes E.S.N. Appraising the potential of Zr-based biomedical alloys to reduce magnetic resonance imaging artifacts // Sci. Reports. 2020. V. 10. P. 2621.
- Niinomi M. Recent titanium R&D for biomedical applications in japan // JOM. 1999. V. 51. P. 32–34.
- Li Y., Wong C., Xiong J., Hodgson P., Wen C. Cytotoxicity of titanium and titanium alloying elements // J. Dent. Res. 2010. V. 89. P. 493–497.
- Suyalatu, Kondo R., Tsutsumi Y., Doi H., Nomura N., Hanawa T. Effects of phase constitution on magnetic susceptibility and mechanical properties of Zr-rich Zr–Mo alloys // Acta Biomater. 2011. V. 7. P. 4259–4266.
- Zhou F.Y., Wang B.L., Qiu K.J., Lin W.J., Li L., Wang Y.B., Nie F.L., Zheng Y.F. Microstructure, corrosion behavior and cytotoxicity of Zr–Nb alloys for biomedical application // Mater. Sci. Eng. C. 2012. V. 32. P. 851–857.
- Zhou F.Y., Wang B.L., Qiu K.J., Lin J., Li L., Li H., Zheng Y. Microstructure, mechanical property, corrosion behavior, and in vitro biocompatibility of Zr-Mo alloys // J. Biomed. Mater. Res. – Part B Appl. Biomater. 2013. V. 101. P. 237–246.
- Guo S., Zhang J., Shang Y., Zhang J., Meng Q., Cheng X., Zhao X. A novel metastable β-type Zr–12Nb–4Sn alloy with low Young’s modulus and low magnetic susceptibility // J. Alloys Compd. 2018. V. 745. P. 234–239.
- Guo S., Zhang J., Shang Y., Zhang J., Meng Q., Cheng X., Zhao X. A metastable β-type Zr–4Mo–4Sn alloy with low cost, low Young’s modulus and low magnetic susceptibility for biomedical applications // J. Alloys Compd. 2018. V. 754. P. 232–237.
- Hinomi M. Metals for biomedical devices // Woodhead Publishing, 2019.
- Kondo R., Nomura N., Suyalatu, Tsutsumi Y., Doi H., Hanawa T. Microstructure and mechanical properties of as cast Zr–Nb alloys // Acta Biomater. 2011. V. 7. P. 4278–4284.
- Kondo R., Nomura N., Suyalatu, Tsutsumi Y., Doi H., Hanawa T. Effects of phase constitution on magnetic susceptibility and mechanical properties of Zr-rich Zr–Mo alloys // Acta Biomater. 2011. V. 7. P. 4259–4266.
- Kobayashi E., Ando M., Tsutsumi Y., Doi H., Yoneyama T., Kobayashi M., Hanawa T. Inhibition effect of zirconium coating on calcium phosphate precipitation on titanium to avoid assimilation with a bone // Mater. Trans. 2007. V. 48. P. 301–306.
- Steinbruck M. High-Temperature oxidation of zirconium alloys in various atmospheres // Encyclopedia of Materials: Metals and Alloys. 2022. P. 453–464.
- Yau T.-L., Annamalai V.E. Corrosion of zirconium and its alloys // Reference module in Materials Science and Material Engineering. 2016. 39 p.
- Krishnan R., Asundi M.K. Zirconium alloys in nuclear technology // Proceedings of the Indian academy of Sciences Section C: Engineering Sciences. 1981. V. 4. P. 41–56.
- Kobayashi E., Matsumoto S., Doi H., Yoneyama T., Hamanaka H. Mechanical properties of the binary titanium-zirconium alloys and their potential for biomedical materials // J. Biomed. Mater. Research. 1995. V. 29. P. 943–950.
- Li Y., Cui Y., Zhang F. Xu H. Shape memory behavior in Ti-Zr alloys // Scr. Mater. 2011. V. 64. P. 584–587.
- Ijaz M.F, Kim H.Y, Hosoda H. Miyazaki S. Superelastic properties of biomedical (Ti–Zr)–Mo–Sn alloys // Mater. Sci. Eng. 2015. V. 48. P. 11–20.
- Hickman B. S. The formation of omega phase in titanium and zirconium alloys: A review // J. Mater. Sci. 1969. V. 4. P. 554–563.
- Zong H., He P., Ding X., Ackland G. J. Nucleation mechanism for hcp → bcc phase transformation in shock-compressed Zr // Phys. Rev. B. 2020. V. 101. P. 144 105.
- Vitos L., Abrikosov I.A., Johansson B. Anisotropic Lattice Distortions in Random Alloys from First‑Principles Theory // Phys. Rev. Lett. 2001. V. 87. P. 156 401.
- Vitos L. Computational Quantum Mechanics for Materials Engineers: The EMTO Method and Applications // Springer‑Verlag, London. 2007. 237 p.
- Blöchl P.E. Projector augmented‑wave method // Phys. Rev. B. 1994. V. 50. № 24. P. 17953–17979.
- Kresse G., Joubert D. From ultrasoft pseudopotentials to the projector augmented‑wave method // Phys. Rev. B. 1999. V. 59. P. 1758–1775.
- Kresse G., Hafner J. Ab initio molecular dynamics for liquid metals // Phys. Rev. B. 1993. V. 47. P. 558–561.
- Kresse G., Furthmüller J. Efficiency of ab‑initio total energy calculations for metals and semiconductors using a plane‑wave basis set // Comput. Mater. Sci. 1996. V. 6. P. 15–50.
- Kresse G., Furthmüller J. Efficient iterative schemes for ab initio total‑energy calculations using a plane‑wave basis set // Phys. Rev. B. 1996. V. 54. P. 11169–11186.
- Kollár J., Vitos L., Skriver H.L. Electronic Structure and Physical Properties of Solids: The Uses of the LMTO Method // Springer‑Verlag, Berlin. 2000. P. 85–113.
- Perdew J.P., Burke K., Ernzerhof M. Generalized Gradient Approximation Made Simple // Phys. Rev. Lett. 1996. V. 77. P. 3865.
- Mouhat F., Coudert F. Necessary and sufficient elastic stability conditions in various crystal systems // PRB. 2014. V. 90. P. 224104.
- Zunger A., Wei S.-H., Ferreira L.G., Bernard J.E. Special quasirandom structures // Phys. Rev. Lett. 1990. V. 65. P. 353.
- Skripnyak N.V., Ponomareva A.V., Belov M.P., and Abrikosov I.A. Ab initio calculations of elastic properties of alloys with mechanical instability: Application to BCC Ti–V alloys // Mater. Des. 2018. V. 140. P. 357–365.
- Smirnova E.A., Ponomareva A.V., Syzdykova A.B., Belov M.P. Ab initio systematic description of thermodynamic and mechanical properties of binary bcc Ti‑based alloys // Mater. Today Comm. 2022. V. 31. P. 103 583.
- Pugh S.F. XCII. Relations between the elastic moduli and the plastic properties of polycrystalline pure metals // Lond. Edinb. Dublin Philos. Mag. J. Sci. 1954. V. 45. P. 823–843.
- Францевич И.Н., Воронов Ф.Ф., Бакута С.А. Упругие постоянные и модули упругости металлов и неметаллов. Киев: Наукова думка, 1982. 286 с.
- Walker E., Peter M. Elastic constants of the bcc phase in niobium-zirconium alloys between 4.2 and 300 K // J. Appl. Phys. 1977. V. 48. P. 2820–2826.
- Vander Voort G.F. (Ed.). ASM Handbook // Metallography and Microstructures. 2004. Chap. 9.
- Wang Y., Curtarolo S., Jiang C., Arroyave R., Wang T., Ceder G., Chen L.Q., Liu Z.K. Ab initio lattice stability in comparison with CALPHAD lattice stability // Calphad. 2004. V. 28. P. 79–90.
- Skripnyak N.V., Ponomareva A.V., Belov M.P., Syutkin E.A., Khvan A.V., Dinsdale A.T., Abrikosov I.A. Mixing enthalpies of alloys with dynamical instability: bcc Ti–V system // Acta Mater. 2020. V. 188. P. 145.
- Skripnyak N.V., Tasnádi F., Simak S.I., Ponomareva A.V., Löfstrand J., Berastegui P., Jansson U., Abrikosov I.A. Achieving low elastic moduli of bcc Ti–V alloys in vicinity of mechanical instability // AIP Advances. 2020. V. 10. P. 105322.
- Kolli R., Devaraj A. A review of metastable beta titanium alloys // Metals. 2018. V. 8. P. 506.
- Körling M., Häglund J. Cohesive and electronic properties of transition metals: The generalized gradient approximation // Phys. Rev. B. 1992. V. 45. P. 13 293–13 297.
- Еременко В.Р., Семенова Е.Л., Штепа Т.Д. Фазовая диаграмма системы Zr–Ir // Известия академии наук СССР: Металлы. 1980. № 5. С. 237–241.
- Benites G.M., Fernandez Guillermet A., Cuello G.J., Campo Javier. Structural properties of metastable phases in Zr–Nb alloys // J. Alloys Compd. 2000. V. 299. P. 183–188.
- Pearson W.B. A Handbook of Lattice Spacings and Structures of Metals and Alloys. Pergamon-Oxford, 1958. 1054 p.
- Rapp Ö. Superconductivity and lattice parameters in the zirconium‑molybdenum, zirconium‑tungsten, hafnium‑molybdenum and hafnium‑tungsten alloy systems // J. Less‑Common Met. 1970. V. 21. P. 27–44.
- Murray J.L. The Ti−Zr (Titanium–Zirconium) system // Bulletin of Alloy Phase Diagrams. 1981. V. 2. P. 197–201.
- Bao X., Li X., Ding J., Liu X., Meng M., Zhang T. Exploring the limits of mechanical properties of Ti‑Zr binary alloys // Mater. Lett. 2022. V. 318. P. 132091.
- Zhang N.‑N., Zhang Y.-J., Yang Y., Zhang P., Ge C.-C. First‑principles study of structural, mechanical, and electronic properties of W alloying with Zr // Chin. Physics B. 2019. V. 28. P. 046301.
- Diyou J., Li X., Xuemei H., Tao W., Jianfeng H. Effect of Zr additions on crystal structures and mechanical properties of binary W–Zr alloys: A first‑principles study // J. Mater. Res. 2019. V. 34. P. 290–300.
- Ikehata H., Nagasako N., Furuta T., Fukumoto A., Miwa K., Saito T. First‑principles calculations for development of low elastic modulus Ti alloys // Phys. Rev. B. 2004. V. 70. P. 174113.
- Al‑Zoubi N., Schonecker S., Ii X., Li W., Johansson B.S., Vitos L. Elastic properties of 4d transition metal alloys: Values and trends // Comput. Mater. Sci. 2019. V. 159. P. 273–280.
Supplementary files













