A System of Josephson Vortices in a Layered Electron-Doped Nd2 – xCexCuO4 Superconductor
- Authors: Charikova T.B.1, Shelushinina N.G.1, Klepikova A.S.1, Popov M.R.1
-
Affiliations:
- Mikheev Institute of Metal Physics, Ural Branch, Russian Academy of Sciences
- Issue: Vol 124, No 7 (2023)
- Pages: 594-607
- Section: ЭЛЕКТРИЧЕСКИЕ И МАГНИТНЫЕ СВОЙСТВА
- URL: https://journals.rcsi.science/0015-3230/article/view/139432
- DOI: https://doi.org/10.31857/S0015323023600557
- EDN: https://elibrary.ru/EDAJSA
- ID: 139432
Cite item
Full Text
Abstract
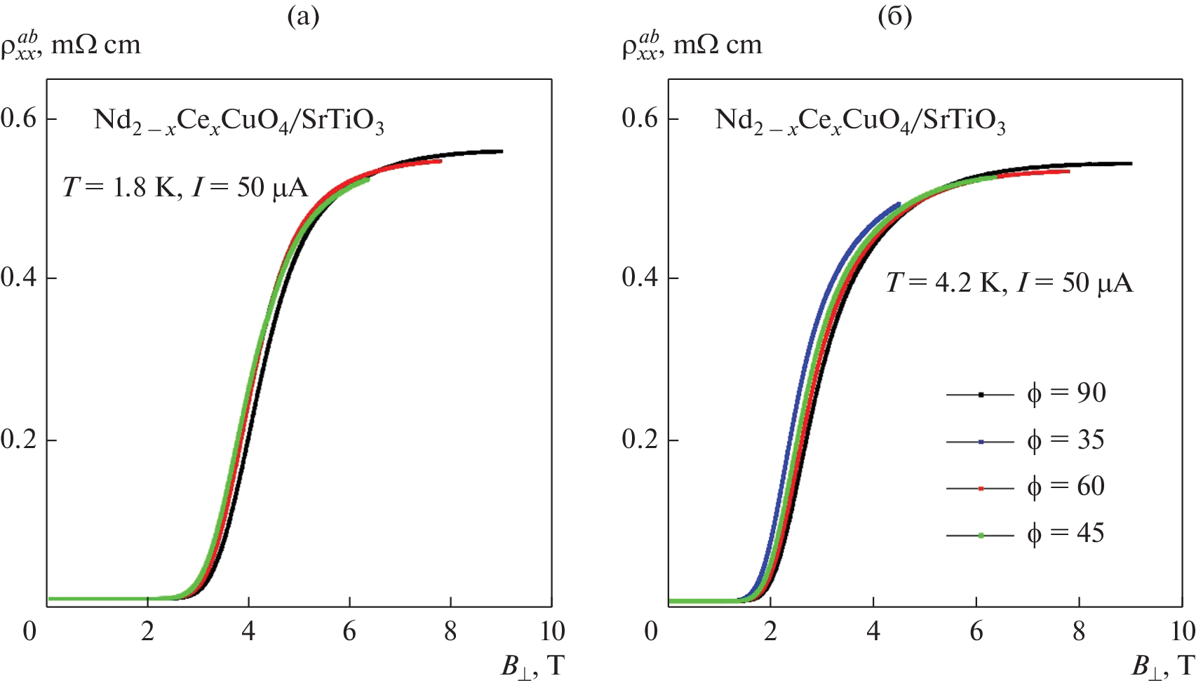
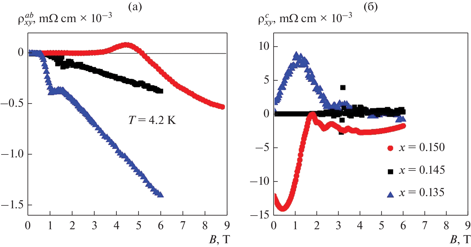
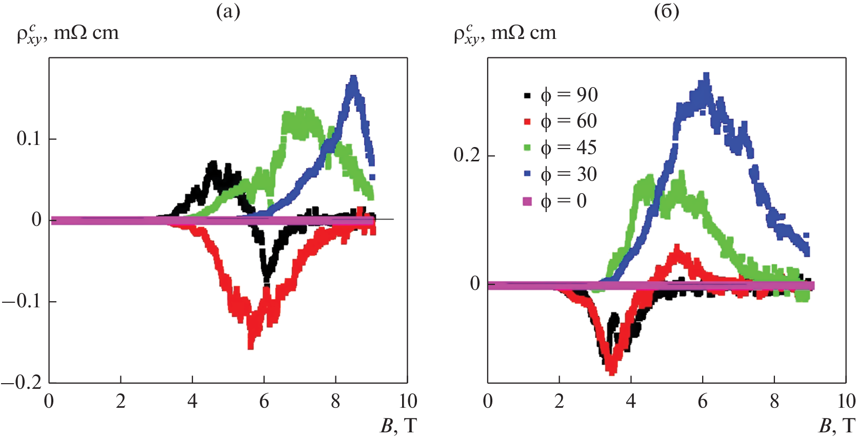
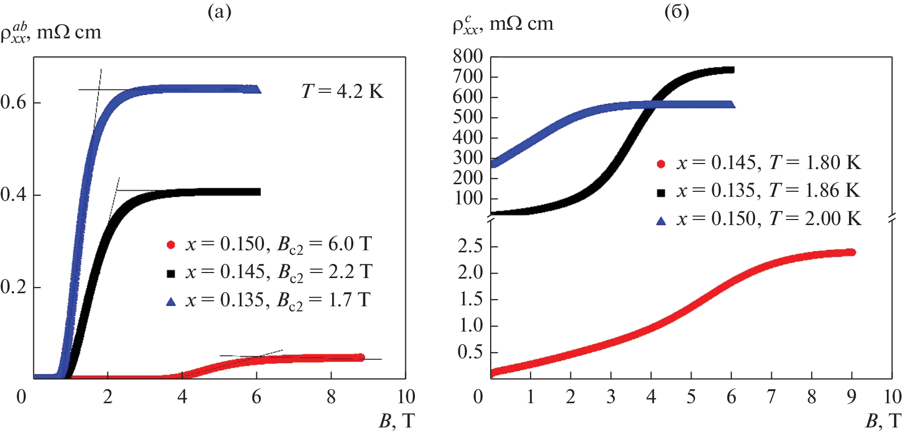
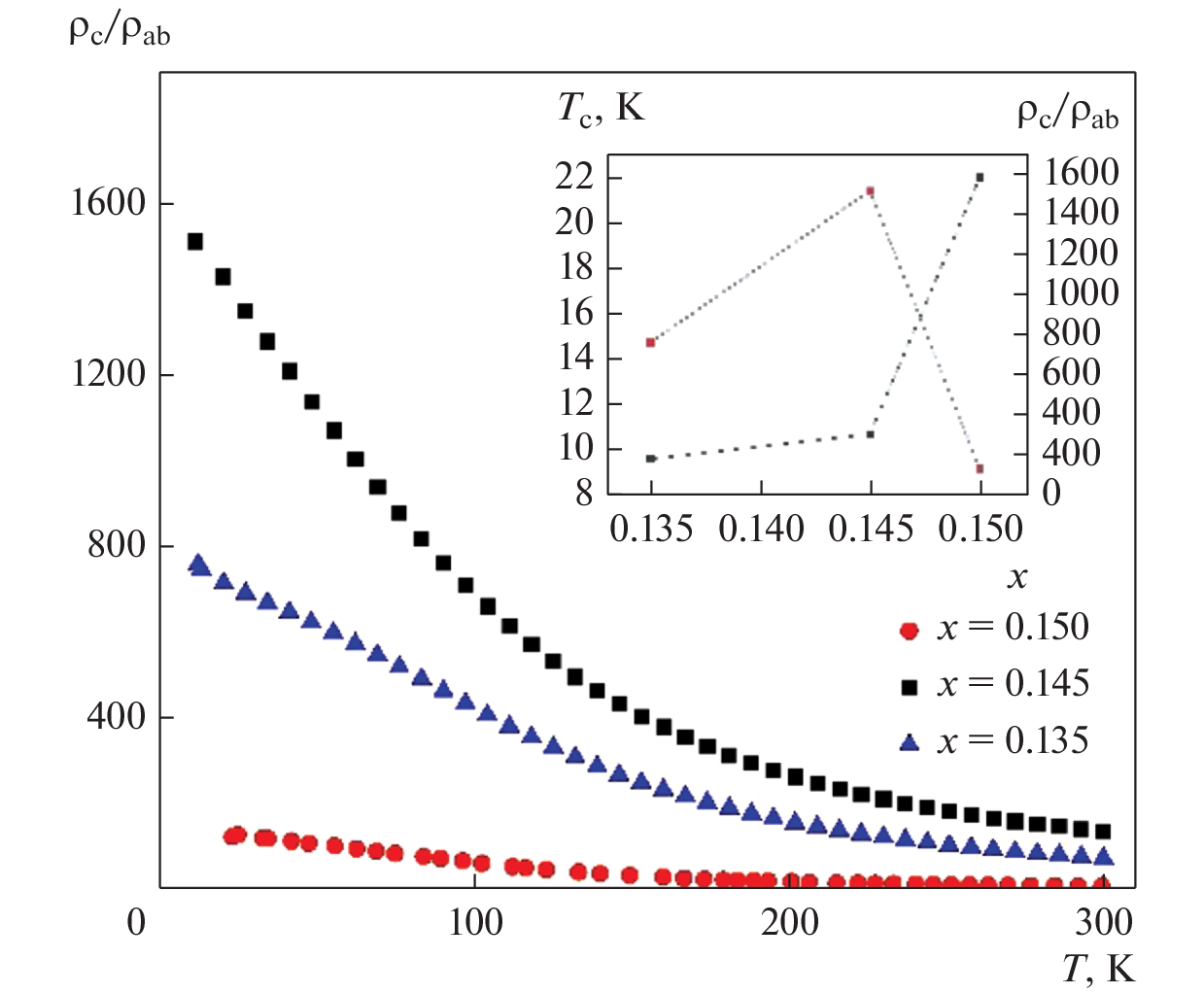
A brief review of the transport and galvanomagnetic properties of an electron-doped Nd2 – xCexCuO4 layered superconductor with an emphasis on the role of the structure of Josephson vortices formed in the crystalin a magnetic field oriented in the parallel direction to the CuO2 planes is given. The experimental data on the longitudinal and Hall magnetoresistance of the recently synthesized Nd2–xCexCuO4/SrTiO3 epitaxial films are analyzed. The possibility of formation of a system of Josephson vortices in this highly anisotropic system is determined by the unique orientation of the c axis and the conducting CuO2 planes of the Nd2 – xCexCuO4 compound with respect to the substrate plane.
About the authors
T. B. Charikova
Mikheev Institute of Metal Physics, Ural Branch, Russian Academy of Sciences
Email: popov_mr@imp.uran.ru
Ekaterinburg, 620108 Russia
N. G. Shelushinina
Mikheev Institute of Metal Physics, Ural Branch, Russian Academy of Sciences
Email: popov_mr@imp.uran.ru
Ekaterinburg, 620108 Russia
A. S. Klepikova
Mikheev Institute of Metal Physics, Ural Branch, Russian Academy of Sciences
Email: popov_mr@imp.uran.ru
Ekaterinburg, 620108 Russia
M. R. Popov
Mikheev Institute of Metal Physics, Ural Branch, Russian Academy of Sciences
Author for correspondence.
Email: popov_mr@imp.uran.ru
Ekaterinburg, 620108 Russia
References
- Plakida N.M. High-Temperature Superconductivity: Experiment and Theory. Berlin; New York: Springer, 2012. 230 p.
- Kopnin N.B. Theory of Nonequilibrium Superconductivity. Clarendon Press. 2001. 342 p.
- Tinkham M. Introduction to superconductivity. Dover publications, Mineola, New York. 2004.
- Poole C., Farach H., Creswic R., Prozorov R. Superconductivity. Elsevier. 2014.
- Lawrence W.E., Doniach S. Theory of layer-structure superconductors // Proc. Twelfth Int. Conf. Low Temp. Physics, okyo Keigaku Publ. Co., Ltd. 1971. 361.
- Bulaevskii L.N. Magnetic properties of layered superconductors with weak interaction between the layers // Zh. Eksp. Teor. Fiz. 1973. V. 64. P. 2241–2247.
- Bulaevskii L.N., Domínguez D., Maley M.P., Bishop A.R., Ivlev B.I. Collective mode and the c -axis critical current of a Josephson-coupled superconductor at high parallel magnetic fields // Phys. Rev. B. 1996. V. 53. P. 14601–14610. https://doi.org/10.1103/Phys.RevB.53.14601
- Blatter G., Feigel’man M.V., Geshkenbein V.B., Larkin A.I., Vinokur V.M. Vortices in high-temperature superconductors // Rev. Mod. Phys. 1994. V. 66. P. 1125–1388. https://doi.org/10.1103/RevModPhys.66.1125
- Tokura Y., Takagi H., Uchida S. A superconducting copper oxide compound with electrons as the charge carriers // Nature. 1989. V. 337. P. 345–347. https://doi.org/10.1038/337345a0
- Charikova T., Ignatenkov A., Ponomarev A., Ivanov A., Klimczuk T., Sadowski W. In-plane and out-of-plane temperature dependencies of the resistivity in single crystals and films of Nd2CuO4 // Phys. C Supercond. 2003. V. 323–324. P. 388–389. https://doi.org/10.1016/S0921-4534(02)02474-7
- Ignatenkov A.N., Ponomarev A.I., Sabirzyanova L.D., Charikova T.B., Kharus G.I., Shelushinina N.G., Ivanov A.A., Churkin O.A. Effect of disorder on the transport properties of the high-T c superconductor Nd2 − xCexCuO4 + δ // J. Exp. Theor. Phys. 2001. V. 92. P. 1084–1089. https://doi.org/10.1134/1.1385650
- Armitage N.P., Ronning F., Lu D.H., Kim C., Damascelli A., Shen K.M., Feng D.L., Eisaki H., Shen Z.-X., Mang P.K., Kaneko N., Greven M., Onose Y., Taguchi Y., Tokura Y. Doping Dependence of an n-Type Cuprate Superconductor Investigated by Angle-Resolved Photoemission Spectroscopy // Phys. Rev. Lett. 2002. V. 88. P. 257001. https://doi.org/10.1103/PhysRevLett.88.257001
- Armitage N.P., Fournier P., Greene R.L. Progress and perspectives on electron-doped cuprates // Rev. Mod. Phys. 2010. V. 82. P. 2421–2487. https://doi.org/10.1103/RevModPhys.82.2421
- Matsui H., Terashima K., Sato T., Takahashi T., Wang S.-C., Yang H.-B., Ding H., Uefuji T., Yamada K. Angle-Resolved Photoemission Spectroscopy of the Antiferromagnetic Superconductor Nd1.87Ce0.13CuO4: Anisotropic Spin-Correlation Gap, Pseudogap and the Induced Quasiparticle Mass Enhancement // Phys. Rev. Lett. 2005. V. 94. P. 047005. https://doi.org/10.1103/PhysRevLett.94.047005
- Matsui H., Terashima K., Sato T., Takahashi T., Fujita M., Yamada K. Direct Observation of a Nonmonotonic dx2‒y2-Wave Superconducting Gap in the Electron-Doped High-Tc Superconductor Pr0.89LaCe0.11CuO4 // Phys. Rev. Lett. 2005. V. 95. P. 017003. https://doi.org/10.1103/ PhysRevLett.95.017003
- Lin J., Millis A.J. Theory of low-temperature Hall effect in electron-doped cuprates // Phys. Rev. B. 2005. V. 72. P. 214506. https://doi.org/10.1103/PhysRevB.72.214506
- Charikova T.B., Kharus G.I., Shelushinina N.G., Neverov V.N., Petukhov D.S., Ivanov A.A. Magnetoresistance and Hall effect in electron-doped superconductor Nd2 − xCexCuO4 + δ with different degrees of nonstoichiometric disorder: A two-band model // Phys. Met. Metallogr. 2014. V. 115. P. 446–456. https://doi.org/10.1134/S0031918X14050032
- Ivanov A.A., Galkin S.G., Kuznetsov A.V., Menushenkov A.P. Smooth homogeneous HTSC thin films produced by laser deposition with flux separation // Phys. C Supercond. 1991. V. 180. P. 69–72. https://doi.org/10.1016/0921-4534(91)90638-F
- Popov M.R., Klepikova A.S., Shelushinina N.G., Ivanov A.A., Charikova T.B. Interlayer Hall Effect in n-type doped high temperature superconductor Nd2 − xCexCuO4 + δ //Phys. C Supercond. its Appl. 2019. V. 566. P. 1 353 515. https://doi.org/10.1016/j.physc.2019.1353515
- Charikova T.B., Ponomarev A.I., Kharus G.I., Shelushinina N.G., Tashlykov A.O., Tkach A.V., Ivanov A.A. Quasi-two-dimensional transport properties of the layered superconductor Nd2−xCexCuO4 + δ // J. Exp. Theor. Phys. 2007. V. 105. P. 626–635. https://doi.org/10.1134/S1063776107090208
- Petukhova O.E., Popov M.R., Klepikova A.S., Shelushinina N.G., Ivanov A.A., Charikova T.B. Lateral vortex motion in highly layered electron-doped superconductor Nd2−xCexCuO4 //Phys. C Supercond. its Appl. 2020. V. 578. P. 1353738. https://doi.org/10.1016/j.physc.2020.1353738
- Cassam-Chenai A., Mailly D. Transport in quasi-two-dimensional systems under a weak magnetic field // Phys. Rev. B. 1995. V. 52. P. 1984–1995. https://doi.org/10.1103/PhysRevB.52.1984
- McKenzie R.H., Moses P. Incoherent Interlayer Transport and Angular-Dependent Magnetoresistance Oscillations in Layered Metals // Phys. Rev. Lett. 1998. V. 81. P. 4492–4495. https://doi.org/10.1103/PhysRevLett.81.4492
- Abrikosov A.A. My years with Landau // Phys. Today. 1973. V. 26. P. 56–60. https://doi.org/10.1063/1.3127896
- Bardeen J., Stephen M.J. Theory of the Motion of Vortices in Superconductors // Phys. Rev. 1965. V. 140. P. A1197–A1207. https://doi.org/10.1103/PhysRev.140.A1197
- Kwok W.K., Welp U., Vinokur V.M., Fleshler S., Downey J., Crabtree G.W. Direct observation of intrinsic pinning by layered structure in single-crystal YBa2Cu3O7−δ // Phys. Rev. Lett. 1991. V. 67. P. 390–393. https://doi.org/10.1103/PhysRevLett.67.390
- Kleiner R., Steinmeyer F., Kunkel G., Müller P. Intrinsic Josephson effects in Bi2Sr2CaCu2O8 single crystals // Phys. Rev. Lett. 1992. V. 68. P. 2394–2397. https://doi.org/10.1103/ PhysRevLett.68.2394
- Rapp M., Murk A., Semerad R., Prusseit W. C-Axis Conductivity and Intrinsic Josephson Effects in YBa2Cu3O7−δ // Phys. Rev. Lett. 1996. V. 77. P. 928–931. https://doi.org/10.1103/PhysRevLett.77.928
- Josephson B.D. Possible new effects in superconductive tunnelling // Phys. Lett. 1962. V. 1. P. 251–253. https://doi.org/10.1016/0031-9163(62)91369-0
- Clem J.R., Coffey M.W. Viscous flux motion in a Josephson-coupled layer model of high-Tc superconductors // Phys. Rev. B. 1990. V. 42. P. 6209. https://doi.org/10.1103/PhysRevB.42.6209
- Koshelev A.E. Role of in-plane dissipation in dynamics of a Josephson vortex lattice in high-temperature superconductors // Phys. Rev. B. 2000. V. 62. P. R3616–R3619. https://doi.org/10.1103/PhysRevB.62.R3616
- Petukhova O.E., Klepikova A.S., Popov M.R., Shelushinina N.G., Ivanov A.A., Charikova T.B. Vortex motion in tilted magnetic fields in highly layered electron-doped superconductor Nd2–xCexCuO4 // Phys. C Supercond. 2021. V. 591. P. 135396–1353974. https://doi.org/10.1016/ j.physc.2021.1353968
- Kes P.H., Aarts J., Vinokur V.M., van der Beek C.J. Dissipation in highly anisotropic superconductors // Phys. Rev. Lett. 1990. V. 64. P. 1063–1066. https://doi.org/10.1103/PhysRevLett.64.1063
- Bulaevskii L., Clem J.R. Vortex lattice of highly anisotropic layered superconductors in strong, parallel magnetic fields // Phys. Rev. B. 1991. V. 44. P. 10 234–10 238. https://doi.org/10.1103/ PhysRevB.44.10234
- Koshelev A.E., Dodgson M.J.W. Josephson vortex lattice in layered superconductors // J. Exp. Theor. Phys. 2013. V. 117. P. 449–479. https://doi.org/10.1134/S1063776113110125
- Klemm R.A., Luther A., Beasley M.R. Theory of the upper critical field in layered superconductors // Phys. Rev B. 1975. V. 12. P. 877–891. https://doi.org/10.1103/PhysRevB.12.877
- Klepikova A.S., Charikova T.B., Shelushinina N.G., Petukhov D.S., Ivanov A.A. Anisotropy of the Hall Effect in a Quasi-Two-Dimensional Electron-Doped Nd2–xCexCuO4 + δ Superconductor // Phys. Solid State. 2018. V. 60. P. 2162–2165. https://doi.org/10.1134/S1063783418110124
- Khomskii D.I., Freimuth A. Charged Vortices in High Temperature Superconductors // Phys. Rev. Lett. 1995. V. 75. P. 1384–1386. https://doi.org/10.1103/PhysRevLett.75.1384
- Feigel’man M.V., Geshkenbein V.B., Larkin A.I., Vinokur M.V. Sign Change of the Flux Flow Hall Effect in HTSC // JETP Lett. 1995. V. 62. P. 834–840.
- Van Otterlo A., Feigel’man M., Geshkenbein V., Blatter G. Vortex Dynamics and the Hall Anomaly: A Microscopic Analysis // Phys. Rev. Lett. 1995. V. 75. P. 3736–3739. https://doi.org/10.1103/PhysRevLett.75.3736
- Aronov A.G., Hikami S., Larkin A.I. Gauge invariance and transport properties in superconductors above Tc // Phys. Rev. B. 1995. V. 51 P. 3880–3885. https://doi.org/10.1103/PhysRevB.51.3880
- Nozières P., Vinen W.F. The motion of flux lines in type II superconductors // Philos. Mag. A J. Theor. Exp. Appl. Phys. 1966. V. 14. P. 667–688. https://doi.org/10.1080/14786436608211964
- Charikova T.B., Shelushinina N.G., Harus G.I., Petukhov D.S., Neverov V.N., Ivanov A.A. Upper critical field in electron-doped cuprate superconductor Nd2−xCexCuO4 + δ: Two-gap model // Phys. C Supercond. 2013. V. 488. P. 25–29. https://doi.org/10.1016/j.physc.2013.02.010
Supplementary files










