The Effect of the Interface Width on the Exchange Interaction Constant between Ferro- and Antiferromagnets
- Authors: Afremov L.L.1, Brykin L.O.2, Il’yushin I.G.1
-
Affiliations:
- Department of Theoretical Physics and Intelligent Technologies, Institute of High Technologies and Advanced Materials, Far Eastern Federal University
- Laboratory for Simulation of Physical Processes, Institute of High Technologies and Advanced Materials, Far Eastern Federal University
- Issue: Vol 124, No 2 (2023)
- Pages: 169-174
- Section: ЭЛЕКТРИЧЕСКИЕ И МАГНИТНЫЕ СВОЙСТВА
- URL: https://journals.rcsi.science/0015-3230/article/view/139406
- DOI: https://doi.org/10.31857/S0015323022601520
- EDN: https://elibrary.ru/KYSCMJ
- ID: 139406
Cite item
Full Text
Abstract
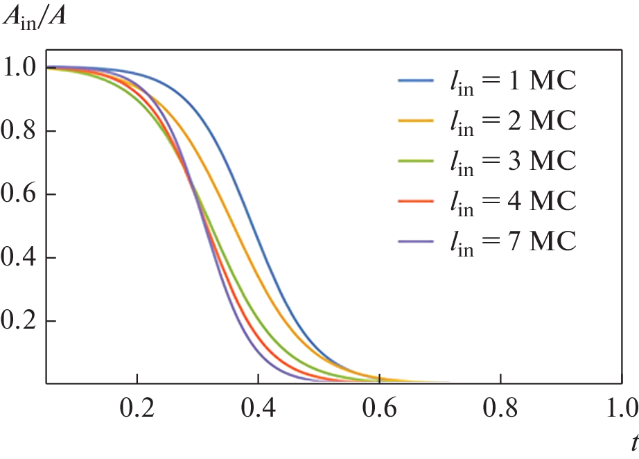
In the approximation of the average spin method, a system of equations for determining the average magnetic moments of atoms at the interface between a ferromagnet and an antiferromagnet is formulated. It is possible to simulate the dependences of interfacial exchange interaction constant Ain on the temperature, antiferromagnetic layer thickness, and interface width by solving the system of equations for an ultrathin Ni/NiO film. It is found that the interfacial exchange interaction constant in a film with a fixed interface width at low temperatures increases with an increase in the thickness of the antiferromagnetic layer. With an
increase in the interface width, the Ain value decreases by a factor of 1.3 and reaches its minimum level.
About the authors
L. L. Afremov
Department of Theoretical Physics and Intelligent Technologies, Institute of High Technologies and Advanced Materials, Far Eastern Federal University
Email: afremov.ll@dvfu.ru
Vladivostok, Primorskii Krai, 690922 Russia
L. O. Brykin
Laboratory for Simulation of Physical Processes, Institute of High Technologies and Advanced Materials,Far Eastern Federal University
Email: afremov.ll@dvfu.ru
Vladivostok, Primorskii Krai, 690922 Russia
I. G. Il’yushin
Department of Theoretical Physics and Intelligent Technologies, Institute of High Technologies and Advanced Materials, Far Eastern Federal University
Author for correspondence.
Email: afremov.ll@dvfu.ru
Vladivostok, Primorskii Krai, 690922 Russia
References
- Meiklejohn W.P., Bean C.P. New magnetic anisotropy// Phys. Rev. 1956. V. 102. P. 1413.
- Noguésa J., Sorta J., Langlaisb V., Skumryeva V., Suriñachb S., Muñozb J.S., Barób M.D. Exchange bias in nanostructures// Physics Reports 2005. V. 422. P. 65–117.
- Evans R.F.L., Chantrell R.W., Chubykalo–Fesenko O. Surface and interface effects in magnetic core–shell nanoparticles // Mater. Research Society. 2013. V. 38. P. 909–914.
- Rinaldi-Montes N., Gorria P., Martínez-Blanco D., Fuertes A. B., Fernández Barquín L., Puente-Orench I. Blanco J.A. Scrutinizing the role of size reduction on the exchange bias and dynamic magneticbehavior in NiO nanoparticles// Nanotechnology 2015. V. 26. P. 305 705.
- Rinaldi-Montes N., Gorria P., Martínez-Blanco D., Fuertes A.B., Fernández Barquín L., Puente-Orench I., Blanco J.A. Bridging exchange bias effect in NiO and Ni(core)@NiO(shell) nanoparticles // JMMM. 2016. V. 400. P. 236–241.
- De Toro J.A., Marques D.P., Muñiz P., Skumryev V., Sort J., Givord D., Nogués J. High Temperature Magnetic Stabilization of Cobalt Nanoparticles by an Antiferromagnetic Proximity Effect // Phys. Rev. Lett. 2015, V. 115. P. 057201.
- Peng D.L., Sumiyama K., Hihara T., Yamamuro S., Konno T.J. Magnetic properties of monodispersed Co/CoO clusters // Phys. Rev. B. 2000. V. 61. P. 4.
- Xing Q., Han Z., Zhao S. Exchange bias of nanostructured films assembled with Co/CoO core–shell clusters// Mater. Lett. 2017. V. 188. P. 103–106.
- Anisimov S., Afremov L., Petrov A. Modeling the effect of temperature and size of core/shell nanoparticles on the exchange bias of a hysteresis loop // JMMM. 2020. V. 500. P. 166 366.
- Anisimov S.V., Afremov L.L., Petrov A.A. Temperature dependence of the interphase interaction energy of core/shell nanoparticles // J. Phys.: Conference Series. 2019. V. 13890. P. 12027.
- Yang J.S. Chang C.R. The influence of interfacial exchange on the coercivity of acicular coated particle// J. Appl. Phys. 1991. V. 69(11). P. 7756.
- Weissmuller J., Michels A., Barker J.G., Erb U., Shull R.D. Analysis of the small-angle neutron scattering of nanocrystalline ferromagnets using a micromagnetics model // Phys. Rev. B. 2001. V. 63. P. 214414.
- Kodama R.H., Makhlouf S.A., Berkowitz A.E. Finite size effects in antiferromagnetic NiO nanoparticles // Phys. Rev. Lett. 1997. V. 79. P. 1393.
- Ziman J.M., Models of Disorder: The Theoretical Physics of Homogeneously Disordered Systems. Cambridge University Press, N.Y. 1979. 525 p.
- Кулеш Н.А., Москалев М.Е., Васьковский В.О., Степанова Е.А., Лепаловский В.Н. Микромагнитный анализ температурных зависимостей гистерезисных свойств поликристаллических пленок с обменным смещением // ФММ. 2021. V. 122(9). С. 917–923.
- Spadaro M.C., D’Addato S., Luches P., Valeri S., Grillo V., Rotunno E., Roldan M., Pennycook S., Ferretti A.M., Capetti E., Ponti A. Tunability of exchange bias in Ni@NiO core–shell nanoparticles obtained by sequential layer deposition // Nanotechnology. 2015. V. 26(40). P. 405 704.
- Morales R., Basaran A.C., Villegas J.E., Navas D., Soriano N., Mora B., Redondo C., Batlle X., Schuller I.K. Exchange-bias phenomenon: the role of the ferromagnetic spin structure // Phys. Rev. Lett. 2015. V. 114(9). P. 097 202.
- Снигирев О.В., Тишин А.М., Гудошников С.А., Андреев К.Е., Бор Якоб. Магнитные свойства ультратонких пленок Ni // ФТТ. 1998. Т. 40(9). С. 1681–1685.
- Лядов Н.М., Базаров В.В., Вахитов И.Р., Гумаров А.И., Ибрагимов Ш.З., Кузина Д.М., Файзрахманов И.А., Хайбуллин Р.И., Шустов В.А. Особенности структуры нанокристаллических пленок никеля, сформированных методом ионного распыления // ФТТ. 2021. Т. 63. № 10. С. 1687–1693.
- Kuo T.Y., Chen S.C., Peng W.C., Lin Y.C., Lin H.C. Influences of process parameters on texture and microstructure of NiO films // Thin Solid Films. 2011. V. 519(15). P. 4940–4943.
Supplementary files




