The Interrelation between Iron Valence and Oxygen Vacancies in Substituted Orthoferrite La0.67Sr0.33FeO3– during Heat Treatment
- Authors: Sedykh V.D.1, Rusakov V.S.2, Gubaidulina T.V.2, Rybchenko O.G.1, Kulakov V.I.1
-
Affiliations:
- Osipyan Institute of Solid State Physics, Russian Academy of Sciences
- Moscow State University
- Issue: Vol 124, No 2 (2023)
- Pages: 161-168
- Section: ЭЛЕКТРИЧЕСКИЕ И МАГНИТНЫЕ СВОЙСТВА
- URL: https://journals.rcsi.science/0015-3230/article/view/139404
- DOI: https://doi.org/10.31857/S0015323022601465
- EDN: https://elibrary.ru/KWDAKO
- ID: 139404
Cite item
Full Text
Abstract
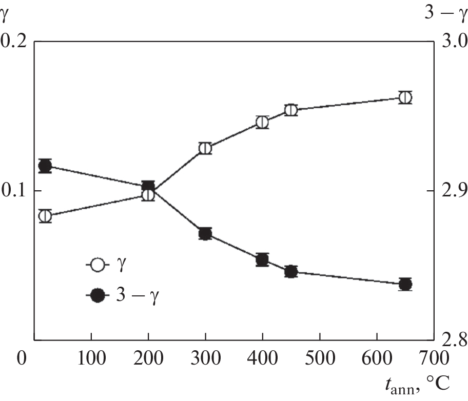
In this paper, we studied substituted lanthanum orthoferrite La0.67Sr0.33FeO3– γ by Mössbauer spectroscopy using X-ray diffraction data. A series of vacuum annealings was performed in the temperature range of tann = 200–650°C, after which no significant changes in the structure of the samples were detected. The Mössbauer measurements at room temperature show that the Fe ions are in an average valence state
between Fe3+ and Fe4+. Upon vacuum annealing, as the temperature tann increased, the average hyperfine magnetic field on the 57Fe nuclei and the isomer shift of the spectrum increased, which is associated with an increase in the number of vacancies and, accordingly, a decrease in the amount of Fe4+. Mössbauer measure-ments at 85 K showed that the average valence state of iron does not manifest itself. The hyperfine parameters of the low-temperature Mössbauer subspectra obtained from the model interpretation indicate that one of them belongs to Fe4+ ions, and the rest belong to Fe3+. The presence in the spectra of several sextets related to Fe3+ ions is due to the appearance of oxygen vacancies (breaking of the Fe3+–O2––Fe exchange bond) and Fe4+ ions (weakening of the Fe3+–O2––Fe exchange bond) in the nearest ionic neighborhood of Fe atoms. Both factors cause a decrease in the hyperfine magnetic field and a change in the isomer shift of the spectrum. As a result of model interpretation of the Mössbauer spectra, the numbers of oxygen vacancies and Fe4+ ions per formula unit depending on vacuum annealing temperature tann were determined for all samples. It was
shown that at tann above 450°C, the process of oxygen leaving the lattice ends and only Fe3+ ions are detected.
About the authors
V. D. Sedykh
Osipyan Institute of Solid State Physics, Russian Academy of Sciences
Email: sedykh@issp.ac.ru
Chernogolovka, 142432 Russia
V. S. Rusakov
Moscow State University
Email: sedykh@issp.ac.ru
Moscow, 119991 Russia
T. V. Gubaidulina
Moscow State University
Email: sedykh@issp.ac.ru
Moscow, 119991 Russia
O. G. Rybchenko
Osipyan Institute of Solid State Physics, Russian Academy of Sciences
Email: sedykh@issp.ac.ru
Chernogolovka, 142432 Russia
V. I. Kulakov
Osipyan Institute of Solid State Physics, Russian Academy of Sciences
Author for correspondence.
Email: sedykh@issp.ac.ru
Chernogolovka, 142432 Russia
References
- Salamon M.B., Jaime M. The physics of manganites: Structure and transport // Rev. Mod. Phys. 2001. V. 73. P. 583–628. https://doi.org/10.1103/REVMODPHYS.73.583
- Tokura Y. Contribution to Colossal Magnetoresistance Oxides / Edit. by Y. Tokura (Gordon & Breach, London, 1999).
- Tugova E.A., Popova V.F., Zvereva I.A., Gusarov V.V., Phase diagram of the LaFeO3–LaSrFeO4 system // Glass. Phys. Chem. 2006. V. 32. P. 674–676.
- Petrovic S., Terlecki A., Karanovic L., Kirilov–Stefanov P., Zduji M., Dondur V., Paneva D., Mitov I., Rakic V. LaMO3 (M = Mg, Ti, Fe) perovskite type oxides: Preparation, characterization and catalytic properties in methane deep oxidation // Appl. Catal. B Environ. 2008. V. 79. P. 186–198.
- Tijare S.N., Joshi M.V., Padole P.S., Mangrulkar P.A., Rayalu S., Labhsetwar N.K. Photocatalytic hydrogen generation through water splitting on nano-crystalline LaFeO3 perovskite // Int. J. Hydrogen Energ. 2012. V. 37. P. 10451–10456.
- Wei Z., Xu Y., Liu H., Hu C. Preparation and catalytic activities of LaFeO3 and Fe2O3 for HMX thermal decomposition // J. Hazard. Mater. 2009. V. 165. P. 1056–1061.
- Faye J., Bayleta A., Trentesauxb M., Royera S., Dumeignil F., Duprez D., Valange S., Influence of lanthanum stoichiometry in La1 – xFeO3 – δ perovskites on their structure and catalytic performance inCH4 total oxidation // Appl. Catal. B Environ. 2012. V. 126. P. 134–143.
- Yang J.B., Yelon W.B., James W.J., Chu Z., Kornecki M., Xie Y.X., Zhou X.D., Anderson H.U., Joshi A.G., Malik S.K. Crystal structure, magnetic properties, and Mössbauer studies of La0.6Sr0.4FeO3 – d prepared by quenching in different atmospheres // Phys. Rev. B. 2002. V. 66. P. 184 415. https://doi.org/10.1103/PhysRevB.66.184415
- Goodenough J.B. In Progress in Solid State Chemistry, edited by H. Reiss (Pergamon, London, 1971). V. 5. P. 145.
- Goodenough J.B. In Magnetism and Chemical Bond, edited by F. Albert Cotton (Interscience, London, 1963) 1: P. 15 414.
- da Silva R.B., Soares J.M., da Costa J.A.P., de Araújo J.H., Rodrigues A.R., Machado F.L.A. Local iron ion distribution and magnetic properties of the perovskites La1 – xSrxFeO3 – γ // J. Magn. Magn. Mater. 2018. V. 466. P. 306–310. https://doi.org/10.1016/J.JMMM.2018.07.040
- Shimony U., Knudsen J.M. Mössbauer Studies on Iron in the Perovskites <spin class // Phys. Rev. 1966. V. 144. P. 361. https://doi.org/10.1103/PhysRev.144.361
- Takano M., Kawachi J., Nakanishi N., Takeda Y. Valence state of the Fe ions in Sr1 – yLayFeO3 // J. Solid State Chem. 1981. V. 39. P. 75–84. https://doi.org/10.1016/0022-4596(81)90304-2
- Dann S.E., Currie D.B., Weller M.T., Thomas M.F., Al-Rawwas A.D. The Effect of Oxygen Stoichiometry on Phase Relations and Structure in the System La1 – xSrxFeO3 – δ (0 ≤ x ≤ 1, 0 ≤ δ ≤ 0.5) // J. Solid State Chem. 1994. V. 109. P. 134–144. https://doi.org/10.1006/JSSC.1994.1083
- Al-Rawwas A.D., Johnson C.E., Thomas M.F., Dann S.E., Weiler M.T. Mössbauer studies on the series La1 – xSrxFeO3 // Hyperfine Interact. 1994 V. 93. P. 1521–1529. https://doi.org/10.1007/BF02072903
- Grenier J.C., Ea N., Pouchard M., Abou-Sekkina M. Proprietes electriques et magnetiques des ferrites oxydes La1 – xSrxFeO3 – y // Mater. Res. Bull. 1984. V. 19. P. 1301–1309. https://doi.org/10.1016/0025-5408(84)90192-2
- Седых В.Д., Рыбченко О.Г., Некрасов А.Н., Конева И.Е., Кулаков В.И. Влияние изменения содержания кислорода на локальное окружение атомов Fe в анион-дефицитном SrFeO3 – δ. // ФТТ. 2019. Т. 61. № 6. С. 1162–1169.
- Matsnev M.E., Rusakov V.S. SpectrRelax: An application for Mössbauer spectra modeling and fitting / in: AIP Conf. Proc., American Institute of Physics AIP, 2012. P. 178–185. https://doi.org/10.1063/1.4759488
- Fossdal A., Menon M., Wærnhus I., Wiik K., Einarsrud M.A., Grande T. Crystal Structure and Thermal Expansion of La1 – xSrxFeO3 – δ Materials // J. Am. Ceram. Soc. 2004. V. 87. P. 1952–1958. https://doi.org/10.1111/J.1151-2916.2004.TB06346.X
- Grenier J.C., Fournès L., Pouchard M., Hagenmuller P., Komornicki S. Mössbauer resonance studies on the Ca2Fe2O5–LaFeO3 system // Mater. Res. Bull. 1982. V. 17. P. 55–61. https://doi.org/10.1016/0025-5408(82)90183-0
- Battle P.D., Gibb T.C., Nixon S. A study of the ordering of oxygen vacancies in the nonstoichiometric perovskite Sr2LaFe3O8 + y by Mössbauer spectroscopy and a comparison with SrFeO3 – y // J. Solid State Chem. 1989. V. 79. P. 75–85.
- https://doi.org/10.1016/0022-4596(89)90252-1
- Battle P.D., Gibb T.C., Nixon S. A study of charge disproportionation in the nonstoichiometric perovskite Sr2LaFe3O8 + y by Mössbauer spectroscopy // J. Solid State Chem. 1988 V. 77. P. 124–131. https://doi.org/10.1016/0022-4596(88)90099-0
- Sawatzky G.A., van der Woude F. Covalency effects in hyperfine interactions // J. Phys. Colloq. 1974 V. 35. P. 47–60.
- Николаев В.И., Русаков В.С. Мессбауэровские исследования ферритов. М.: Изд-во моск. у-та, 1985. С. 224.
Supplementary files










