Magneto-Optical Spectroscopy of Nanocomposites (CoFeB)x(LiNbO3)100 – x with Concentrations up to the Percolation Threshold: From Superparamagnetism and Superferromagnetism to Ferromagnetism
- Authors: Gan’shina E.A.1, Pripechenkov I.M.1, Perova N.N.1, Kanazakova E.S.1, Nikolaev S.N.2, Sitnikov A.S.2,3, Granovskii A.B.1,4, Ryl’kov V.V.2,4
-
Affiliations:
- Department of Physics, Moscow State University
- National Research Center Kurchatov Institute
- Voronezh State Technical University
- Institute of Theoretical and Applied Electrodynamics
- Issue: Vol 124, No 2 (2023)
- Pages: 134-140
- Section: ЭЛЕКТРИЧЕСКИЕ И МАГНИТНЫЕ СВОЙСТВА
- URL: https://journals.rcsi.science/0015-3230/article/view/139391
- DOI: https://doi.org/10.31857/S0015323022601313
- EDN: https://elibrary.ru/HKTUCR
- ID: 139391
Cite item
Full Text
Abstract
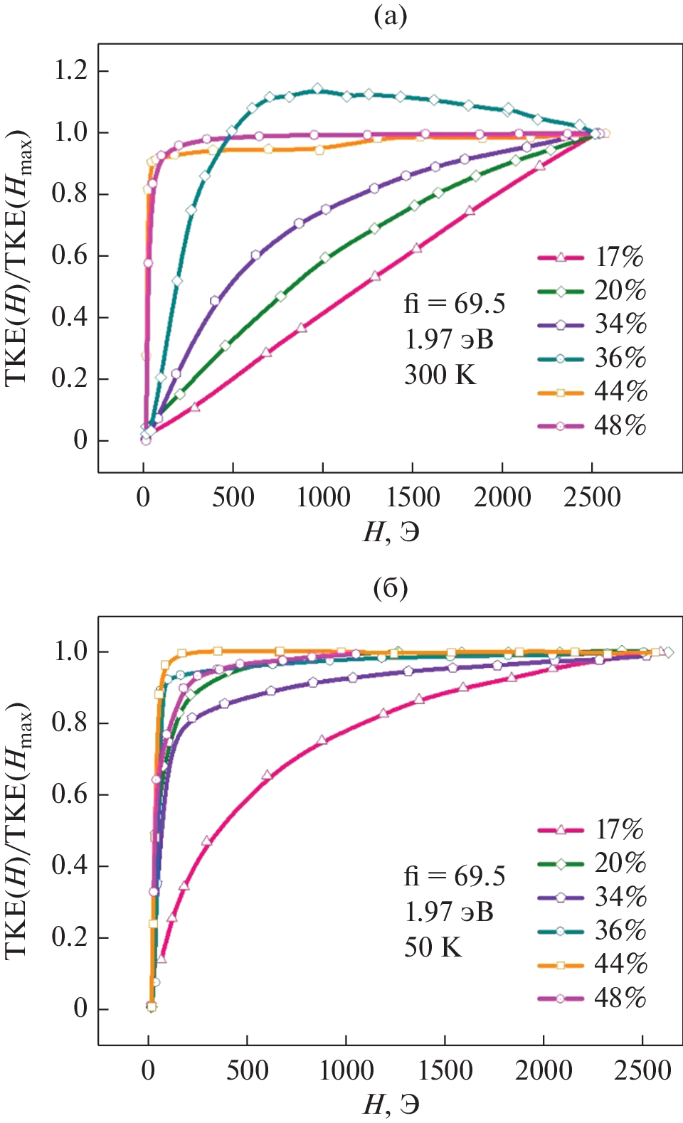
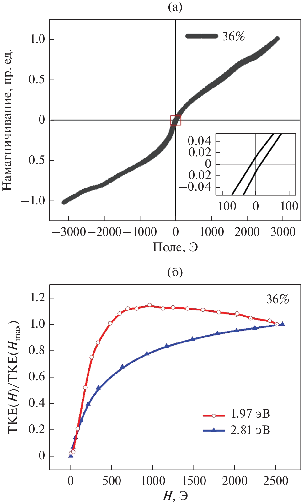
Nanocomposites (CoFeB)x(LiNbO3)100 – x with x = 17–48 at % have been synthesized by ion beam sputtering of a composite target comprised of Co40Fe40B20 and LiNbO3 onto silicon substrates, and the tran-sitions from the superparamagnetic state to the superferromagnetic and ferromagnetic states with an increase in the concentration of the magnetic component are studied by magneto-optical methods. The magneto-optical properties have been investigated in the geometry of the equatorial (transverse) Kerr effect (TKE). Magneto-optical spectra are recorded in the range of 0.5–4.0 eV in fields up to 2.5 kOe at 20–300 K, field and temperature dependences of the TKE at certain wavelengths are obtained, and the domain structure during magnetization reversal is visualized using a magneto-optical Kerr microscope. It is shown that the sample with x = 17 at % is superparamagnetic at temperatures above the blocking temperature (about 30 K). The interaction between the granules is considerable already at x = 20 at %, the transition to the superferro-magnetic state occurs at x ≈ 32–36 at %, and the transition to the ferromagnetic state occurs at x ≈ 44 at %near the metal–dielectric transition, i.e., at a concentration below the percolation transport threshold.
About the authors
E. A. Gan’shina
Department of Physics, Moscow State University
Email: eagan@mail.ru
Moscow, 119991 Russia
I. M. Pripechenkov
Department of Physics, Moscow State University
Email: eagan@mail.ru
Moscow, 119991 Russia
N. N. Perova
Department of Physics, Moscow State University
Email: eagan@mail.ru
Moscow, 119991 Russia
E. S. Kanazakova
Department of Physics, Moscow State University
Email: eagan@mail.ru
Moscow, 119991 Russia
S. N. Nikolaev
National Research Center Kurchatov Institute
Email: eagan@mail.ru
Moscow, 123182 Russia
A. S. Sitnikov
National Research Center Kurchatov Institute; Voronezh State Technical University
Email: eagan@mail.ru
Moscow, 123182 Russia; Voronezh, 394026 Russia
A. B. Granovskii
Department of Physics, Moscow State University; Institute of Theoretical and Applied Electrodynamics
Email: eagan@mail.ru
Moscow, 119991 Russia; Moscow, 125412 Russia
V. V. Ryl’kov
National Research Center Kurchatov Institute; Institute of Theoretical and Applied Electrodynamics
Author for correspondence.
Email: eagan@mail.ru
Moscow, 123182 Russia; Moscow, 125412 Russia
References
- Рыльков В.В., Емельянов А.В., Николаев С.Н., Никируй К.Э., Ситников А.В., Фадеев Е.А., Демин В.А., Грановский А.Б. Транспортные свойства магнитных наногранулированных композитов с диспергированными ионами в изолирующей матрице // ЖЭТФ. 2020. Т. 158. № 1(7). С. 164–183.
- Martyshov M. N., Emelyanov A.V., Demin V.A., Nikiruy K.E., Minnekhanov A.A., Nikolaev S.N., Taldenkov A.N., Ovcharov A.V., Presnyakov M.Yu., Sitnikov A.V., Vasiliev A.L., Forsh P.A., Granovsky A.B., Kashkarov P.K., Kovalchuk M.V., Rylkov V. V. Multifilamentary character of anticorrelated capacitive and resistive switching in memristive structures based on (CoFeB)x(LiNbO3)100 – x nanocomposite //Phys. Rev. Appl. 2020. V. 14. № 3. Art. No. 034016.
- Bedanta S., Kleemann W. Supermagnetism // J. Phys. D: Applied Physics. 2008. V. 42. № 1. Art. No. 013001.
- Beloborodov I. S., Lopatin A.V., Vinokur V.M., Efetov K.B. Granular electronic systems // Rev. Modern Physics. 2007. V. 79. №. 2. Art. No. 469.
- Рыльков В.В., Николаев С.Н., Демин В.А., Емельянов А.В., Ситников А.В., Никируй К.Э., Леванов В.А., Пресняков М.Ю., Талденков А.Н., Васильев А.Л., Черноглазов К.Ю., Веденеев А.С., Калинин Ю.Е., Грановский А.Б., Тугушев В.В., Бугаев А.С. Транспортные, магнитные и мемристивные свойства наногранулированного композита (CoFeB)x(LiNbOy)100 – x // ЖЭТФ. 2018. Т. 153. № 3. С. 424–441.
- Рыльков В.В. Дровосеков А.Б., Талденков А.Н., Николаев С.Н., Удалов О.Г., Емельянов А.В., Ситников А.В., Черноглазов К.Ю., Демин В.А., Новодворский О.А., Веденеев А.С., Бугаев А.С. Необычное поведение коэрцитивной силы в нанокомпозите (CoFeB)x(LiNbOy)100 – x с высоким содержанием магнитных ионов в изолирующей матрице // ЖЭТФ. 2019. Т. 155. № 1. С. 127–137.
- Николаев С.Н., Емельянов А.В., Чумаков Р.Г., Рыльков В.В., Ситников А.В., Пресняков М.Ю., Кукуева Е.В., Демин В.А. Свойства мемристивных структур на основе нанокомпозита (CoFeB)x(LiNbOy)100 – x синтезированных на SiO2/Si-подложках // ЖЭТФ. 2020. Т. 90. № 2. С. 257–263.
- Никируй К.Э. Емельянов А.В., Мацукатова А.Н., Кукуева Е.В., Васильев А.Л., Ситников А.В., Демин В.А., Рыльков В.В. Влияние эффекта перколяции на резистивные переключения структур на базе нанокомпозита (CoFeB)x(LiNbOy)100 – x // ФТТ. 2022. Т. 64. № 11. С. 1693–1694.
- Rylkov V. V., Sitnikov A.V., Nikolaev S.N., Demin V.A., Taldenkov A.N., Presnyakov M.Yu., Emelyanov A.V., Vasiliev A.L., Kalinin Yu.E., Bugaev A.S., Tugushev V.V., Granovsky A.B. Properties of granular (CoFeB)x(Al2O3)100 – x and (CoFeB)x(LiNbOy)100 – x nanocomposites: Manifestation of superferromagnetic ordering effects // J. Magn. Magn. Mater. 2018. V. 459. P. 197–201.
- http://evicomagnetics.com/productss/magneto-optical-kerr-microscope-magnetometer.
- Traeger G., Wenzel L., Hubert A. Computer experiments on the information depth and the figure of merit in magnetooptics // Phys. Stat. Sol. (a). 1992. V. 131. № 1. P. 201–227.
- Gan’shina E. A., Granovsky A.B., Sitnikov A.V., Lahderanta E., Rylkov V.V. Magneto-optical spectroscopy of (CoFeB)x–(Al–O)100 – x nanocomposites: evidence of superferromagnetism // IEEE Magnetics Letters. 2020. V. 11. P. 1–4.
- Ганьшина Е.А., Вашук М.В., Виноградов А.Н., Грановский А.Б., Гущин В.С., Щербак П.Н., Калинин Ю.П., Ситников А.В. Эволюция оптических и магнитооптических свойств в нанокомпозитах аморфный металл–диэлектрик // ЖЭТФ. 2004. Т. 125. № 5. С. 1172–1183.
Supplementary files









