Создание сложных многокомпонентных моделей мёссбауэровских спектров на примере исследования сверхтонких взаимодействий в квазибинарных сплавах со структурой фаз Лавеса
- Авторы: Мацнев М.Е.1, Русаков В.С.1
-
Учреждения:
- Московский государственный университет им. М.В. Ломоносова, Физический факультет
- Выпуск: Том 124, № 3 (2023)
- Страницы: 292-297
- Раздел: СТРУКТУРА, ФАЗОВЫЕ ПРЕВРАЩЕНИЯ И ДИФФУЗИЯ
- URL: https://journals.rcsi.science/0015-3230/article/view/139387
- DOI: https://doi.org/10.31857/S0015323022601751
- EDN: https://elibrary.ru/CNDYUC
- ID: 139387
Цитировать
Полный текст
Аннотация
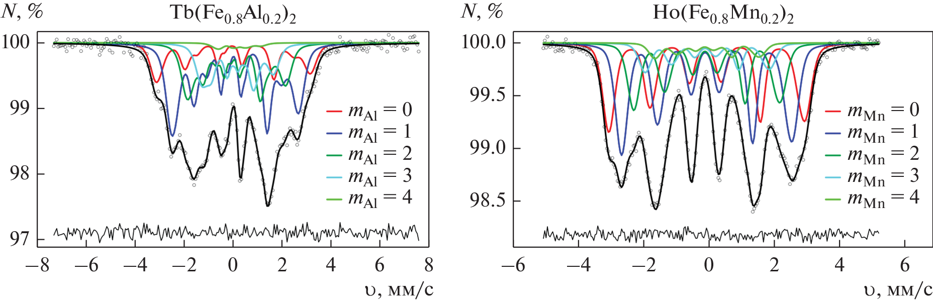
Описан способ создания новых пользовательских моделей парциальных мессбауэровских спектров на основе уже существующих, встроенных в программу SpectrRelax, без изменения самой программы, путем написания фрагментов кода на встроенном языке программирования Lua. Расширение возможностей программы SpectrRelax продемонстрировано на примере исследования сверхтонких взаимодействий ядер 57Fe в квазибинарных сплавах Tb(Fe0.8Al0.2)2 и Ho(Fe0.8Mn0.2)2 со структурой фаз Лавеса C15. Создана и использована модель расшифровки спектров, которая учитывает одновременно композитную и магнитную неэквивалентность позиций атомов Fe в этих сплавах, что позволило получить новую информацию об ориентации оси легчайшего намагничивания, анизотропии сверхтонкого магнитного поля и влиянии замещения атомов Fe атомами Al и Mn на сверхтонкие параметры мёссбауэровских спектров.
Об авторах
М. Е. Мацнев
Московский государственный университет им. М.В. Ломоносова, Физический факультет
Email: rusakov@phys.msu.ru
Россия, 119991, Москва, Ленинские горы, 1, стр. 2
В. С. Русаков
Московский государственный университет им. М.В. Ломоносова, Физический факультет
Автор, ответственный за переписку.
Email: rusakov@phys.msu.ru
Россия, 119991, Москва, Ленинские горы, 1, стр. 2
Список литературы
- Matsnev M.E., Rusakov V.S. SpectrRelax: an application for Mössbauer spectra modelling and fitting // AIP Conference Proceedings. 2012. V. 1489. P. 178–185.
- Matsnev M.E., Rusakov V.S. Study of spatial spin-modulated structures by Mössbauer spectroscopy using SpectrRelax // AIP Conference Proceedings. 2014. V. 1622. P. 40–49.
- Иерузалимски Р. Программирование на языке Lua. М.: ДМК Пресс, 2014. 382 с.
- Piponi D. Automatic Differentiation, C++ Templates and Photogrammetry // J. Graphics Tools, 2004.
- Engdahl G. Handbook of giant magnetostrictive materials. Academic Press, 2000. 386 p.
- Gschneidner, Jr.K.A., Pecharsky V.K., Tsokol A.O. Recent Developments in Magnetocaloric Materials // Rep. Progr. Phys. 2005. V. 68. P. 1479–1539.
- Raj P., Kulshreshtha S.K. Magnetically induced quadrupole interactions and anisotropic hyperfine fields at Fe-sites in RFe2-compounds // J. Phys. 1980. V. 41. P. 1487–1494.
- Николаев В.И., Русаков В.С., Солодченкова Т.Б. Кинетика спиновой переориентации при наличии анизотропии сверхтонких взаимодействий // Изв. АН СССР. Сеp. Физическая. 1990. Т. 54. № 9. С. 1681–1685.
- Pokatilov V.S. Hyperfine fields and magnetic moments in Laves phase compounds RFe2 (R = Sc, Y, Zr, Gd, Ce, Lu) // JMMM. 1998. V. 189. P. 189–194.
- Русаков В.С. Мёссбауэровская спектроскопия локально неоднородных систем. Алматы: ИЯФ НЯЦ РК. 2000. 431 с.
- Покатилов В.С. Сверхтонкие взаимодействия в кубических сплавах Лавеса Sc1 – xYxFe2 // ЖЭТФ. 2003. Т. 123. № 1. С. 71–78.
- Wiertel M., Surowiec Z., Budzyński M., Sarzyński J., Beskrovnyi A.I. Magnetic and structural properties of Sc(Fe1 – xSix)2 Laves phases studied by Mössbauer spectroscopy and neutron diffraction // Nukleonika. 2015. V. 60. P. 155–160.
- Вершинин А.В., Наумов С.П., Сериков В.В., Клейнерман Н.М., Мушников Н.В., Русаков В.С. Параметры сверхтонкого взаимодействия и магнитный фазовый переход антиферромагнетик–ферромагнетик в Ce(Fe1 – xSix)2 // ФММ. 2016. Т. 117. № 12. С. 1234–1240.
- Русаков В.С., Покатилов В.С., Губайдулина Т.В., Мацнев М.Е. Сверхтонкие магнитные поля на ядрах 57Fe в интерметаллической системе Zr1 – xScxFe2 // ФММ. 2019. Т. 120. № 4. С. 366–371.
- Наумов С.П., Мушников Н.В., Терентьев П.Б., Клейнерман Н.М. Магнитные свойства и локальное атомное упорядочение в Ce(Fe1 – xSix)2 c содержанием кремния x ≤ 0.05 // ФММ. 2022. Т. 123. № 6. С. 588–595.
- Onodera H., Fujita A., Yamamoto H., Sagawa M. and Hirosawa S. Mossbauer study of the intermetallic compound Nd2Fe14B. I. Interpretation of complex spectrum // J. Magn. Magn. Mater. 1987. V. 68. P. 6–14.
- Займан Дж. Модели беспорядка. Теоретическая физика однородно неупорядоченных систем: Пер. с англ. М.: Мир, 1982. 592 с.
Дополнительные файлы




