Влияние легирования Al на стабильность фаз D03 и L12 в сплавах Fe73.44(Ga, Al)26.56: ab initio расчет и Монте-Карло моделирование
- Авторы: Матюнина М.В.1, Загребин М.А.1,2, Соколовский В.В.1,3, Бучельников В.Д.1
-
Учреждения:
- Челябинский государственный университет
- Южно-Уральский государственный университет (национальный исследовательский университет)
- НИТУ “МИСиС”,
- Выпуск: Том 124, № 1 (2023)
- Страницы: 98-105
- Раздел: СТРУКТУРА, ФАЗОВЫЕ ПРЕВРАЩЕНИЯ И ДИФФУЗИЯ
- URL: https://journals.rcsi.science/0015-3230/article/view/139364
- DOI: https://doi.org/10.31857/S001532302260126X
- EDN: https://elibrary.ru/KQKUTU
- ID: 139364
Цитировать
Полный текст
Аннотация
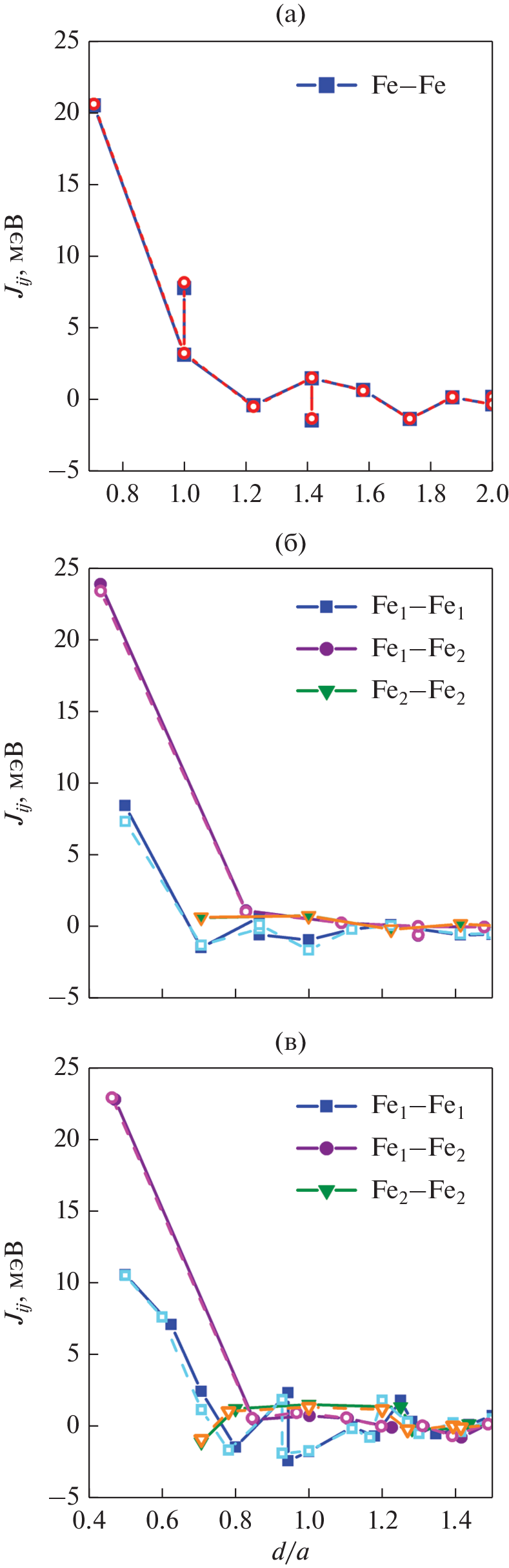
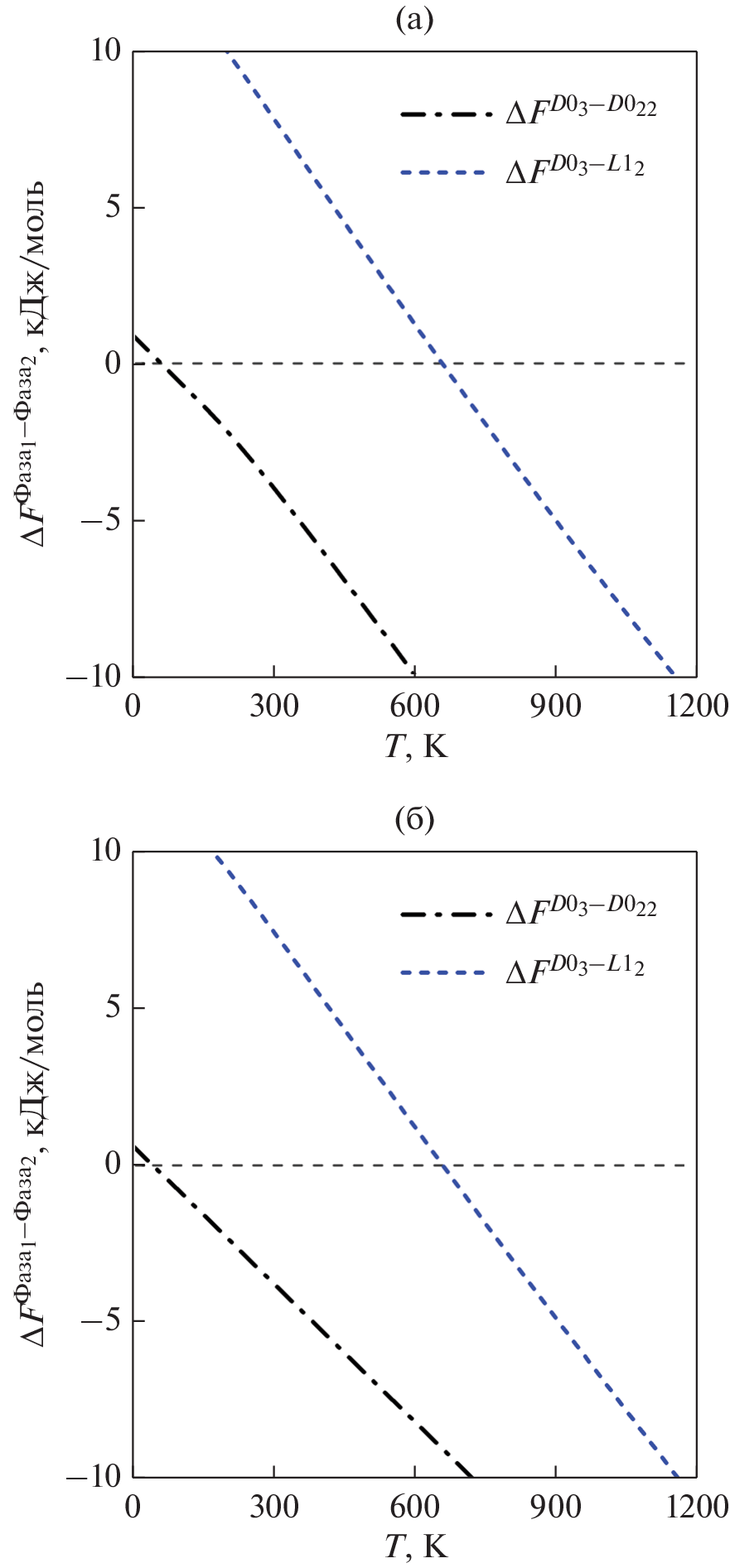
Исследовано влияния легирования Al на стабильность фаз D03 и L12 в магнитострикционных сплавах Fe–Ga и Fe–Ga–Al с высоким содержанием немагнитных атомов ≈27 ат. %. С использованием методов теории функционала электронной плотности для исследуемых кристаллических структур D03 и L12 получены модули тетрагонального сдвига C ' = (C11–C12)/2 и температуры Дебая ΘD. Показано, что замена 4.58 ат. % Ga атомами Al приводит к увеличению ΘD и уменьшению значений C ′. В рамках комбинированного подхода ab initio и моделирования методом Монте-Карло были проведены расчеты свободных энергий, и определены температуры фазового перехода D03–L12. Показано, что добавка Al в систему Fe–Ga уменьшает разность энергий структур D03 и L12.
Ключевые слова
Об авторах
М. В. Матюнина
Челябинский государственный университет
Email: matunins.fam@mail.ru
Россия, 454001, Челябинск, ул. Бр. Кашириных, 129
М. А. Загребин
Челябинский государственный университет; Южно-Уральский государственный университет (национальный исследовательский университет)
Email: matunins.fam@mail.ru
Россия, 454001, Челябинск, ул. Бр. Кашириных, 129; Россия, 454080, Челябинск, просп. В.И. Ленина, 76
В. В. Соколовский
Челябинский государственный университет; НИТУ “МИСиС”,
Email: matunins.fam@mail.ru
Россия, 454001, Челябинск, ул. Бр. Кашириных, 129; Россия, 119049, Москва, Ленинский просп., 4
В. Д. Бучельников
Челябинский государственный университет
Автор, ответственный за переписку.
Email: matunins.fam@mail.ru
Россия, 454001, Челябинск, ул. Бр. Кашириных, 129
Список литературы
- Clark A., Wun-Fogle M., Restorff J., Lograsso T. Magnetostrictive Properties of Galfenol Alloys Under Compressive Stress // Mater. Trans. 2002. V. 43. № 5. P. 881–886.
- Clark A.E., Hathaway K.B., Wun-Fogle M., Restorff J., Lograsso T.A., Keppens V., Petculescu G., Taylor R. Extraordinary magnetoelasticity and lattice softening in bcc Fe–Ga alloys // J. Appl. Phys. 2003. V. 93. № 10. P. 8621–8623.
- Clark A.E., Restorff J.B., Wun-Fogle M., Lograsso T.A., Schlagel D.L. Magnetostrictive properties of body-centered cubic Fe–Ga and Fe–Ga–Al alloys // IEEE Trans. Magn. 2000. V. 36. № 5. P. 3238–3240.
- Guruswamy S., Srisukhumbowornchai N., Clark A., Restorff J., Wun-Fogle M. Strong, ductile, and low-field-magnetostrictive alloys based on Fe–Ga // Scripta Mater. 2000. V. 43. № 3. P. 239–244.
- Kellogg R., Russell A., Lograsso T., Flatau A., Clark A., Wun-Fogle M. Tensile properties of magnetostrictive iron–gallium alloys // Acta Mater. 2004. V. 52. № 17. P. 5043–5050.
- Kellogg R.A. Development and modeling of irongallium alloys. 2003.
- Xing Q., Du Y., McQueeney R., Lograsso T. Structural investigations of Fe–Ga alloys: Phase relations and magnetostrictive behavior // Acta Mater. 2008. V. 56. № 16. P. 4536–4546.
- Handbook of magnetic materials / Ed. By K.H.J. Buschow. North Holland, 2012. V. 20.
- Ikeda O., Kainuma R., Ohnuma I., Fukamichi K., Ishida K. Phase equilibria and stability of ordered bcc phases in the Fe-rich portion of the Fe–Ga system // J. Alloys and Compounds. 2002. V. 347. № 1–2. P. 198–205.
- Golovin I., Palacheva V., Mohamed A., Balagurov A. Structure and properties of Fe–Ga alloys as promising materials for electronics // Phys. Met. Metal. 2020. V. 121. № 9. P. 851–893.
- Kubaschewski O. Iron-Binary phase diagrams. Springer-Verlag Berlin Heidelberg GmbH, 1982.
- Köster W., Gödecke T. Uber den Aufbau des Systems Eisen-Gallium zwischen 10 und 50 at. % Ga und dessen Abhandidkeit von der Warme behandlung. I. Das Diagramm der raumzentrierten Phasen // Zeitschrift f¨ur Metallkunde. 1977. V. 68. № 10. P. 582–589.
- Köster W., Gödecke T. Uber den Aufbau des Systems Eisen-Gallium zwischen 10 und 50 at % Ga und dessen Abhandidkeit von der Warme behandlung. II. Ein Unterkuhlungsdiagramm und Diagramme fur die Vorgange biem Anlassen ofengekuhlter und absgeschreckter Legierungen // Zeitschrift f¨ur Metallkunde. 1977. V. 68. № 10. P. 661–668.
- Köster W., Gödecke T. Uber den Aufbau des Systems Eisen-Gallium zwischen 10 und 50 at % Ga und dessen Abhandidkeit von der Warme behandlung. III. Das Gleichgewichtsdiagramm // Zeitschriftf¨ur Metallkunde. 1977. V. 68. № 10. P. 758–764.
- Okamoto H. The Fe–Ga (iron–gallium) system // Bulletin of alloy phase diagrams. 1990. V. 11. № 6. P. 576–581.
- Dasarathy C. Order-Disorder Change in Fe–Ga Alloys // J. Iron Steel Institute. 1964. V. 202. № 1. P. 51.
- Bras J., Couderc J., Fagot M., Ferre J. Transformation ordered-disordered solution in Fe–Ga // J. Acta Metal. 1977. V. 25. № 9. P. 1077–1084.
- Golovin I., Balagurov A., Bobrikov I., Sumnikov S., Mohamed A. Cooling rate as a tool of tailoring structure of Fe–(9–33%) Ga alloys // Intermetallics. 2019. V. 114. P. 106 610.
- Palacheva V., Emdadi A., Emeis F., Bobrikov I., Balagurov A., Divinski S., Wilde G., Golovin I. Phase transitions as a tool for tailoring magnetostriction in intrinsic Fe–Ga composites // Acta Mater. 2017. V. 130. P. 229–239.
- Matyunina M., Zagrebin M., Sokolovskiy V., Buchelnikov V. Magnetostriction of Fe100 – xGax alloys from first principles calculations // J. Magn. Magn. Mater. 2019. V. 476. P. 120–123.
- Restorff J., Wun-Fogle M., Hathaway K., Clark A., Lograsso T.A., Petculescu G. Tetragonal magnetostriction and magnetoelastic coupling in Fe–Al, Fe–Ga, Fe–Ge, Fe–Si, Fe–Ga–Al, and Fe–Ga–Ge alloys // J. Appl. Phys. 2012. V. 111. № 2. P. 023905.
- Golovin I., Palacheva V., Zadorozhnyy V.Y., Zhu J., Jiang H., Cifre J., Lograsso T.A. Influence of composition and heat treatment on damping and magnetostrictive properties of Fe–18% (Ga + Al) alloys // Acta Mater. 2014. V. 78. P. 93–102.
- Liu Y., Li J., Gao X. Effect of Al substitution for Ga on the mechanical properties of directional solidified Fe–Ga alloys // J. Magn. Magn. Mater. 2017. V. 423. P. 245–249.
- Stein F., Palm M. Re-determination of transition temperatures in the Fe–Al system by differential thermal analysis // International journal of materials research. 2007. V. 98. № 7. P. 580–588.
- Kresse G., Furthmüller J. Efficient iterative schemes for ab initio total-energy calculations using a plane-wave basis set // Phys. Rev. B. 1996. V. 54. P. 11169–11186.
- Kresse G., Joubert D. From ultrasoft pseudopotentials to the projector augmented-wave method // Phys. Rev. B. 1999. V. 59. P. 1758.
- Ebert H., Ködderitzsch D., Minár J. Calculating condensed matter properties using the KKR-Green’s function method–recent developments and applications // Rep. Prog. Phys. 2011. V. 74. № 9. P. 096501.
- Perdew J.P., Burke K., Ernzerhof M. Generalized gradient approximation made simple // Phys. Rev. Letters. 1996. V. 77. P. 3865–3868.
- van de Walle A., Asta M., Ceder G. The alloy theoretic automated toolkit: A user guide // Calphad. 2002. V. 26. № 4. P. 539–553.
- Monkhorst H.J., Pack J.D. Special points for Brillouin-zone integrations // Phys. Rev. B. 1976. V. 13. № 12. P. 5188.
- Kart S.O., Cagın T. Elastic properties of Ni2MnGa from first-principles calculations // J. Alloys Compounds. 2010. V. 508. № 1. P. 177–183.
- Milyutin V., Kuznetsov A., Matyunina M., Zagrebin M., Sokolovskiy V., Gornostyrev Y., Beaugnon E., Balagurov A., Buchelnikov V., Golovin I. Mechanism of high magnetic field effect on the D03–L12 phase transition in Fe–Ga alloys // J. Alloys Compounds. 2022. V. 919. P. 165 818.
- Matyunina M.V., Sokolovskiy V.V., Zagrebin M.A., Buchelnikov V.D. Structural, magnetic and magnetocaloric properties of Fe–Ga alloys // Chelyabinsk Physical and Mathematical Journal. 2020. V. 5. № 4(2). P. 580–591.
- Körmann F., Dick A., Hickel T., Neugebauer J. Pressure dependence of the Curie temperature in bcc iron studied by ab initio simulations // Phys. Rev. B. 2009. V. 79. № 18. P. 184406.
- Landau D.P., Binder K. A Guide to Monte Carlo Simulations in Statistical Physics. 2 edition. Cambridge University Press, 2005.
- Matyunina M., Zagrebin M., Sokolovskiy V., Buchelnikov V. Properties of Fe–Ga and Fe–Ga–V Alloys: Ab Initio Study // Mater. Research Proceedings. 2018. V. 9. P. 162–166.
- Kawamiya N., Adachi K., Nakamura Y. Magnetic properties and Mössabauer investigations of Fe–Ga alloys // J. Phys. Soc. Japan. 1972. V. 33. № 5. P. 1318–1327.
- Matyunina M., Zagrebin M., Sokolovskiy V., Pavlukhina O., Buchelnikov V., Balagurov A., Golovin I. Phase diagram of magnetostrictive Fe–Ga alloys: insights from theory and experiment // Phase Trans. 2019. V. 92. № 2. P. 101–116.
Дополнительные файлы





