Water content, fractional composition of water, carbohydrate and fatty acid composition of lipids in renewal buds of Hylotelephium triphyllum (Crassulaceae) during overwintering
- Authors: Tabalenkova G.N.1, Malyshev R.V.1, Atoyan M.S.1
-
Affiliations:
- Institute of Biology, Komi Scientific Center of the Ural Branch of RAS
- Issue: Vol 109, No 7 (2024)
- Pages: 645-661
- Section: COMMUNICATIONS
- URL: https://journals.rcsi.science/0006-8136/article/view/272669
- DOI: https://doi.org/10.31857/S0006813624070019
- EDN: https://elibrary.ru/PSWFHO
- ID: 272669
Cite item
Full Text
Abstract
Renewal buds are a good model for studying growth, metabolism and bioenergetics under the influence of environmental factors (light, temperature). Such studies can provide new information about physiological, biochemical and molecular mechanisms of shoot growth at the stage of growth inside the bud under the influence of exogenous and endogenous factors. The paper contains the data on seasonal changes in energy metabolism, fractional composition of water, content of photosynthetic pigments, soluble carbohydrates, protein, and fatty acids in renewal buds of Hylotelephium triphyllum (Haw.) Holub. In the renewal buds formed in August, the total water content is about 85%, the share of water passing into the crystalline state – more than 90%, the temperature of the water-to-ice phase transition – −6°C. The intensity of respiration decreases, and the rate of energy storage, accumulation of soluble carbohydrates and unsaturated fatty acids increases gradually against the high water content and high proportion of unbounded water in plant tissues as long as the average daily temperatures decrease. There is a direct relationship between the respiration intensity, heat release, and energy storage. During the autumn-winter-spring period, the proportion of stored energy from the energy produced by respiration is about 40%. The formation of the photosynthetic apparatus of renewal buds is accompanied by a decrease in the rate of heat release and in the amount of stored energy. The swelling of buds proceeds simultaneously with an increase in the content of fatty acids, which indicates the activation their synthesis and coincides with the spring maximum content of chlorophylls and carotenoids. At this period, the total water content is about 75%, the proportion of water passing into the crystalline state – about 99%.
The temperature of the water-to-ice phase transition is −4.7°C. This temperature value of ice formation is probably the minimum possible temperature at which irreversible damages to cellular structures occur in renewal buds. Consequently, the high water saturation in renewal buds of Hylotelephium triphyllum maintains metabolic processes and, as a result, favors the implementation of morphophysiological and structural rearrangements in them but also significantly increases the risk of damage by negative temperatures in low-snow winters.
Full Text
Климатические условия среды являются важным фактором, определяющим распространение растений. Большая часть растений умеренной зоны в течение года подвергается действию низких отрицательных температур. Характер реакции растения на температурное воздействие зависит от напряженности действующего фактора (интенсивности и продолжительности), генетически обусловленной устойчивости и физиологического состояния. Важнейшим адаптивным признаком, возникшим в процессе эволюции растений как приспособление к перенесению неблагоприятных периодов года, является сезонная ритмичность роста и развития. Периодичность роста наблюдается у всех растений, период усиленной жизнедеятельности сменяется периодом ослабления и даже почти полным ее прекращением. Переход в состояние покоя определяется уменьшением длины дня, изменением спектрального состава света, понижением температуры, увеличением перепада температур в дневные и ночные часы. Глубина покоя, причины, его вызывающие, сильно варьируют у различных растений. Различают глубокий покой, при котором рост не возобновляется даже при наступлении благоприятных условий внешней среды, и вынужденный покой, который вызывается неблагоприятными условиями произрастания и прекращается при их устранении. Для большинства древесных растений характерен глубокий покой. Для многолетних травянистых растений описан как глубокий, так и вынужденный покой.
Особо чувствительными к абиотическим факторам являются меристематические ткани почек возобновления, где осуществляются процессы роста, пролиферации и дифференциации клеток и тканей. В меристемах локализованы многие рецепторные системы, воспринимающие изменения во внешней среде (Maslova, Golovko, 2017; Voitsekhovskaja, 2019). Для каждой из меристем выявлены специфические механизмы регуляции, для которых характерно взаимодействие фитогормонов и основных групп транскрипционных факторов. У растений функционируют не менее пяти групп фоторецепторов, воспринимающих информацию об условиях освещенности, температурном режиме и т. д. (Voitsekhovskaja, 2019). В частности, неотъемлемой частью сигнальных путей, регулирующих рост, развитие растения и реакцию на внешние факторы, являются рецепторные киназы (Polyushkevich et al., 2020). Особое внимание уделяется роли систем WOX—CLAVATA в поддержании меристем и их взаимодействию с другими меристемными регуляторами (Laux et al., 1996; Dodueva et al., 2016).
У любого многолетнего растения умеренного и холодного климата в конце вегетационного периода ежегодно образуются пазушные и придаточные почки возобновления. Формирование почек возобновления у многолетних растений происходит на протяжении всего вегетационного периода (Serebryakova et al., 2006). Количество почек возобновления, образующихся ежегодно у одного растения, может варьировать в широких пределах, при этом не все из них затем развиваются в надземные побеги (Lelekova et al., 2020). Количество пазушных и придаточных почек на растениях перед уходом их под снег может служить косвенным показателем зимостойкости растений (Golovkin, 1973). По мнению некоторых ботаников, существует прямая связь между способностью растений образовывать большое количество пазушных и придаточных почек и адаптацией к суровым условиям зимы. Запас спящих почек является гарантией развития побегов при гибели части почек в зимнее время, а также при весенних заморозках (Tikhomirov, 1963).
Анатомо-морфологические преобразования почек возобновления сопряжены с существенными изменениями активности и направленности физиолого-биохимических процессов, необходимых для сохранения жизнедеятельности растительного организма, и позволяют им переносить неблагоприятные периоды года.
Почки возобновления являются хорошей моделью для изучения процессов роста, метаболизма и биоэнергетики под влиянием факторов среды (свет, температура). Подобные исследования могут дать новую информацию о физиолого-биохимических и молекулярных механизмах роста побега на этапе внутрипочечного роста под влиянием экзогенных и эндогенных факторов.
Целью данной работы было изучение сезонных изменений пигментного комплекса, оводненности, содержания свободной и связанной воды, температуры замерзания воды, растворимых углеводов, белка и жирных кислот в почках возобновления Hylotelephium triphyllum в процессе перезимовки.
МАТЕРИАЛЫ И МЕТОДЫ
Hylotelephium triphyllum (Haw.) Holub. (очитник трехлистный) семейства Crassulaсeae DC – многолетнее травянистое растение, листовой суккулент с прямостоячими цилиндрическими стеблями. Почки возобновления закладываются в основании прошлогодних побегов по периферии куста, относятся к типу гемикриптофитов и находятся на уровне субстрата (рис. 1), где все листья плотно прижаты к оси и большинство из них смыкается над апексом, образуя защитный покров (Serebryakova et al., 2006). H. triphyllum размножается генеративным (семенами) и вегетативным (клубнями) способами. В генеративный период (продолжительность периода составляет 5–6 лет) особи H. triphyllum вступают в возрасте 4–5 лет и старше (Golovko et al., 2007; Babak, 2011). На территории Республики Коми растение встречается у террасы, в пойме и прирусловой части поймы, по берегам озер и ручьев, на травянистых лужайках и суходольных лугах, по обочинам грунтовых дорог и железнодорожным насыпям. Произрастает в ельниках, березняках и хвойных стланиках; на глинистых, песчаных и супесчаных почвах, на известняках, сланцевых обнажениях и скалах (Golovko et al., 2007).
Рис. 1. Подземная часть растений Hylotelephium triphyllum: 1 – корни; 2 – клубни; 3 – почки возобновления.
Fig. 1. The subterranean part of Hylotelephium triphyllum plants: 1 – roots; 2 – root tubers; 3 – renewal buds.
Исследования проводили в течение вегетационного периода 2021–2023 гг. Использовали растения, произрастающие на дерново-слоистой песчано-супесчаной хорошо дренируемой почве в заливаемой части пойменной террасы р. Сысолы.
Почки возобновления H. triphyllum отбирали в конце сентября, начале ноября, декабре, марте и апреле. Растения (20–25 шт.) выкапывали и переносили в лабораторию. С подземной части побега отрезали апикальные почки возобновления и использовали в анализах. Определение температуры кристаллизации и долю свободной воды в свежих почках проводили на дифференциальном сканирующем калориметре DSC-60 Shimadzu (Япония) методом прямой калориметрии. После помещения образца в калориметр программно задавалась скорость снижения температуры 1°C/мин, от начальной температуры +5 до −20°C.
С помощью программного обеспечения для DSC-60 “ТА 60 Version 1.33” определяли начало фазового перехода вода–лед. По площади экзотермического пика с использованием коэффициента удельной теплоты кристаллизации воды (330 Дж/кг) рассчитывали количество воды, претерпевшей фазовый переход. Оводненность тканей оценивали по разности сырой и сухой массы образцов и выражали в процентах. Образцы высушивали при температуре 105°C до постоянной сухой массы. Полученные количественные значения фракций воды в тканях выражали в долях по отношению к общему содержанию воды (Malyshev, 2021). Прямые измерения метаболического тепловыделения (q, мкВт/мг сухой массы) и интенсивности дыхания (RCO2, нмоль/мг сухой массы) были проведены на изотермическом микрокалориметре Биотест-2 (ИБП, Пущино, Россия). Согласно термодинамической модели скорости запасания энергии в растущих органах растений (Hansen et al., 1994) был рассчитан параметр скорости запасания энергии как разница между количеством образуемой при дыхании энергии (455 RCO2, мкВт/мг сухой массы) и диссипируемой энергией в форме тепла (q, мкВт/мг сухой массы). В качестве показателя эффективности преобразования энергии субстрата в энергию, запасаемую в форме вновь синтезируемой биомассы, использовали отношение q/455RCO2 (данная величина является обратной, значения, близкие к 1, указывают на низкую эффективность процесса).
Для биохимических анализов почки фиксировали жидким азотом, высушивали лиофильно и хранили при температуре −80°C. Содержание фотосинтетических пигментов (хлорофиллов и каротиноидов) определяли в 100%-ной ацетоновой вытяжке на спектрофотометре UV-1700 (Shimadzu, Киото, Япония) при длинах волн 662, 644 и 470 нм (Shlyk, 1971). Навески образцов составляли 0.2 ± 0.001 г в трех повторностях (ОКБ Веста АВ 120-01С, Россия). Растворимые углеводы определяли спектрофотометрическим методом по Sofronova et al. (1978), растворимый белок – по Bradford (1976). В качестве стандарта белка использовали бычий сывороточный альбумин (Диаэм, Россия). Анализ жирных кислот выполняли в ЦКП “Хроматография” Института биологии Коми НЦ УрО РАН, их определяли в виде метиловых эфиров после проведения кислотного метанолиза липидов с последующей этерификацией выделившихся кислот. Количественное определение индивидуальных кислот проводили методом внутреннего стандарта. Погрешность измерения содержания кислот для доверительной вероятности P = 0.95 составляет 10–15% (Mihovich et al., 2017). Активность ацил-липидных десатураз, катализирующих образование двойных связей в алифатических углеродных цепях олеиновой (С18:1), линолевой (С18:2) и линоленовой (С18:3) кислот, определялась как стеароил-(SDR), олеоил-(ODR) и линолеоил-(LDR) десатуразные отношения и рассчитывалась на основании содержания отдельных компонентов суммы С18-жирных кислот, где С18:0, С18:1, С18:2 и С18:3 – процент содержания стеариновой, олеиновой, линолевой и линоленовой кислот от суммы жирных кислот (Graskova et al., 2011). Все биохимические анализы проводили в 2–3-кратной повторности на трех независимых образцах.
В таблицах и на рисунках приведены средние арифметические значения и их стандартные ошибки. Апостериорный критерий Дункана при уровне значимости P < 0.05 применяли после проведения однофакторного дисперсионного анализа. Для статистической обработки использовали программу Statistica 6.1 (“StatSoft. Inc.”, Tulsa, OK, США).
РЕЗУЛЬТАТЫ
Вегетативная почка – это зачаточный, еще не развернувшийся побег, который состоит из меристематической зачаточной оси (будущего стебля) и зачаточных листьев разного возраста, расположенных друг над другом на этой оси. Наружные листья почки могут формировать специализированные почечные чешуи, выполняющие защитные функции (Serebryakova et al., 2006). У H. triphyllum почки возобновления открытые, не имеют кроющих чешуй и в холодные сезоны года защищены только листовым и снежным покровом (Lotova, 2000; Golovko et al., 2007).
Для оценки состояния пигментного комплекса в почках была прослежена динамика содержания хлорофиллов a, b (хл. а, хл. b) и суммы каротиноидов. Содержание зеленых пигментов в зимующих почках до начала марта изменялось незначительно (табл. 1). В этот период хл. а и хл. b присутствовали примерно в равном количестве, отношение хл. а/хл. b равнялось единице, что свидетельствует о несформированном фотосинтетическом аппарате. В конце марта количество хлорофиллов несколько увеличивалось, достигая максимума к концу апреля. При этом в большей степени происходило увеличение содержания хл. а, отношение хл. а/хл. b повышалось до 2.3, т. е. до значений, характерных для полностью сформированного фотосинтетического аппарата (Golovko et al., 2008). Максимальное содержание в почках хлорофиллов и каротиноидов отмечалось к концу апреля. Согласно нашим данным содержание хлорофиллов в полностью сформировавшемся листе составляло в зависимости от года исследований и фазы развития от 2 до 5 мг/г сухой массы, каротиноидов – 0.7–1.2 мг/г сухой массы, соотношение хл. а/ хл. b варьировало от 2.5 до 4 (Golovko et al., 2008).
Таблица 1. Сезонная динамика содержания пигментов в почках возобновления Hylotelephium triphyllum, мг/г сухой массы
Table 1. The seasonal dynamics of pigment content in renewal buds of Hylotelephium triphyllum, mg/g dry weight
Дата отбора проб Date of sampling | Хлорофилл а Chlorophyll a | Хлорофилл b Chlorophyll b | Хлорофилл а+b Chlorophyll а+b | Сумма каротиноидов Carotenoids | Хлорофилл а/ хлорофилл b Chlorophyll a/ chlorophyll b | Хлорофилл, каротиноид Chlorophyll, carotenoids |
22.12.22 | 0.068 ± 0.007 | 0.064 ± 0.007 | 0.132 | 0.028 ± 0.002 | 1.0 | 4.7 |
02.03.23 | 0.094 ± 0.007 | 0.040 ± 0.004 | 0.134 | 0.031 ± 0.002 | 2.3 | 4.3 |
24.04.23 | 0.216 ± 0.02 | 0.095 ± 0.009 | 0.311 | 0.069 ± 0.003 | 2.3 | 4.5 |
Интенсивность протекания физиологических процессов во многом определяется оводненностью тканей. Оводненность почек возобновления H. triphyllum составляла в среднем около 80%. Весной (апрель) и в летний период (август) преобладала фракция свободной воды, поздней осенью (ноябрь) и зимой (декабрь) в почках появлялась фракция связанной воды (табл. 2), что обусловлено ростом концентрации криопротекторов, связывающих значительное количество воды. Согласно данным, полученным с помощью дифференциальной сканирующей калориметрии, фазовый переход вода–лед в почках возобновления H. triphyllum в летний период (август) наблюдался при температуре около −6°C, а в течение осени, зимы и весны колебался от −3.9°C в сентябре до −4.7°C в декабре (см. табл. 2). В этот период в почках отмечалось накопление растворимых углеводов, максимальное содержание которых приходилось на ноябрь–декабрь при минимальной доле свободной воды (см. табл. 2). Отмечена высокая отрицательная (−0.99) корреляция между этими показателями. С началом ростовых процессов (конец апреля) отмечались уменьшение содержания растворимых углеводов и увеличение содержания белка.
Таблица 2. Сезонная динамика содержания растворимых углеводов, белка и оводненность почек возобновления Hylotelephium triphyllum
Table 2. The seasonal dynamics of the content of soluble carbohydrates, protein and water of renewal buds of Hylotelephium triphyllum
Отбор проб Sampling | Углеводы Carbohydrates | Белок Protein | Оводненность, % Water content, % | Фракция свободной воды, % Free-water fraction, % | Температура замерзания воды, °С Freezing point of water, °С |
мг/г сухой массы mg/g dry weight | |||||
Август August | Не определяли | 84.6 ± 1.8 | 99.0 ± 17.1 | −6.4 ± 0.5 | |
Сентябрь September | 59.5 ± 0.7 | — | 88.0 ± 1.3 | 89.3 ± 3.7 | −3.9 ± 0.1 |
Ноябрь November | 77.9 ± 0.4 | 4.58 ± 0.3 | 80.4 ± 3.3 | 73.8 ± 5.5 | −4.3 ± 0.4 |
Декабрь December | 91.4 ± 2.5 | 3.86 ± 0.1 | 81.3 ± 2.2 | 75.7 ± 7.5 | −4.7 ± 0.3 |
Апрель April | 41.4 ± 1.0 | 6.52 ± 2.9 | 74.6 ± 0.3 | 99.0 ± 10.3 | −4.7 ± 0.3 |
Большое значение на протяжении всего жизненного цикла растений, в том числе при адаптации к абиотическим и биотическим стрессорам, имеет метаболизм жирных кислот (Nokhsorov et al., 2015; Li-Beisson et al., 2016). Исследования показали, что жирные кислоты, входящие в состав общих липидов почек возобновления H. triphyllum, содержали от 14 до 24 углеродных атомов. Насыщенные жирные кислоты были представлены главным образом пальмитиновой (16:0) и стеариновой (18:0) кислотами (табл. 3). Содержание миристиновой (14:0), арахиновой (20:0), бегеновой (22:0) и лигноцериновой (24:0) кислот было незначительным (<2%). Из ненасыщенных жирных кислот в состав общих липидов входили С16:1 и С18:1, С18: 2, С18:3 кислоты. Доминирующими являлись линолевая (18:2) и линоленовая (18:3) кислоты, содержание остальных – пальмитоолеиновой (16:1) и олеиновой (18:1) не превышало 2% (табл. 3). Максимальное количество жирных кислот в почках возобновления отмечалось в сентябре до наступления отрицательных температур и в конце апреля при возобновлении формообразовательных процессов. Значительно уменьшалось содержание жирных кислот в декабре и начале марта, что обусловлено снижением содержания линолевой и линоленовой кислот, хотя доля их в составе жирных кислот была высокой. В целом на протяжении всего времени наблюдения доля ненасыщенных жирных кислот в почках возобновления H. triphyllum в два–три раза превышала долю насыщенных жирных кислот. Изменение степени ненасыщенности жирных кислот происходит за счет участия ω-3, ω-6 и ω-9-десатураз (Shanklin, Cahoon, 1998; Los', 2014). Об их активности можно судить по коэффициентам стеароил-десатуразного (SDR), олеоил-десатуразного (ODR) и линолеил-десатуразного (LDR) отношений (см. табл. 3). Исследование изменения сезонной динамики активности десатураз показало, что значения SDR находились в пределах 0.15–0.47, при этом минимальные значения наблюдались в конце ноября – начале марта. Более высокие показатели стеароил-десатуразного отношения в конце апреля (0.47) связаны с резким увеличением содержания олеиновой и линолевой кислот в период активных формообразовательных процессов. Показатели ODR находились в пределах 0.97–0.99 и мало изменялись в период наблюдений. Значения линолеил-десатуразного отношения (LDR) в период исследования находились в пределах 0.40–0.86. Самые высокие значения LDR наблюдались осенью, когда содержание линоленовой кислоты было более 60%.
Таблица 3. Сезонные изменения содержания жирных кислот в почках возобновления Hylotelephium triphyllum
Table 3. Seasonal changes in the fatty acid content in renewal buds of Hylotelephium triphyllum
Жирные кислоты Fatty acids | Дата отбора проб Date of sampling | |||
13.09 | 22.12 | 2.03 | 26.04 | |
С14:0 | 99 0.4 | 11 0.5 | 10 0.5 | 93 0.5 |
С16:0 | 5435 20.9 | 364 17.6 | 362 16.8 | 3892 19.9 |
С18:0 | 274 1.1 | 243 11.8 | 149 6.9 | 361 1.8 |
С20:0 | 90 0.3 | 13 0.6 | <10 0.5 | 201 1.0 |
С22:0 | 162 0.6 | 35 1.7 | 21 1.0 | 323 1.7 |
С24:0 | 135 0.5 | 14 0.6 | 27 1.2 | 193 1.0 |
С16:1(9) | 923 3.6 | <10 0.5 | <10 0.5 | 42 0.2 |
С18:1(9) | 150 0.6 | 42 2.1 | 24 1.1 | 319 1.6 |
С18:2(9, 12) | 2668 10.3 | 846 41.0 | 928 43.1 | 7817 39.9 |
С18:3(9, 12, 15) | 16008 61.7 | 485 23.5 | 610 28.4 | 6349 32.4 |
∑SFA | 6195 23.9 | 680 32.9 | 579 26.9 | 5063 25.9 |
∑ UFA | 19749 76.1 | 1383 67.1 | 1572 73.1 | 14527 74.1 |
∑ FA | 25944 | 2063 | 2151 | 19590 |
UFA / SFA | 3.2 | 2.0 | 2.7 | 2.9 |
SDR | 0.35 | 0.15 | 0.14 | 0.47 |
ODR | 0.99 | 0.97 | 0.98 | 0.98 |
LDR | 0.86 | 0.36 | 0.40 | 0.45 |
Примечание: ∑ FA – сумма жирных кислот (ЖК); ∑ SFA – сумма насыщенных ЖК; ∑ UFA – сумма ненасыщенных ЖК. В числителе – мкг/г сухой массы, в знаменателе – % от суммы ЖК. SDR – соотношение стеароил-десатуразы; ODR – соотношение олеоил-десатуразы; LDR – соотношение линолеоил-десатуразы.
В таблице указаны средние арифметические значения. Погрешность измерения содержания кислот для доверительной вероятности P = 0.95 составляет 10–15%.
Note: ∑ FA – total fatty acids (FA); ∑ SFA – total saturated FA; ∑ UFA – total unsaturated FA. In numerators – μg/g DW, in denominators – % of the total FA. SDR – stearoyl-desaturase ratio; ODR – oleoyl-desaturase ratio; LDR – linoleyl-desaturase ratio.
The table shows mean values. The error of acid content measurement for confidence probability P = 0.95 is 10–15%.
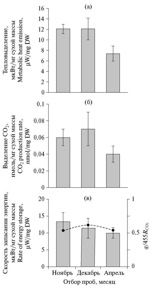
Калориметрические определения количества запасаемой энергии в почках H. triphyllum, находящихся в состоянии вынужденного покоя, показали, что в период ноябрь–декабрь меристематические ткани почек характеризовались интенсивным метаболизмом. Количество запасаемой энергии в почках H. triphyllum в зимний период составляло в среднем около 14 мкВт/мг сухой массы, в конце апреля количество запасаемой энергии снизилось до 10–12 мкВт/мг сухой массы (рис. 2в). В осенне-зимний период (ноябрь, декабрь) интенсивность дыхания почек возобновления при температуре 20°C составляла 0.06–0.07 нмоль/мг сухой массы (или 9–11 мг СО2 /г сухой массы в час) (рис. 2б). В целом в зимний период (декабрь) почки характеризовались повышенной скоростью тепловыделения и дыхания (рис. 2а, б).
Рис. 2. Интенсивность метаболического тепловыделения (а), дыхания (б), скорости запасания энергии (в) и q/455Rco2 ( -●-) в почках возобновления Hylotelephium triphyllum.
Fig. 2. The intensity of metabolic heat emission (а), respiration (б), rate of energy storage (в), and q/455Rco2 ( -●-) in renewable buds of Hylotelephium triphyllum.
On the graph horizontally – sampling time, month: November, December, April.
ОБСУЖДЕНИЕ
Почки возобновления многолетние растения умеренного и холодного климата ежегодно образуют в конце вегетационного периода. С сокращением длины дня и снижением температуры воздуха они переходят в состояние вынужденного или глубокого покоя. При прерывании вынужденного покоя рост многолетников возобновляется при температуре не ниже 20°C (Heide, 2001; Golovko et al., 2007). Многими авторами показано, что состояние как глубокого, так и вынужденного покоя сопровождается комплексом структурных и функциональных перестроек, обеспечивающих сохранение почек возобновления в осенне-зимний период (Sakai, 1979; Tumanov, 1979; Feurtado et al., 2004; Duan et al., 2007).
Сформированные в процессе вегетации почки возобновления H. triphyllum характеризуются в осенне-зимний период (период вынужденного покоя) небольшим количеством фотосинтетических пигментов, причем соотношение хл. а/хл. b близко к 1, что свидетельствует о несформированности фотосинтетического аппарата. Содержание пигментов в зимующих почках до начала марта изменяется незначительно (см. табл. 1). Вероятно, это связано с тем, что растения в это время находятся в состоянии вынужденного покоя, выход из которого сдерживается низкими температурами. Весной (апрель) содержание хлорофиллов составляет 0.311 мг/г сухой массы, что более чем в 2 раза больше, чем в осенне-зимний период. Причем в большей степени происходит увеличение фонда хл. а, чем хл. b, что отражает становление фотосистем и увеличение числа реакционных центров в процессе формирования фотосинтетического аппарата. Подобная закономерность ранее отмечалась и для почек корневищных растений (Maslova et al., 2019). Содержание каротиноидов в еще не развернувшихся почках увеличилось весной, по сравнению с зимним периодом, почти в 2 раза. Вероятно, это связано с тем, что каротиноиды участвуют в сборке трубчатых элементов проламеллярных тел в этиопластах, что способствует быстрому зеленению почек при увеличении интенсивности света (Cuttriss et al., 2007). Кроме того, каротиноиды являются важными составляющими комплексной системы защитных механизмов, которые помогают избегать фотоингибирования в условиях высокой инсоляции (Oguist, Huner, 2003; Maslova et al., 2009а), что позволяет в определенной степени защитить формирующийся фотосинтетический аппарат от деструкции высокой инсоляцией, характерной в весенний период.
Выделение тепла клетками – интегральный показатель активности метаболизма. Источниками тепловой диссипации в биологическом объекте являются в совокупности все метаболические процессы, главный из которых – дыхание. Известно, что до 90% метаболического тепла образуется в процессе дыхания (Zholkevich, 1968; Hopkin, 1991). Сведения о тепловыделении почек возобновления в основном относятся к древесным растениям (Gardea et al., 2000; Barigah et al., 2013; Malyshev et al., 2016). В немногочисленных работах по тепловыделению многолетних травянистых растений (Maslova et al., 2009b; Maslova, Malyshev, 2016; Maslova et al., 2022) показана характерная для верхушек корневищ Achillea millefolium и Mentha arvensis высокая теплопродукция. Калориметрическое определение теплопродукции почек возобновления H. triphyllum показало, что в период вынужденного покоя (ноябрь, декабрь) тепловыделение составляло около 12 мкВт/мг сухой массы (см.рис. 2), что почти в 2 раза меньше, чем у этиолированных верхушек корневищ A. millefolium в летний период (Maslova et al., 2019). Весной почки возобновления H. triphyllum характеризовались снижением скорости тепловыделения и уменьшением количества запасенной энергии (см. рис. 2), используемой на формирование фотосинтетического аппарата и рост побегов. Расчет отношения q /455RCO2 показал, что независимо от сезона года в почках H. triphyllum доля запасаемой энергии от образованной при дыхании составляет около 40%. В осенне-зимний период (ноябрь, декабрь) по сравнению с периодом плодоношения в августе (Golovko et al., 2007) почки возобновления отличаются сравнительно высокой интенсивностью дыхания (см. рис. 2а, б), что может свидетельствовать об отсутствии глубокого покоя и низкой морозоустойчивости тканей. Таким образом, нами показана прямая связь между интенсивностью дыхания, тепловыделением и запасанием энергии в почках возобновления H. triphyllum, что характерно для растений со сбалансированным метаболизмом (Hansen et al., 1994, 1995; Smith et al., 1996).
Подготовка к перезимовке в осенний период сопровождается образованием ряда соединений, необходимых для сохранения клеточных структур при действии низких температур (Alaudinova et al., 2007; 2010). К числу таких соединений относятся низкомолекулярные углеводы. Выполняя энергетическую функцию, они играют главную роль во многих процессах жизнедеятельности фотосинтезирующих растений и рассматриваются как важные сигнальные молекулы, регулирующие метаболизм и развитие растений. В качестве криопротекторов низкомолекулярные углеводы во многом обуславливают устойчивость растений к низким температурам (Trunova, 2007; Markovskaya et al., 2013; Deryabin, Trunova, 2022). В нашем исследовании показано, что растения H. triphyllum характеризуются относительно невысоким содержанием сахаров. Так, в фазу плодоношения в листьях количество углеводов составляло около 100 мг/г сухой массы (Golovko et al., 2021), а в почках возобновления в начале сентября их содержание не превышало 60 мг/г сухой массы. В осеннее-зимний период наблюдается постепенное увеличение содержания низкомолекулярных углеводов (см. табл. 2). На стадии вынужденного покоя почки H. triphyllum содержали около 90 мг/г сухой массы растворимых углеводов, в основном в форме моносахаридов, что значительно меньше, чем в озимых злаковых культурах пшеницы, ржи, ячменя, тритикале (Kolupaev et al., 2015; Deryabin, Trunova, 2022) и в корневищах A. millefolium (Maslova et al., 2015). Весной (апрель) происходило значительное снижение (более чем в 2 раза) по сравнению с декабрем содержания водорастворимых углеводов, что свидетельствует о происходящих интенсивных ростовых процессах. Нами установлена прямая корреляция между содержанием углеводов и интенсивностью дыхания в почках возобновления H. triphyllum.
Известно, что снижение температуры приводит к уменьшению текучести клеточных мембран (Vereshchagin, 2007; Los et al., 2013; Berestovoy et al., 2019). Для поддержания определенного уровня их текучести необходимы ненасыщенные жирные кислоты (Los et al., 2013; Berestovoy et al., 2019). Как показал анализ жирнокислотного состава почек возобновления H. triphyllum, 76% суммы всех жирных кислот приходилось на ненасыщенные кислоты, в основном на линолевую (С18:2) и линоленовую (С18:3) (см. табл. 3). Более высокое содержание ненасыщенных жирных кислот при снижении температуры (середина сентября) связано с тем, что ненасыщенные жирные кислоты имеют более низкую температуру плавления и содержащие их фосфолипиды остаются жидкими при низких положительных температурах. Эти результаты согласуются с данными, которые показали, что рост уровня линолената всегда коррелирует с закаливанием (Vereshchagin, 2007; Naraykina et al., 2020). Набухание почек в конце апреля сопровождалось увеличением содержания (до 20%) насыщенных жирных кислот, особенно пальмитиновой (С16 : 0), что свидетельствует об активизации их синтеза при пробуждении почек. Кроме того, отмечалось увеличение содержания ненасыщенных жирных кислот в основном за счет линолевой и линоленовой кислот, которые являются необходимыми компонентами мембран хлоропластов и способствуют формированию фотосинтетического аппарата (Los et al., 2013; Markovskaya et al., 2013). Увеличение содержания жирных кислот совпадало с весенним максимумом содержания хлорофиллов и каротиноидов.
В растениях вода составляет до 90% массы. Одним из свойств воды является ее способность к переохлаждению, т. е. к охлаждению до температуры ниже температуры кристаллизации в естественных условиях, что играет важную роль для формирования криорезистентности в процессе подготовки растения к неблагоприятному зимнему периоду. Существуют представления о разных механизмах морозостойкости у зимующих травянистых многолетников, кустарников и древесных растений, связанные с состоянием воды в клетках (Trunova, 2007). Оводненность тканей – величина не постоянная, изменяется в течение времени и под действием факторов среды. У древесных растений в период глубокого покоя содержание воды в почках не превышает 50% (Mironov et al., 2001; Alaudinova et al., 2007), что позволяет обеспечивать их устойчивость к температурам до −35°C. Температура замерзания воды в тканях растений находится в диапазоне от −4 до −15°C (Malyshev, Atoyan, 2018; Dal'ke et al., 2019). Столь широкий диапазон замерзания воды в растительных тканях связан как со способностью воды к переохлаждению, так и c наличием в тканях инициаторов льдообразования и криопротекторов. Для клеток меристем почек хвойных растений была показана положительная корреляция между концентрацией растворимых веществ в цитоплазме и количеством незамерзающей воды (Alaudinova et al., 2010). Низкая температура замерзания воды существенно увеличивает диапазон времени постепенного и безопасного обезвоживания клеток в процессе закаливания и формирования криорезистентности (Mironov, Levin, 1985; Alaudinova, et al., 2007; Mironov et al., 2017). У зимующих злаковых растений морозостойкость связана с водоудерживающей способностью клеток, они чувствительны к обезвоживанию при отрицательных температурах (Trunova, 2007). В целом для растительных тканей и органов, не защищенных от воздействия низкой отрицательной температуры (например, снеговым покровом), температура кристаллизации воды в тканях приобретает особое значение в период подготовки растения к зиме.
Изменение оводненности тканей растений в процессе закаливания неминуемо сопряжено с изменением фракционного состава воды. Соотношение фракций свободной и связанной воды в растении не постоянно. Увеличение доли связанной воды в тканях к моменту наступления неблагоприятного периода способствует сохранению функциональной целостности биологических структур (Gusev, 1974; Mironov et al., 2001; Trunova, 2007). Следовательно, негативное воздействие низких отрицательных температур в значительной степени зависит не только от оводненности тканей растений, но и от соотношения фракций свободной и связанной воды.
Hylotelephium triphyllum – листовой суккулент, содержание воды в функционально зрелых листьях которого в фазу вегетативного роста составляет в среднем 90–92% (Golovko et al., 2021). Высокой оводненностью характеризуются и почки возобновления: в среднем она составляет около 80% (см. табл. 2), что близко к оводненности верхушек корневищ A. millefolium и почек возобновления у Heracleum sosnowskyi (Maslova et al., 2015; Dal'ke et al., 2019) и значительно больше, чем в почках зимующих древесных растений (Alaudinova et al., 2007; Malyshev, Atoyan, 2018). Основными причинами гибели клетки при низких отрицательных температурах является льдообразование, в результате чего происходит обезвоживание клеток, денатурация белков и механическое повреждение клеточных структур кристаллами льда (Levitt, 1980; Charra-Vaskou et al., 2015). В почках возобновления H. triphyllum доля воды, которая переходила в кристаллическое состояние, варьировала от 73 до 99%. Причем максимальная доля свободной воды наблюдалась в летний и весенний периоды. В сентябре до наступления отрицательных температур доля свободной воды в почках возобновления составляла 89% при максимальном содержании жирных кислот в основном за счет высокой активности линолеил-десатураз (LDR) и накоплении линоленовой кислоты (см. табл. 3). Биосинтез линоленовой кислоты, по мнению А.Г. Верещагина (Vereshchagin, 2007), служит необходимым компонентом процесса криозакаливания тканей. Увеличение содержания линоленовой кислоты обеспечивает поддержку текучести мембран и понижает восприимчивость растений к холоду (Shi et al., 2018). В состоянии вынужденного покоя (ноябрь–декабрь) доля свободной воды в почках уменьшалась (см. табл. 2), что обусловлено ростом концентрации сахаров, связывающих значительное количество воды и, соответственно, снижением температуры замерзания, что в целом оказывает защитное действие на сохранность почек возобновления при низких температурах. Отмечена высокая отрицательная (−0.95) корреляция между долей свободной воды и содержанием в почках H. triphyllum растворимых углеводов и положительная корреляция между долей свободной воды и содержанием в почках суммы жирных кислот.
Данные дифференциальной сканирующей калориметрии свидетельствуют, что в почках возобновления H. triphyllum температура перехода вода–лед в отличие от верхушек корневищ A. millefolium (Maslova et al., 2022) определялась временем года. В конце летнего периода (август) фазовый переход происходит при температуре около −6.0°C, весной (апрель) при −4.7°C, но при этом в обоих случаях замерзает около 99% свободной воды. Это свидетельствует о возможности сильного повреждения почек возобновления при ранних осенних и поздних весенних заморозках. Несмотря на то что с установлением отрицательных температур воздуха в ноябре–декабре оводненность почек снижалась, доля свободной воды составляла значительную величину (см. табл. 3), что в целом может влиять на жизнеспособность популяции. Можно полагать, что почки возобновления H. triphyllum, характеризующиеся высокой оводненностью тканей и отсутствием глубокого покоя, обладают слабой морозоустойчивостью. Ранее сходная закономерность была установлена на почках возобновления лука порея и борщевика Сосновского (Palkin et al., 2017; Chadin et al., 2018; Dal'ke et al., 2019).
В районе проведенных нами исследований в годовой динамике температур четко выражен продолжительный холодный период, когда активная жизнедеятельность растений невозможна (октябрь–апрель). Важным фактором выживания многолетних травянистых растений в зимний период является высота снежного покрова, которая определяет температуру в верхних слоях почвы, где располагаются почки возобновления. Как показали исследования, при высоте снежного покрова более 10 см температура почвы на глубине 15 см колебалась около −1°C и лишь изредка опускалась до −3°C (Dal'ke et al., 2019), т.е. оставалась выше температуры замерзания свободной воды. Следовательно, при высоких оводненности и доле свободной воды наличие устойчивого снежного покрова предотвращает вымерзание почек возобновления H. triphyllum, тем самым способствуя сохранению ценопопуляции этих суккулентов.
Таким образом, для почек возобновления H. triphyllum характерно отсутствие в течение осенне-зимнего периода глубокого органического покоя, о чем свидетельствует сравнительно высокая интенсивность дыхания, оводненность и высокое (до 90%) содержание в них свободной воды. Подготовка к перезимовке (сентябрь) почек возобновления H. triphyllum сопровождается активным биосинтезом линоленовой кислоты, снижением интенсивности дыхания и увеличением скорости запасания энергии при высоких значениях оводненности и доли свободной воды в них. Показана прямая связь между интенсивностью дыхания, тепловыделением и запасанием энергии. С наступлением отрицательных температур растение H. triphyllum переходит в состояние вынужденного покоя, при этом отмечаются небольшое снижение общей оводненности почек и доли в них свободной воды, накопление растворимых сахаров. В период отрицательных температур (с декабря по начало марта) наблюдается снижение активности десатураз (SDR и LDR) и, как следствие, уменьшение содержания жирных кислот, особенно линоленовой. Весной в процессе формирования фотосинтетического аппарата почек возобновления отмечалось снижение скорости тепловыделения и количества запасенной энергии. Набухание почек сопровождалось увеличением содержания жирных кислот, что свидетельствует об активизации их синтеза, и совпадало с весенним максимумом содержания хлорофиллов и каротиноидов. Общая оводненность составила около 75%, доля воды, переходящей в кристаллическое состояние, была более 99%. Температура фазового перехода вода–лед составила –4.7°C. Это значение температуры, видимо, является предельной минимальной температурой, при которой происходят необратимые повреждения клеточных структур. Высокая оводненность почек возобновления H. triphyllum способствует поддержанию метаболических процессов и, как следствие, реализации морфофизиологических и структурных перестроек в них, но при этом существенно повышает риск повреждения отрицательными температурами в малоснежные зимы.
БЛАГОДАРНОСТИ
Работа выполнена в рамках темы госбюджетных НИОКТР “Фотосинтез, дыхание и биоэнергетика растений и фототрофных организмов (физиолого-биохимические, молекулярно-генетические и экологические аспекты)” (регистрационный номер 122040600021-4).
About the authors
G. N. Tabalenkova
Institute of Biology, Komi Scientific Center of the Ural Branch of RAS
Email: malrus@ib.komisc.ru
Russian Federation, Kommunisticheskaya Str., 28, Syktyvkar, 167000
R. V. Malyshev
Institute of Biology, Komi Scientific Center of the Ural Branch of RAS
Author for correspondence.
Email: malrus@ib.komisc.ru
Russian Federation, Kommunisticheskaya Str., 28, Syktyvkar, 167000
M. S. Atoyan
Institute of Biology, Komi Scientific Center of the Ural Branch of RAS
Email: malrus@ib.komisc.ru
Russian Federation, Kommunisticheskaya Str., 28, Syktyvkar, 167000
References
- Alaudinova E.V., Simkina S.Yu., Mironov P.V. 2007. Sezonnye izmeneniya soderzhaniya vody v meristimaticheskikh tkanyakh pochek Picea obovata L. i Pinus sylvestris L. i eyo raspredelenie v kletkakh. – Khvoynye boreal'noy zony. [Seasonal changes in water content in the meristimatic tissues of the buds of Picea obovata L. and Pinus sylvestris L. and its distribution in the cells. – Conifers of the boreal zone]. XXIV. 4–5: 487–491 (In Russ.).
- Alaudinova E.V., Simkina S.YU., Mironov P.V. 2010. Vodorastvorimye veshhestva meristem pochek Picea obovata L. i Pinus sylvestris L.: soderzhanie, sostav i svojstva pri formirovanii sostoyaniya nizkotemperaturnoj ustojchivosti. [Water-soluble substances of the bud meristems of Picea obovata L. and Pinus sylvestris L.: content, composition and properties in the formation of a state of low-temperature resistance]. – Sibirskiy Ekologicheskiy Zhurnal. 2: 227–333 (In Russ.).
- Babak T.V. 2011. Distribution and life forms of species of the family Crassulaceae in the European Northeast. – Bot. Zhurn. 7: 869–880 (In Russ.).
- Berestovoj M.A., Pavlenko O.S., Goldenkova-Pavlova I.V. 2019. Desaturazy zhirnykh kislot rasteniy: rol' v zhiznedeyatel'nosti rasteniy i biotekhnologicheskiy potentsial [Plant fatty acid desaturases: a role in plant life and biotechnological potential]. – Uspekhi sovremennoy biologii. 139(4): 338–351 (In Russ.). https://doi.org/10.1134/S0042132419040045
- Bradford M.M. 1976. A rapid and sensitive method for the quantitation of microgram quantities of protein utilizing the principle of protein-dye binding. – Analytical Biochemistry. 72(1–2): 248.
- Chadin I.F., Dal'ke I.V., Malyshev R.V. 2018. Assessment of the frost resistance of Sosnowskyi hogweed (Heracleum sosnowskyi Manden.) after removing snow cover in early spring. – Rossiyskiy zhurnal biologicheskikh invaziy. 4: 105–116 (In Russ.).
- Charra-Vaskou K., Badel E., Charrier G., Ponomarenko A., Bonhomme M., Foucat L. et al., 2015. Cavitation and water fluxes driven by ice water potential in Juglans regia during freeze-thaw cycles. – J. Exp. Bot. 67: 739–750.
- Cuttriss A.J., Chubb A.C., Alawady A., Grimm B., Pogson B.J. 2007. Regulation of lutein biosynthesis and prolamellar body formation in Arabidopsis. – Funct. Plant Biol. 34: 663–72. https://doi.org/10.1071/FP07034
- Dal'ke I.V., Chadin I.F., Malyshev R.V., Zakhozhij I.G. Tishin D.V., Kharevskij A.A., Solod E.G. Shajkina M.N., Popova M.YU., Polyudchenkov I.P., Tagunova I.I., Lyazev P.A., Belyaeva A.V. 2019. Frost resistance of Sosnowsky hogweed based on the results of laboratory and field experiments. – Rossiyskiy zhurnal biologicheskikh invaziy. 4: 12–25 (In Russ.).
- Deryabin A.N., Trunova T.I. 2022. Colligative effects of low-molecular sugar solutions and their role in plants under hypothermia. – Izvestiya RAN. Seriya biologicheskaya. 1: 26–36 (In Russ.). https://doi.org/10.31857/S1026347021060044
- Dodueva I.E., Tvorogova V.E., Azarakhsh M., Lebedeva M.A., Lutova L.A. 2016. Stvolovye kletki rasteniy: edinstvo i mnogoobrazie [Plant stem cells: unity and diversity]. – Vavilovskiy zhurnal genetiki i selektsii. 20(4): 441–458 (In Russ.). https://doi.org/10.18699/VJ16.172
- Duan B., Yang Y., Lu Y., Li C., Korpelainen H., Berninger F. 2007. Interactions between water deficit, ABA, and provenances in Picea asperata. – Journal of Experimental Botany. 58: 302–305.
- Feurtado J.A., Ambrose S.J., Cutler A.J., Ross A.R.S., Abrams S.R., Kermode A.R. 2004. Dormancy termination of western white pine (Pinus monticola DOUGL. Ex D. Don) seeds is associated with changes in abscisic acid metabolism. – Planta. 218: 630–639.
- Gardea A.A., Carvajal-Millan E., Orozco J.A. Guerrero V.M., Llamas J. 2000. Effect of chilling on calorimetric responses of dormant vegetative apple buds. – Thermochimica Acta. 349(1–2): 89–94. https://doi.org/10.1016/S0040-6031(99)00500-6
- Golovkin B.A. 1973. Pereselenie travyanistykh mnogoletnikov na Polyarnyy Sever. [Relocation of herbaceous perennials to the Polar North]. Leningrad. 266 p. (In Russ.).
- Golovko T.K., Dal'ke I.V., Bacharov D.S., Babak T.V., Zakhozhij I.G. 2007. Tolstyankovye v kholodnom klimate. [Plant respiration. Physiological aspects] St. Petersburg. 205 p. (In Russ.).
- Golovko T.K., Dal'ke I.V., Bacharov D.S. 2008. Mesostructure and activity of the photosynthetic apparatus of three species of sem plants. Crassulaceae in cold climates. – Fiziologiya rasteniy. 55(5): 671–680 (In Russ.).
- Golovko T.K., Zakhozhij I.G., Tabalenkova G.N. 2021. Induction of CAM photosynthesis in Hylotelephium triphyllum (Haw.) Holub (Crassulaceae) under conditions of the European Northeast. – Fiziologiya rasteniy. 68(1): 93–102 (In Russ.). https://doi.org/10.31857/s0015330320060044
- Graskova I.A., Dudareva L.V., ZHivet'ev M.A., Stolbikova A.V., Sokolova N.A., Vojnikov V.K. 2011. Dinamika sezonnykh izmeneniy zhirnokislotnogo sostava, stepeni nenasyshhennosti zhirnykh kislot i aktivnosti atsil-lipidnykh desaturaz v tkanyakh nekotorykh lekarstvennykh rasteniy, proizrastayushchikh v usloviyakh Predbajkal'ya. [Dynamics of seasonal changes in fatty acid composition, the degree of unsaturation of fatty acids and the activity of acyl-lipid desaturases in the tissues of some medicinal plants growing in the conditions of Cisbaikalia]. – Khimiya rastitel'nogo syr'ya. 4: 223–230 (In Russ.).
- Gusev N.A. 1974. Sostoyanie vody v rasteniyakh [Water condition in plants]. Moscow. 134 p. (In Russ.).
- Hansen LD., Hopkin M.S., Rank D.R., Anekonda T.S., Breidenbach W.R., Criddle R.S. 1994. The relation between plant growth and respiration: A thermodynamic model. – Planta. 194: 77–85.
- Hansen L.D., Hopkim M.S., Taylor D.K., Anekonda T.S., Rank D.R., Breidenbach R.W., Criddle R.S. 1995. Plant calorimetry. Part 2. Modeling the differences between apples and oranges. – Thermochimica Acta. 250(2): 215–232.
- Heide O.M. 2001. Photoperiodic control of dormancy in Sedum triphyllum and some other herbaceous perennial plants. – Physiologia Plantarum. 113(3): 332–337. https://doi.org/10.1034/j.1399-3054
- Hopkin M.S. Calorimetric Studies of Plant Physiology. 1991. Rh. D. Dissertation. Provo. 90 p.
- Kolupaev Yu.V., Ryabchuk N.I., Vajner A.A., YAstreb T.O., Oboznyj A.I. 2015. Aktivnost' antioksidantnykh fermentov i soderzhanie osmolitov v prorostkakh ozimykh zlakov pri zakalivanii i kriostresse [Activity of antioxidant enzymes and osmolyte content in winter cereal seedlings during hardening and cryostress]. – Fiziologiya rasteniy. 62(4): 533–541 (In Russ.). https://doi.org/10.7868/s0015330315030112
- Laux T., Mayer K.F.X., Berger J., Jurgens G. 1996. The WUSCHEL gene is required for shoot and floral meristem integrity in Arabidopsis. – Development. 122: 87–96. https://doi.org/10.1242/dev.122.1.87
- Lelekova E.V., Shakleina M.N., Savinykh N.P. 2020. Sprouting in Selene tatarica (Caryophyllaceae) on the sandbanks of the Vyatka River. – Bot. Zhurn. 105(7): 697–704 (In Russ.). https://doi.org/10.31857/s0006813620070066
- Levitt J. 1980. Responses of Plants to Environmental Stresses. Vol. 1: Chilling, Freezing, and High Temperature Stresses. – New York. 497 p.
- Li-Beisson Y., Nakamura Y., Harwood J. 2016. Lipids: from chemical structures, biosynthesis, and analyses to industrial applications. – Lipids in Plant and Algae Development. 1: 1–18. https://doi.org/10.1007/978-3-319-25979-6_1
- Los D.A., Mironov K.S., Allakhverdiev S.I. 2013. Regulatory role of membrane fluidity in gene expression and physiological functions. – PhotosynthResearch. 2–3(116): 489–509. https://doi.org/10.1007/S11120-013-9823-4
- Los' D.A. 2014. Desaturazy zhirnykh kislot [Fatty acid desaturases]. – Nauchnyy mir. P. 18–30 (In Russ.).
- Lotova L.I. 2000. Morfologiya i anatomiya vysshikh rasteniy [Morphology and anatomy of higher plants]. Moscow. 528 p. (In Russ.).
- Malyshev R.V., Shelyakin M.A., Golovko T.K. 2016. Narushenie pokoya pochek vliyaet na dykhanie i ehnergeticheskiy balans pobegov cherniki obyknovennoy na nachal'nom etape rosta [Impaired kidney dormancy affects respiration and energy balance of common blueberry shoots during initial growth]. – Fiziologiya rasteniy. 63(3): 434–442 (In Russ.). https://doi.org/10.7868/S001533031603009X
- Malyshev R.V., Atoyan M.S. 2018. Ovodnennost' i temperatura fazovogo perekhoda voda–lyod v pochkakh drevesnykh rasteniy [Water content and temperature of the water-ice phase transition in the buds of woody plants]. – Vestnik IB NTS UrO RAN. 2: 2–7 (In Russ.). https://doi.org/10.31140/j.vestnikib
- Malyshev R.V. 2021. Opredelenie svobodnoy i svyazannoy vody v rastitel'nykh tkanyakh s razlichnym osmoticheskim davleniem, sravnitel'nyy analiz metoda vysushivaniya nad vodootnimayushhey sredoy i differentsial'noy skaniruyushchey kalorimetrii [Determination of free and bound water in plant tissues with different osmotic pressure, comparative analysis of the method of drying over a water-removing medium and differential scanning calorimetry]. – Uspekhi sovremennoy biologii. 141(2): 64–171 (In Russ.). https://doi.org/10.31857/s004213242102006X
- Markovskaya E.F., Sysoeva M.I., SHerudilo E.G. 2013. Kratkovremennaya gipotermiya i rastenie [Short-term hypothermia and plant]. Petrozavodsk. 194 p. (In Russ.).
- Maslova T.G., Mamushina N.S., Sherstneva O.A. 2009a. Strukturno-funktsional'nye izmeneniya fotosinteticheskogo apparata u zimnevegetiruyushhikh khvojnykh rastenij v razlichnye sezony goda [Structural and functional changes in the photosynthetic apparatus in winter-growing coniferous plants in different seasons of the year]. – Fiziologiya rasteniy. 56(5): 672–681 (In Russ.).
- Maslova S.P., Malyshev R.V., Golovko T.K. 2009b. Respiration and growth of two rhizomatous herbaceous perennials with different type of ecological strategy. – Bot. Zhurn. 95(4): 581–591 (In Russ.).
- Maslova S.P., Tabalenkova G.N., Plyusnina S.N., Golovko T.K. 2015. Morfologiya i ekologiya podzemnogo metamernogo kompleksa dlinnokornevishchnykh rasteniy [Morphology and ecology of the underground metameric complex of long-rhizome plants]. Moscow. 158 p. (In Russ.).
- Maslova S.P., Malyshev R.V. 2016. Structure and functions of rhizomes Mentha arvensis (Lamiaceae). – Bot. Zhurn. 101(10): 1201–1212 (In Russ.). https://doi.org/10.1134/S0006813616100057
- Maslova S.P., Golovko T.K. 2017. Tropizmy podzemnykh pobegov, stolonov i kornevishch [Tropisms of underground shoots and rhizomes]. – Zhurnal obshhey biologii. 7(2): 47–60 (In Russ.).
- Maslova S.P., Dymova O.V., Plyusnina S.N. 2019. Changes in the ultrastructure of plastids and the pigment complex during the morphogenesis of underground shoots of Achillea millefolium (Asteraceae). – Bot. Zhurn. 104(11–12): 1727–1739 (In Russ.). https://doi.org/10/1134/s0006813619110127
- Maslova S.P., Shelyakin M.A., Silina E.V., Malyshev R.V. 2022. Dykhanie, zapasanie energii i pro/antioksidantnyy metabolizm v verkhushke podzemnogo pobega Achillea millefolium v protsesse fotomorfogeneza [Respiration, energy storage and pro/antioxidant metabolism in the apex of underground shoots of Achillea millefolium during photomorphogenesis]. – Fiziologiya rasteniy. 69(6): 665–674 (In Russ.). https://doi.org/10.31857/s0015330322060203
- Mihovich Zh.Eh., Punegov V.V., Gruzdev I.V., Ruban G.A., Zajnullina K.S. 2017. Biokhimicheskaya kharakteristika rasteniy sverbigi vostochnoy (Bunias orientalis L.) pri kul'tivirovanii na Severe [Biochemical characteristics of eastern sverbigi plants (Bunias orientalis L.) during cultivation in the North]. – Izvestiya Samarskogo nauchnogo tsentra RAN. 19(2–3): 478–481 (In Russ.).
- Mironov P.V., Alaudinova E.V., Repyakh S.M. 2001. Nizkotemperaturnaya ustoychivost' zhivykh tkaney khvoynykh [Low-temperature stability of living tissues of conifers]. Krasnoyarsk. 221 p. (In Russ.).
- Mironov P.V., Levin E.D. 1985. Pereokhlazhdenie i obezvozhivanie khvoynykh zachatkov v zimuyushchikh pochkakh listvennitsy sibirskoy [Supercooling and dehydration of conifers in wintering Siberian larch buds]. – Fiziologiya rasteniy. 32(4): 695–701 (In Russ.).
- Mironov P.V., Alaudinova E.V., Loskutov S.R. 2017. Nizkotemperaturnaya ustoychivost' tkaney meristem pochek khvoynykh: osobennosti raspredeleniya svyazannoy vody v kletkakh [Low-temperature resistance of tissues of coniferous kidney meristems: distribution features of bound water in cells]. – Khvoynye boreal'noy zony. 35(1–2): 117–122 (In Russ.).
- Narajkina N.I., Pchelkin V.P., Tsydendambaev V.D., Trunova T.I. 2020. Izmenenie v zhirnokislotnom sostave i v soderzhanii lipidov list'ev kartofelya pri nizkotemperaturnom zakalivanii: rol' Δ12 –atsil-lipidnoj desaturazy [Changes in the fatty acid composition and lipid content of potato leaves during low-temperature hardening: the role of Δ12-acyl-lipid desaturase]. – Fiziologiya rasteniy. 47(2): 149–156 (In Russ.). https://doi.org/10.31857/s0015330320020116
- Nokhsorov V.V., Dudareva L.V., Chepalov V.A., Sofronova V.E., Verkhoturov V.V., Perk A.A., Petrov K.A. 2015. Svobodnye zhirnye kisloty i adaptatsiya organizmov k kholodnomu klimatu Yakutii [Free fatty acids and adaptation of organisms to the cold climate of Yakutia]. – Vestnik BGSKHA im. V.R. Filippova. 38(1): 127–134 (In Russ.).
- Oguist G., Huner N.P.A. 2003. Photosynthesis of Overwintering Evergreen Plants. – Annu. Rev. Plant Biol. 54: 329–55. https://doi.org/10.1146/annurev.arplant.54.072402.115741
- Palkin Yu.F., Mokshonova I.M., Rodchenko M.N. 2017. Morozoustoychivost' luka-poreya Vostochnoy Sibiri [Frost resistance of leeks in Eastern Siberia]. – Vestnik Rossiyskoy sel'skokhozyaystvennoy nauki. 4: 23–24 (In Russ.).
- Polyushkevich L.O., Gancheva M.S., Dodueva I.E., Lutova L.A. 2020. Receptors of CLE peptides in plants. – Russian Journal of Plant Physiology. 67(1): 3–19. https://doi.org/10.1134/S1021443720010288
- Shanklin J., Cahoon E.B. 1998. Desaturation and related modification of fatty acids. – Annu. Rev. Plant Physiol. Plant Mol. Biol. 49: 611–641. https://doi.org/10.1146/annurev.arplant
- Sakai A. 1979. Freezing avoidance mechanism of primordial shoots of conifer buds. – Plant and Cell Phisiol. 20(7): 1381–1390.
- Serebryakova T.I., Voronin N.S., Elenevskij A.G., Batygina T.B., Shorina N.I., Savinykh N.P. 2006. Botanika s osnovami fitotsenologii: Anatomiya i morfologiya rasteniy [Botany with the basics of phytocenology: anatomy and plant morphology]. – Ucheb. dlya vuzov. Moscow. 543 p. (In Russ.).
- Shlyk A.A. 1971. Opredelenie khlorofillov i karotinoidov v ekstraktakh zelenykh list'ev [Determination of chlorophylls and carotenoids in green leaf extracts]. – Biokhimicheskie metody v fiziologii rasteniy. Moscow. P. 154–170 (In Russ.).
- Smit B.N., Monako T.A., Hemming D.B., Hansen L.D., Kridll R.S. 1996. Svyaz' dykhaniya i skorosti rosta u rasteniy bol'shogo basseyna SSHA [Association of respiration and growth rate of large basin plants SSHA]. – Fiziologiya rasteniy. 43(6): 821–825 (In Russ.).
- Shi Y., Yue X., An L. 2018. Integrated regulation triggered by a cryophyte ω-3 desaturase dene confers multiple-stress tolerance tobacco. – J. Exp. Bot. 69(8): 2131–2148. https://doi.org/10.1093/jxb/ery050
- Sofronova G.I., Trubino G.I., SHreders S.M., Makarevskij M.F. 1978. K metodike kolichestvennogo opredeleniya uglevodov v vegetativnykh organakh sosny. Fiziologo-biokhimicheskie issledovaniya sosny na Severe. [Towards a method for the quantitative determination of carbohydrates in the vegetative organs of pine. – Physiological and biochemical studies of pine in the North]. Petrozavodsk. P. 119–133 (In Russ.).
- Tikhomirov B.A. 1963. Ocherki po biologii rasteniy Arktiki. [Essays on Arctic plant biology]. Moscow; Leningrad. 125 p. (In Russ.).
- Trunova T.I. 2007. Rastenie i nizkotemperaturnyy stress [Plant and low temperature stress]. Moscow. 54 p. (In Russ.).
- Tumanov I.I. 1979. Fiziologiya zakalivaniya i morozostoykosti rasteniy [Physiology of hardening and frost resistance of plants]. Moscow. 352 p. (In Russ.).
- Vereshchagin A.G. 2007. Lipidy v zhizni rasteniy [Lipids in plant life]. Moscow. 78 p. (In Russ.).
- Voitsekhovskaja O.V. 2019. Phytochromes and Other (Photo) Receptors of Information in Plants. – Russ. J. Plant Physiol. 66(3): 351–364. https://doi.org/10.1134/S1021443719030154
- Zholkevich V.N. 1968. Energetika dykhaniya vysshikh rasteniy v usloviyakh vodnogo defitsita [Energy of respiration of higher plants in conditions of water deficit]. Moscow. 206 p. (In Russ.).
Supplementary files




