Functional characters and ontogenetic structure of populations of Ziziphora clinopodioides (Lamiaceae) at the range border (Republic of Khakasia)
- Authors: Barsukova I.N.1,2, Godin V.N.2, Cheryomushkina V.A.2, Astashenkov A.Y.2, Denisova G.R.2, Guseva A.A.2
-
Affiliations:
- Khakassian State University named after N. F. Katanov
- Central Siberian Botanical Garden SB RAS
- Issue: Vol 109, No 6 (2024)
- Pages: 537-556
- Section: COMMUNICATIONS
- URL: https://journals.rcsi.science/0006-8136/article/view/270589
- DOI: https://doi.org/10.31857/S0006813624060016
- EDN: https://elibrary.ru/QAEFUI
- ID: 270589
Cite item
Full Text
Abstract
The object of this study is a characteristic subshrub of Khakasia, Ziziphora clinopodioides (Lamiaceae). The study of functional traits and the structure of the Z. clinopodioides populations at the eastern limit of its distribution (Republic of Khakasia) has been carried out for the first time. The materials were collected in 2022–2023 in true and meadow steppes of the forest-steppe belt. Environmental factors influencing functional traits and the ratio of individuals of different ontogenetic states have been identified. It has been established that disturbed steppes on sandy soils with the presence of stones and low moisture represent the ecological optimum for this species. Under these conditions, the indices of most of the studied functional traits (the number of vegetative shoots per 1 composite skeletal axis, the number of generative shoots with paracladia, the number of paracladia, the number of flowers in paracladia, the number of flowers in the main inflorescence) reach the highest values. In undisturbed steppes on sandy loam soils with moderate moisture, Z. clinopodioides is in unfavorable conditions, and develops individuals with minimal values of functional traits. All the studied populations are normal, complete or incomplete. Left-sided and bimodal ontogenetic spectra are formed in disturbed steppes on sandy soils with the presence of stones and low moisture; in the undisturbed steppe on sandy loam soil with moderate moisture, the spectrum type is bimodal. The density of individuals depends on the degree of soding in the community and anthropogenic load. With an increase in the total projective cover and in the absence of anthropogenic impact, the density of individuals decreases. The causes of restructuring of functional characters and changes in the ontogenetic spectrum of populations of Z. clinopodioides under the influence of various environmental factors at the range border are discussed.
Full Text
Успешность реализации стратегии сохранения биоразнообразия во многом зависит от проведения разноплановых исследований в области популяционной экологии и биологии растений. В этой связи значительный интерес представляет изучение краевых популяций растений, поскольку любые экологические факторы, оказывающие на них негативное воздействие, могут привести к сокращению ареала вида. На сегодняшний день о растениях разных жизненных форм, исследованных на границе своего распространения, накоплено немало сведений. Отмечено, что в сложившихся условиях обитания у видов наиболее ярко проявляются приспособительные реакции, отражающиеся в своеобразии внутренней организации и биологических особенностей (Abramova et al., 2013; Fardeeva et al., 2014; Cheryomyshkina et al., 2016; Denisova et al., 2018; Sandanov, Rosbakh, 2019; Kirillova, Kirillov, 2023 и др.). Несмотря на это изучению видов полукустарничковой биоморфы, занимающих промежуточное положение между древесными формами и травами, описанию их различных морфологических параметров и онтогенетической структуры популяций в зависимости от экологических условий мест обитания, в том числе и на границе ареала, уделено недостаточно внимания (Akhmedov et al., 2017; Talovskaya, Cheryomyshkina, 2018; Cheryomyshkina, Bobokalonov, 2020; Denisova et al., 2022; Astashenkov et al., 2023). Показано, что поливариантность онтогенеза полукустарничковой жизненной формы, способность разных типов побегов участвовать в построении многолетней основы куста, особенности ветвления, изменение длины побегов и размера листьев, степень развития придаточных корней и число рамет являются морфологическими адаптациями ряда полукустарничков к разнообразным условиям произрастания, таким как: особенности фитоценоза, характер субстрата, высотный градиент, степень антропогенного влияния и др. (Guseva, Cheryomyshkina, 2017; Talovskaya et al., 2018; Lashchinskii, Talovskaya, 2020; Yegorova, Suleimanova, 2021; Talovskaya, Cheryomushkina, 2022).
Функциональные признаки – это морфологические, (эколого-) физиологические и репродуктивные признаки, которые влияют на приспособленность растений через их функции: рост, размножение и выживание. Изучение функциональных признаков у растений в разных местообитаниях позволяет оценить воздействие окружающей среды на организмы и их сообщества, а также выявить взаимосвязи между функционированием особей и компонентами среды, как биотическими, так и абиотическими. Они должны относительно просто измеряться согласно стандартизированным протоколам, а их внутривидовая изменчивость быть существенно меньше межвидовой (Cornelissen et al., 2003; Lavorel et al., 2007; Violle et al., 2007; Garnier et al., 2016; Onipchenko et al., 2022).
В настоящее время предпринимаются попытки объединить функциональный и популяционно-онтогенетический подходы (Astashenkov et al., 2022). Функциональные признаки в этом случае используют как показатели, связанные с биологическими особенностями вида определенной жизненной формы. Анализ их внутри- и межпопуляционной изменчивости позволяет определить уровень их варьирования в разных эколого-фитоценотических условиях обитания, а описание популяционных особенностей – наиболее полно отразить жизнеспособность популяций. По этой причине исследование адаптивных особенностей видов и их популяционной организации с использованием анализа функциональных признаков особей и онтогенетической структуры их ценопопуляций – актуальная и первоочередная природоохранная задача (Cornelissen et al., 2003).
Ziziphora clinopodioides Lam. (зизифора пахучковидная) – моноцентрический симподиально нарастающий полукустарничек из семейства Lamiaceae, ксеропетрофит. Ареал вида – евро-азиатский, простирается от юга европейской части России до Монголии и Западного Китая. Северная граница ареала проходит по Нижнему Дону, южной части Уральских гор и югу Западной Сибири, на юге охватывает Пакистан, Сирию и Ливан. По территории Республики Хакасия проходит восточная граница распространения вида (Yuzepchuk, 1954; Rastitel’nyi pokrov…, 1976; Hedge, 1990; Doron’kin, 1997). На территории Алтае-Саянской горной области вид встречается в гумидном, семигумидном, семиаридном и аридном секторах горной лесостепи (классы Festuca–Brometea, Cleistogenetea squarrosae; порядки Stipetalia sibiricae, Helictotrichetalia shelliani). Отмечается на остепненных лугах, в луговых, тырсовых и тырсово-овсецовых степях (ассоциации: Potentillo chrysanthae–Dactyletum glomeratae, Sileno repentis–Caricetum pediformis, Violo dissectae–Achnatheretum sibiricae, Fragario viridis–Stipetum capillatae, Artemisio glaucae–Caricetum pediformis), а также в петрофитных вариантах разнотравно-дерновиннозлаковых и мелкодерновинно-стоповидноосоковых степей (ассоциации: Carici pediformis–Spiraetum trilobatae, Kitagawio baicalensis–Cleistogenetum squarrosae) (Makunina, 2016). Массово и обильно встречается при увлажнении от среднестепного до сухолугового, на довольно богатых и богатых почвах (Tsatsenkin, 1967).
Популяционно-онтогенетические исследования Z. clinopodioides единичны. В. А. Черемушкиной с соавторами (Cheryomushkina et al., 2002) описан онтогенез особей на материале, собранном в Горном Алтае. В интродукционном эксперименте, проведенном на территории Хакасии, установлены сроки наступления основных фенологических фаз развития и их зависимость от экологических факторов (Kravtsova, 2019). Остальные работы посвящены изучению биологически активных веществ и лекарственных свойств, анатомических и морфологических особенностей листьев и пыльцевых зерен, а также генетической изменчивости Z. clinopodioides (Korolyuk et al., 2002; Keshavarzi et al., 2008; Vodolazova et al., 2011; Hazrati et al., 2020; Tabaripour et al., 2020).
Изучение функциональных признаков Z. clinopodioides и структуры ее ценопопуляций в Хакасии ранее не проводилось. В связи с этим остаются невыясненными механизмы устойчивого развития популяций вида, способствующие успешному существованию на восточной границе ареала. Исследование позволит раскрыть особенности адаптации особей в разных эколого-фитоценотических условиях и оценить состояние популяций.
Исходя из экологических и биологических особенностей вида, мы предполагаем, что на функциональные признаки Z. clinopodioides могут оказывать влияние такие факторы окружающей среды, как: подвижность субстрата, содержание песка и камней в почве, увлажнение, антропогенное воздействие; на тип онтогенетического спектра – моховый покров, свободный субстрат, содержание песка и камней в почве, увлажнение, антропогенное воздействие.
МАТЕРИАЛЫ И МЕТОДЫ
Места сбора материала. Материал собран в Аскизском районе Республики Хакасия в 2022–2023 гг. в четырех ценопопуляциях (ЦП), расположенных в настоящих и луговых степях лесостепного пояса.
Погодные условия района исследования определяются феновым эффектом, развивающимся на восточных подветренных склонах Кузнецкого Алатау и Абаканского хребта. При удалении от их осевых частей на восток и снижении абсолютных высот уменьшается количество осадков и повышается температура воздуха. Средняя температура июля в Хакасской лесостепи – 17.7°C, января – −18.3°C, годовое количество осадков – 350–500 мм в год (Rastitel’nyi pokrov…, 1976).
Описание фитоценозов выполняли по общепринятым методам (Korchagin, 1964). Нарушенность сообществ определяли по участию сорных видов (Yershova, 1995). Латинские названия растений приведены по данным World Flora Online (worldfloraonline.org).
Освещенность на уровне особей вида оценена с помощью цифрового люксметра Benetech GM1010 при устойчивых погодных условиях: ясно, малооблачно, безветренно или слабый ветер. Измерения проводили разово в промежуток с 12.00 до 13.00 по местному времени, что соответствовало наибольшей высоте солнца. В пределах фитоценоза закладывали трансекты длиной 10–15 м и разбивали их на учетные площадки размером 1 м2. Показания прибора снимали на каждой площадке с 5-ти точек (4 – по углам, 1 – в центре) и рассчитывали среднюю арифметическую.
Отбор грунта, его упаковку и хранение проводили согласно Межгосударственному стандарту ГОСТ 12071–2014 (Mezhgosudarstvennyi…, 2015). Определение гранулометрического состава и влажности образцов выполнено в лабораториях Государственной станции агрохимической службы “Минусинская” (ФГБУ ГСАС “Минусинская”) по Межгосударственным стандартам ГОСТ 12536–2014 и ГОСТ 5180–2015 (Mezhgosudarstvennyi…, 2016, 2019). Название почвы по гранулометрическому составу приведено согласно представлениям Н. А. Качинского (Kachinskii, 1958).
ЦП 1 изучена в окрестностях с. Казановка в межгорной седловине в закустаренной осоково-разнотравной луговой степи с моховым покровом. Проективное покрытие мха (Rhytidium rugosum (Hedw.) Kindb.) достигает 25–27%, на долю кустарникового яруса, представленного Caragana pygmaea (L.) DC., Spiraea hypericifolia L., Scutellaria supina L. приходится 30–32%, покрытие травостоя – 25%. Среди трав доминируют и содоминируют Fragaria viridis Weston и Carex pediformis C. A. Mey соответственно. Проективное покрытие (ПП) Z. clinopodioides – 5–6%. На свободный субстрат, полностью лишенный растительности, приходится 3–6%, на камни – 5–7%. Освещенность – (24900 ± 1150) Лк (здесь и далее – среднее значение ± ошибка среднего значения). Суммарное содержание в почве фракции среднего и мелкого песка составляло 90.3%, физической глины – 6.1%. Влажность почвенного субстрата – 20.9%. ЦП подвержена сильному антропогенному воздействию в виде выпаса крупного и мелкого рогатого скота.
ЦП 2 изучена в окрестностях с. Казановка по южному склону ложбины в разнотравно-стоповидноосоковой настоящей крупнодерновинной степи с Caragana pygmaea, Spiraea hypericifolia и Artemisia gmelinii Weber ex Stechm. На долю кустарников и полукустарничков приходится 13%, травостоя – 45%, ПП Z. clinopodioides – 3–4%. Среди травяного яруса преобладают Carex pediformis, Festuca valesiaca Schleich. ex Gaudin, Stipa capillata L., Potentilla acaulis L. Процент открытых почвенных участков – 16%, камней – 15%. Освещенность – (92100 ± 4240) Лк. Суммарное содержание фракции среднего и мелкого песка – 78.2%, физической глины – 10.2%. Влажность почвенного субстрата – 11.2%. Антропогенное влияние сильное (выпас).
ЦП 3 исследована в окрестностях с. Бирикчуль на щебнисто-каменистом осыпном (подвижный субстрат) южном склоне холма (угол уклона 45–50°) в злаково-разнотравной луговой степи. Проективное покрытие полукустарничков и кустарничков (Scutellaria supina, Thymus petraeus Serg.) составляет 20–22%, травяного яруса (Potentilla longifolia D.F.K.Schltdl., Festuca valesiaca, Galium verum L.) – 30–32%. ПП мха Rhytidium rugosum – 4–5%, ПП Z. clinopodioides – 5–6%. На долю свободного субстрата приходится 2–3%, камней – 25–26%. Освещенность – (99100 ± 7120) Лк. Суммарное содержание фракции среднего и мелкого песка – 85.1%, физической глины – 5.6%. Влажность почвенного субстрата – 12.2%. Антропогенное воздействие слабое (вытаптывание людьми).
ЦП 4 изучена в окрестностях с. Кызлас на юго-восточном склоне холма (угол уклона 10°) в закустаренной стоповидноосоково-злаковой луговой степи. На долю кустарникового яруса (Spiraea hypericifolia, Caragana pygmaea, Cotoneaster melanocarpus Fisch. ex A. Blytt., Artemisia gmelinii) приходится 20%, при этом доминирует Artemisia gmelinii – 15%. Проективное покрытие травостоя (Festuca valesiaca, Stipa krylovii Roshev., Poa alpina L., Carex pediformis) – 65–67%, ПП Z. clinopodioides – 2–3%. Свободный субстрат – 2–3%, камни – менее 1%. Освещенность – (86100 ± 4820) Лк. Суммарное содержание фракции среднего и мелкого песка – 59.6%, физической глины – 15.8%. Влажность почвенного субстрата – 47.7%. Антропогенное воздействие отсутствует.
Краткая характеристика экологических параметров представлена в табл. 1.
Таблица 1. Экологические факторы местообитаний Ziziphora clinopodioides
Table 1. Ecological factors of Ziziphora clinopodioides habitats
Номер ЦП СP number | A* | B | C | D | E | F | G | H |
1 | 1 | 2 | 2 | 1 | 1 | 2 | 2 | 1 |
2 | 2 | 2 | 1 | 1 | 1 | 1 | 2 | 1 |
3 | 1 | 1 | 2 | 1 | 1 | 1 | 2 | 1 |
4 | 2 | 2 | 2 | 2 | 2 | 1 | 1 | 2 |
Примечание: ЦП – ценопопуляции. * А – моховый покров: 1 – есть, 2 – нет; B – подвижность субстрата: 1 – есть, 2 – нет; C – свободный субстрат: 1 – есть, 2 – нет; D – почва по гранулометрическому составу (содержание песка): 1 – песчаная, 2 – супесчаная; E – камни: 1 – есть, 2 – нет; F – освещенность: 1 – сильная, 2 – слабая; G – увлажнение: 1 – умеренное (25–50%), 2 – низкое (менее 25%); H – антропогенное воздействие: 1 – есть, 2 – нет.
Note: СP – coenopopulations. *Moss cover (A): 1 – yes , 2 – no. Substrate mobility (B): 1 – yes, 2 – no. Free substrate (C): 1 – yes, 2 – no. Soil according to granulometric composition (sand content) (D): 1 – sandy, 2 – sandy loam. Stones (E): 1 – yes, 2 – no. Illumination (F): 1 – strong, 2 – weak. Humidification (G): 1 – moderate (25–50%), 2 – low (less than 25%). Anthropogenic impact (H): 1 – yes, 2 – no.
Отбор образцов растений для анализа функциональных признаков. Для проведения биометрических измерений в ЦП взяты по 25 взрослых особей. Отнесение их к зрелому генеративному состоянию проводили на основе ранее опубликованных данных (Cheryomushkina et al., 2002). Исходя из особенностей биологии Z. clinopodioides полукустарничковой жизненной формы выбрано 13 организменных признаков: число составных скелетных осей (шт.) и их длина (см), число генеративных и вегетативных побегов на 1 составную скелетную ось (шт.), длина генеративного и вегетативного побегов (см), число генеративных побегов с паракладиями (шт.), число паракладиев (шт.), число цветков в паракладиях (шт.), число цветков в главном соцветии (шт.), масса главного соцветия (мг), длина ксилоподия (см), биомасса особи (г).
Для анализа биометрических значений у каждой особи исследовали все генеративные и вегетативные побеги с наиболее развитыми структурными элементами. Длину генеративного побега измеряли от его базальной части до верхнего метамера соцветия, вегетативного – до верхушечной почки. Значение числа и длины составных скелетных осей получены в результате прямого подсчета многолетних сохранившихся частей. Данные биомассы особей включали надземные и подземные органы растений.
Отбор образцов растений для анализа онтогенетической структуры ценопопуляций. В целях изучения онтогенетической структуры ЦП использовали общепринятые методы (Tsenopopulyatsii…, 1976, 1988; Zaugol’nova, 1994). Во всех ЦП закладывали трансекты длиной 10–15 м и разбивали их на учетные площадки размером 1 м2. За счетную единицу была принята особь семенного происхождения. На основе онтогенеза вида, описанного В. А. Черемушкиной с соавторами (Cheryomushkina et al., 2002), выделены следующие онтогенетические состояния: ювенильное (j), имматурное (im), виргинильное (v), молодое генеративное (g1), зрелое генеративное (g2), старое генеративное (g3), субсенильное (ss), сенильное (s).
В работе применяли следующие демографические показатели: индекс возобновления (Iв) – отношение числа прегенеративных особей к сумме особей всех состояний (Kovalenko, 2005); индекс старения (Iст) – отношение числа старых особей к сумме особей всех состояний (Glotov, 1998); индекс возрастности и эффективности ценопопуляции (Uranov, 1975; Zhivotovskii, 2001). Для определения типа популяций использовали классификацию “дельта-омега” (Zhivotovskii, 2001). При расчете экологической плотности учитывали число особей на единицу обитаемого пространства (Odum, 1975).
Статистический анализ. Статистическая обработка результатов выполнена с использованием программного пакета Statistica 10 (StatSoft Inc., OK, USA). Количественные данные проверены на нормальность распределения с помощью теста Шапиро–Уилка (W). Значения большинства организменных признаков значимо отличались от нормального распределения (W – от 0.83 до 0.95, уровень значимости р < 0.05). В связи с этим в целях определения статистически значимых межпопуляционных различий признаков применяли непараметрический критерий Краскела–Уоллиса (H) (уровень значимости р < 0.05). Для изучения наборов полученных данных в графическом виде строили диаграммы размаха. Зависимость между плотностью особей в ЦП и экологическими факторами определяли с помощью коэффициента ранговой корреляции Спирмена (r). Для ординации ЦП по организменным характеристикам использовали метод главных компонент. Перед определением главных компонент проводили нормировку организменных признаков. Сходство ЦП по онтогенетическому спектру определяли по критерию R и критерию идентичности популяций (I), предложенных Л. А. Животовским (Zhivotovskii, 1979). Для оценки степени влияния экологических факторов на организменные признаки особей и соотношение онтогенетических групп в ЦП использовали однофакторный дисперсионный анализ. При выявлении существенного влияния экологических факторов на изучаемые параметры оценку различий между выборками проводили с помощью критерия Манна–Уитни (U).
РЕЗУЛЬТАТЫ И ИХ ОБСУЖДЕНИЕ
Ординация ценопопуляций
Взрослые особи Z. clinopodioides на территории Хакасии представляют собой кусты, состоящие из симподиально нарастающих разветвленных скелетных осей, образованных дициклическими побегами формирования возрастающих порядков (n + 1) и их системами, отмирающими до базальной части в конце вегетационного сезона. Новые побеги формирования и скелетные оси образуются из спящих почек базальной части скелетных осей и ксилоподия. Корневая система смешанная, представлена главным и придаточными корнями.
Онтогенез полный. Продолжительность жизни Z. clinopodioides 18–20 лет. Сравнение значений организменных признаков зрелых генеративных особей Z. clinopodioides в ЦП с использованием рангового дисперсионного анализа (непараметрический критерий Краскела–Уоллиса) позволило обнаружить статистически значимые межпопуляционные различия (уровень статистической значимости < 0.05) по следующим показателям: “длина составных скелетных осей”, “число вегетативных побегов на 1 составную скелетную ось”, “длина вегетативного побега”, “число генеративных побегов с паракладиями”, “число паракладиев”, “число цветков в паракладиях”, “число цветков в главном соцветии”, “длина ксилоподия” и “биомасса особи”. Пределы варьирования H – от 14.9 до 55.8, при p – от 0.0001 до 0.0019. Эти функциональные признаки нами выбраны как наиболее информативные, далее они будут использоваться при морфологическом анализе Z. clinopodioides в разных эколого-ценотических условиях.
Для остальных признаков (“число составных скелетных осей”, “число генеративных побегов на 1 составную скелетную ось”, “длина генеративного побега”, “масса главного соцветия”) значимые межпопуляционные различия не выявлены (H – от 1.6 до 6.5, при p – от 0.09 до 0.66).
Первые две главные компоненты объясняют 97% изменчивости функциональных признаков по всем изученным ЦП (рис. 1а). Первая главная компонента (F1 = 62% дисперсии) положительно коррелирует с числом вегетативных и генеративных побегов с паракладиями, числом паракладиев, числом цветков в паракладиях и главном соцветии, отрицательная корреляция наблюдается с длиной вегетативных побегов (рис. 1б). По первой главной компоненте ЦП четко разделились на две группы: в ЦП 1, 2, 3 отмечено наличие камней, а в ЦП 4 камни практически отсутствовали. Вторая главная компонента (F2 = 35% дисперсии) положительно коррелирует с длиной составных скелетных осей, длиной ксилоподия и биомассой растений. По второй главной компоненте также выделяется две группы ЦП: ЦП 1, 2 и 4 изучены на неподвижном субстрате, ЦП 3 – на подвижном.
Рис. 1. Распределение ценопопуляций Ziziphora clinopodioides в плоскости главных компонент (а) и факторная структура изменчивости признаков (б).
По оси X – первая главная компонента (фактор 1), по оси Y – вторая главная компонента (фактор 2). А – длина составной скелетной оси, см; B – число вегетативных побегов на 1 составную скелетную ось, шт.; С – длина вегетативного побега, см; D – число генеративных побегов с паракладиями, шт.; E – число паракладиев, шт.; F – число цветков в паракладиях, шт.; G – число цветков в главном соцветии, шт.; H – длина ксилоподия, см; I – биомасса особи, г. ЦП 1–4 – номера ценопопуляций.
Fig. 1. Distribution of Ziziphora clinopodioides populations in the principal component plane (a) and the factor structure of characters variability (b).
X-axis: first principal component (factor 1), Y-axis: second principal component (factor 2). A – composite skeletal axis length, cm; B – number of vegetative shoots per 1 composite skeletal axis; C – vegetative shoot length, cm; D – number of generative shoots with paracladia; E – number of paracladia; F – number of flowers in paracladia; G – number of flowers in the main inflorescence; H – xylopodium length, cm; I – individual biomass, g. 1–4 – population numbers.
Однофакторный дисперсионный анализ. Дисперсионный анализ показал, что на функциональные признаки Z. clinopodioides, которые тесно связаны с первой главной компонентой, оказывают положительное влияние такие экологические факторы, как: гранулометрический состав почвы (содержание песка), камни, увлажнение; отрицательное – антропогенная нагрузка (табл. 2). По характеру их воздействия изученные ЦП распределились на две группы: ЦП 1–3 расположены в составе нарушенных степей на песчаных почвах с наличием камней и низким увлажнением и ЦП 4 – в ненарушенной степи на супесчаных почвах с умеренным увлажнением.
Таблица 2. Оценка степени влияния экологических факторов на функциональные признаки Ziziphora clinopodioides
Table 2. Assessment of the degree of influence of environmental factors on the functional traits of Ziziphora clinopodioides
Функциональный признак Functional character | Доля влияния экологических факторов и значимость Share of influence of environmental factors and significance | ||||
Подвижность субстрата Substrate mobility | Почва по гранулометрическому составу (содержание песка) Soil according to granulometric composition (sand content) | Камни Stones | Увлажнение Moisture | Антропогенное воздействие Anthropogenic impact | |
F*/p | F/p | F/p | F/p | F/p | |
Длина составной скелетной оси, см Composite skeletal axis length, cm | 66.5/0.00 | –** | – | – | – |
Число вегетативных побегов на 1 составную скелетную ось, шт. Number of vegetative shoots per 1 composite skeletal axis, pcs. | – | 25.0/0.00 | 25.0/0.00 | 25.0/0.00 | 25.0/0.00 |
Длина вегетативного побега, см Vegetative shoot length, cm | – | 40.0/0.00 | 40.0/0.00 | 40.0/0.00 | 40.0/0.00 |
Число генеративных побегов с паракладиями, шт. Number of generative shoots with paracladia, pcs. | – | 20.9/0.00 | 20.9/0.00 | 20.9/0.00 | 20.9/0.00 |
Число паракладиев, шт. Number of paracladia, pcs. | – | 26.6/0.00 | 26.6/0.00 | 26.6/0.00 | 26.6/0.00 |
Число цветков в паракладиях, шт. Number of flowers in paracladia, pcs. | – | 29.7/0.00 | 29.7/0.00 | 29.7/0.00 | 29.7/0.00 |
Число цветков в главном соцветии, шт. Number of flowers in the main inflorescence, pcs. | – | 14.9/0.00 | 14.9/0.00 | 14.9/0.00 | 14.9/0.00 |
Длина ксилоподия, см Xylopodium length, cm | 18.4/0.00 | – | – | – | – |
Биомасса особи, г Individual biomass, g | 35.5/0.00 | – | – | – | – |
Примечание: *F – значение критерия Фишера; p – уровень значимости; ** – значимые различия отсутствуют.
Note: *F – Fisher test value; p – significance level; ** – no significant differences.
Большинство функциональных признаков (“число вегетативных побегов на 1 составную скелетную ось”, “число генеративных побегов с паракладиями”, “число паракладиев”, “число цветков в паракладиях”, “число цветков в главном соцветии”) достигают в степях, развивающихся на песчаных почвах (содержание песка – 78.2–90.3%; физической глины – 5.6–10.2%) с наличием камней (5–26%) и низким увлажнением (менее 25%), наибольших значений при отрицательном антропогенном влиянии. Таким образом, подобные условия относятся к экологическому оптимуму обитания данного вида.
Противоположное положение занимают особи в ЦП 4. При снижении содержания камней и песка (59.6%) в условиях умеренного увлажнения (25–50%) и отсутствия антропогенного воздействия значения признаков, тесно связанных с первой главной компонентой, минимальны. Несмотря на это, “длина вегетативного побега” у особей ЦП 4, наоборот, характеризуется максимальными значениями (до 15.7 см). Дело в том, что увлажнение, сохраняющееся в почве благодаря увеличению содержания физической глины (15.8%), а также отсутствие антропогенного влияния положительно отражаются на показателях признака (рис. 2). В трудах ряда исследователей показано, что недостаток влажности отрицательно сказывается на длине побегов, продолжительности существования скелетных осей растений разных жизненных форм (Gulis, 2008; Kishchenko, 2017; Zakharenko, Sevast’yanov, 2021; Cheryomushkina et al., 2022).
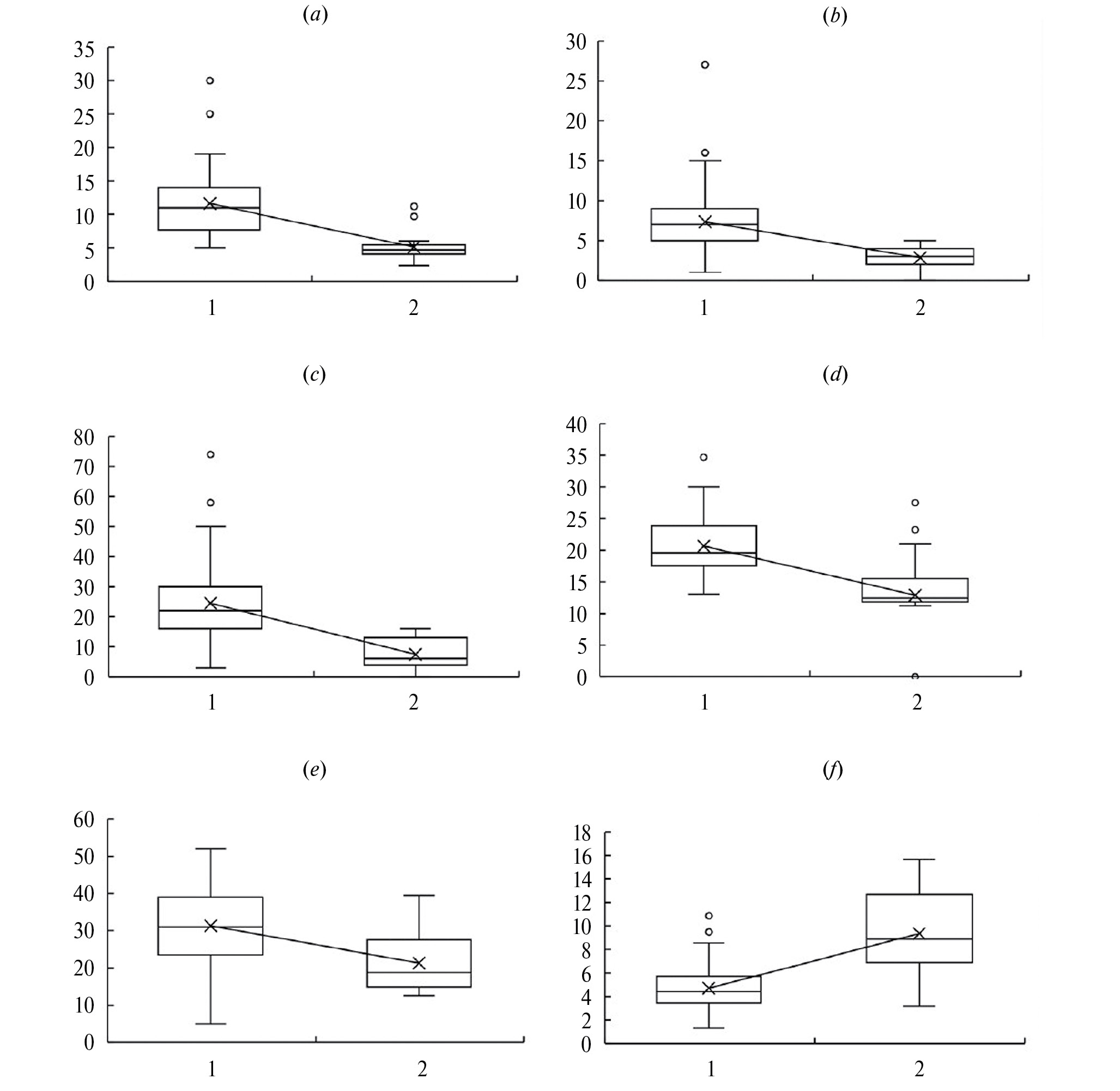
Рис. 2. Диаграммы размаха значений функциональных признаков, связанных с первой главной компонентой, в ценопопуляциях Ziziphora clinopodioides.
По оси X – 1 – нарушенные степи на песчаных почвах с наличием камней и низким увлажнением (ЦП 1–3); 2 – ненарушенная степь на супесчаной почве с умеренным увлажнением (ЦП 4); по оси Y – размах значений функционального признака; a – число вегетативных побегов на 1 составную скелетную ось, шт.; b – число генеративных побегов с паракладиями, шт.; c – число паракладиев, шт.; d – число цветков в паракладиях, шт.; e – число цветков в главном соцветии, шт.; f – длина вегетативного побега, см. Значения критерия Манна–Уитни (U) варьировали от 3.7 до 12.3 при p < 0.05.
Fig. 2. Diagrams of the range of values of functional characters associated with the first principal component in Ziziphora clinopodioides populations.
X-axis: 1 – disturbed steppes on sandy soils with the presence of stones and low moisture (CP 1–3); 2 – undisturbed steppe on sandy loam soil with moderate moisture (CP 4); Y-axis: the range of values of a functional character; a – number of vegetative shoots per 1 composite skeletal axis, pcs.; b – number of generative shoots with paracladia, pcs.; c – number of paracladia, pcs.; d – number of flowers in paracladia, pcs.; e – number of flowers in the main inflorescence, pcs.; f – vegetative shoot length, cm. Mann–Whitney test (U) values ranged from 3.7 to 12.3 with p < 0.05.
Согласно данным однофакторного дисперсионного анализа на функциональные признаки, коррелирующие со второй главной компонентой, значительное влияние оказывает только один фактор – подвижность субстрата (см. табл. 2). По данному экологическому фактору ЦП распределяются на две группы: ЦП 1, 2 и 4 изучены на неподвижном, а ЦП 3 – на подвижном субстрате. В условиях подвижного субстрата (щебнисто-каменистая осыпь) длина составной скелетной оси, длина ксилоподия увеличиваются за счет полегания скелетных осей и разрастания ксилоподия. Осыпи представляют собой не очень благоприятную среду для развития растений. Основными ограничивающими факторами здесь выступают подвижность субстрата, отсутствие почвенного покрова и глубокое расположение мелкозема, водный режим и т. д. (Dzhuraev, 1975; Kosiński, 1994). Для обитания в таких условиях растения вырабатывают такие адаптации, как: эффективные способы распространения семян, способность к быстрому отрастанию после засыпания, засухоустойчивость, различные формы роста и т. д. (Kosiński, 1994). В случае Z. clinopodioides на осыпи (ЦП 3) у особей развиваются длинный ксилоподий (до 4.2 см) и составные скелетные оси (до 18.1 см), состоящие из ежегодно полегающих годичных приростов дициклических генеративных побегов и, как следствие, значительная биомасса. В местах соприкосновения осей с субстратом образуются тонкие придаточные корни, обеспечивающие закрепление особей на осыпных склонах. Базальные части скелетных осей, сохраняющиеся после отмирания их надземных структур, часто засыпает щебнисто-каменистым субстратом, что обеспечивает защиту и сохранение большого числа спящих почек, которые активно развиваются, и число побегов увеличивается. Подобные особенности развития полукустарничков других видов в условиях склонов или на подвижных субстратах отмечены ранее (Talovskaya et al., 2017; Talovskaya, Cheryomushkina, 2022).
На неподвижном субстрате значения этих функциональных признаков средние (ЦП 1, 4) и минимальные (ЦП 2) (рис. 3). Влияние остальных экологических факторов (см. табл. 1) на морфологические признаки Z. clinopodioides не обнаружено.
Рис. 3. Диаграммы размаха значений функциональных признаков, связанных со второй главной компонентой, в ценопопуляциях Ziziphora clinopodioides.
По оси X – 1 – подвижный субстрат (ЦП 3); 2 – неподвижный субстрат (ЦП 1, 2, 4); по оси Y – размах значений функционального признака; a – длина составной скелетной оси, см; b – длина ксилоподия, см; c – биомасса особи, г. Значения критерия Манна–Уитни (U) варьировали от 2.1 до 11.4 при p < 0.05.
Fig. 3. Diagrams of the range of values of functional characters associated with the second principal component in Ziziphora clinopodioides populations.
X-axis: 1 – mobile substrate (CP 3); 2 – stabile substrate (CP 1, 2, 4); Y-axis: the range of values of a functional character; a – composite skeletal axis length, cm; b – xylopodium length, cm; c – individual biomass, g. Mann–Whitney test (U) values ranged from 2.1 to 11.4 with p < 0.05.
Онтогенетическая структура ценопопуляций
Анализ онтогенетической структуры изученных ЦП показал, что все они нормальные, полно- и неполночленные (в ЦП 2 отсутствуют особи ювенильного и имматурного состояний). Самоподдержание происходит семенным путем. Такие биологические особенности Z. clinopodioides как: высокая всхожесть семян (93–95%) (Bobokalonov, 2022), общая продолжительность начальных этапов онтогенеза (j–v) – от 4 до 5 лет, пребывание особей в молодом генеративном состоянии – 2–3 года, в зрелом генеративном – 8–10 лет, позволяют рассматривать левосторонний онтогенетический спектр в качестве характерного для данного вида. Низкая доля субсенильных и сенильных особей во всех ЦП определяется их быстрой гибелью. Партикуляция отсутствует.
Согласно показателю сходства Л. А. Животовского (Zhivotovskii, 1979) все изученные ЦП Z. clinopodioides значимо отличаются друг от друга (табл. 3).
Таблица 3. Показатели сходства ценопопуляций Ziziphora clinopodioides
Table 3. Indices of similarity of Ziziphora clinopodioides populations
Номер ЦП CP number | 2 | 3 | 4 |
1 | R* = 0.94 I** = 62.0 | R = 0.98 I = 24.23 | R = 0.94 I = 57.38 |
2 | – | R = 0.95 I = 52.84 | R = 0.88 I = 118.67 |
3 | – | – | R = 0.87 I= 125.29 |
Примечание: *R – показатель сходства; **I – критерий идентичности; p = 0.0001.
Note: *R – similarity index; **I – identity criterion; p = 0.0001.
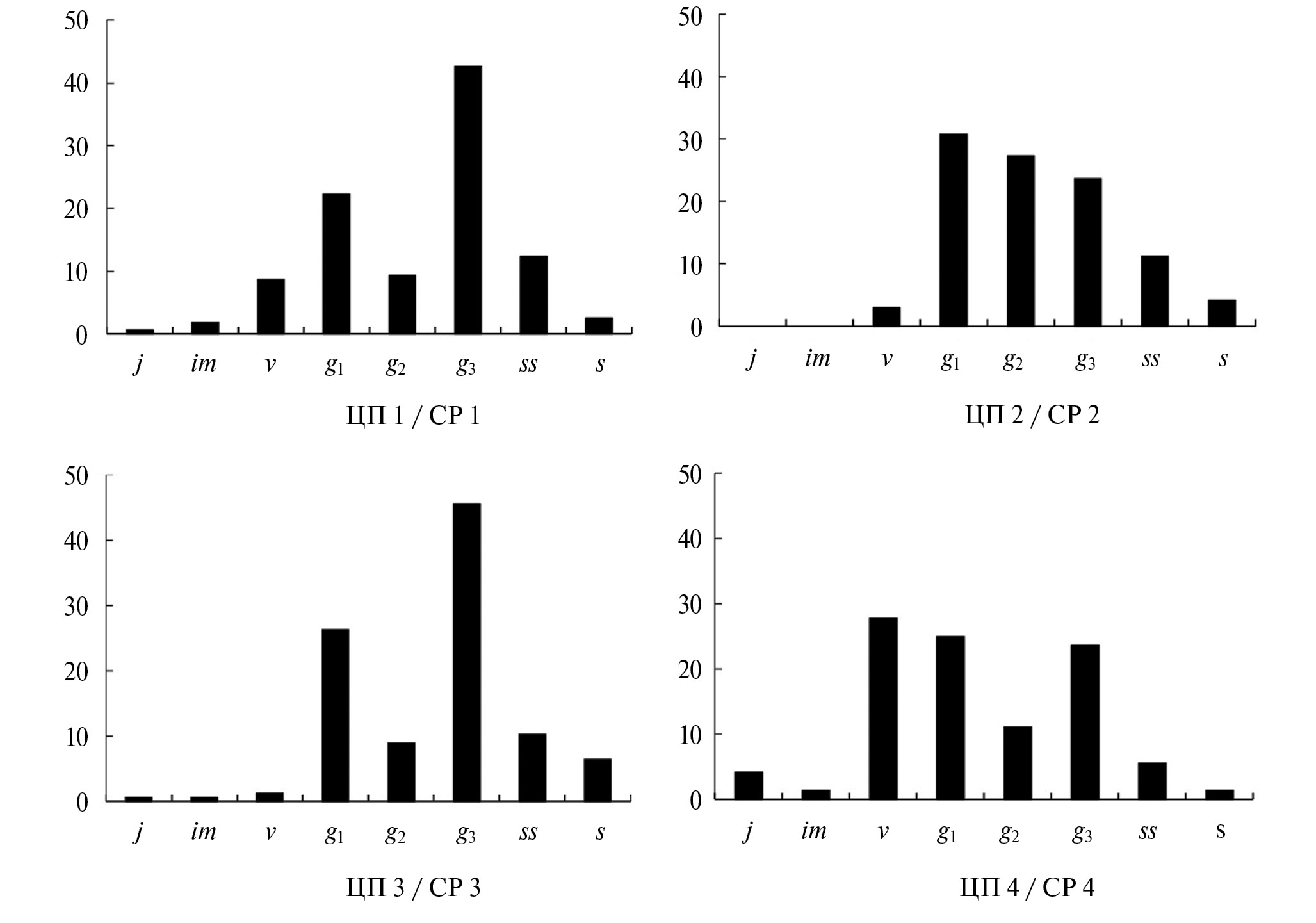
Установлено два типа спектра: левосторонний (ЦП 2) и бимодальный (ЦП 1, 3, 4).
Однофакторный дисперсионный анализ. Дисперсионный анализ показал, что, как и в случае с функциональными признаками, связанными с первой главной компонентой, влияние на онтогенетическую структуру оказывают те же факторы окружающей среды (табл. 4). Отсутствие камней и антропогенного воздействия, низкое содержание песка в почве и умеренное увлажнение положительно влияют на долю особей начальных (j, v) этапов онтогенеза и отрицательно – на долю субсенильных особей. При увеличении антропогенной нагрузки и содержания камней отмечается уменьшение доли ювенильных и виргинильных особей и увеличение доли субсенильных растений. Кроме того, на средневозрастные генеративные растения положительное влияние оказывает снижение конкуренции со стороны сопутствующих видов и, как следствие, появление свободных от растительности участков почвенного субстрата. Развитый моховый покров способствует накоплению и сохранению старых генеративных особей (табл. 4). Влияние подвижности субстрата и освещенности на тип онтогенетического спектра не установлено.
Таблица 4. Оценка степени влияния экологических факторов на соотношение онтогенетических групп в ценопопуляциях Ziziphora clinopodioides
Table 4. Assessment of the degree of influence of environmental factors on the ratio of ontogenetic groups of Ziziphora clinopodioides populations
Онтогенетическая группа Ontogenetic group | Доля влияния экологических факторов и значимость The share of influence of environmental factors and significance | |||||
Моховый покров Moss cover | Свободный субстрат Exposed substrate | Почва по гранулометрическому составу (содержание песка) Soil according to granulometric composition (sand content) | Камни Stones | Увлажнение Moisture | Антропогенное воздействие Anthropogenic impact | |
F*/p | F/p | F/p | F/p | F/p | F/p | |
j | –** | – | 97.5/0.01 | 97.5/0.01 | 97.5/0.01 | 97.5/0.01 |
im | – | – | – | – | – | – |
v | – | – | 93.3/0.03 | 93.3/0.03 | 93.3/0.03 | 93.3/0.03 |
g1 | – | – | – | – | – | – |
g2 | – | 98.8/0.00 | – | – | – | – |
g3 | 99.0/0.00 | – | – | – | – | – |
ss | – | – | 91.8/0.04 | 91.8/0.04 | 91.8/0.04 | 91.8/0.04 |
s | – | – | – | – | – | – |
Примечание: *F – значение критерия Фишера; p – уровень значимости; ** – значимые различия отсутствуют.
Онтогенетическое состояние: j – ювенильное; im – имматурное; v – виргинильное; g1 – молодое генеративное; g2 – зрелое генеративное; g3 – старое генеративное; ss – субсенильное; s – сенильное.
Note: *F – Fisher test value; p – significance level; **– no significant differences.
j – juvenile; im – immature; v – virginal; g1 – young generative; g2 – mature generative; g3 – old generative; ss – subsenile; s – senile.
В условиях нарушенных степей на песчаных почвах с наличием камней и низким увлажнением в ценопопуляциях Z. clinopodioides формируются два типа онтогенетического спектра: левосторонний (ЦП 2) – с абсолютным максимумом на молодых генеративных особях (30.8%); бимодальный (ЦП 1, 3) – с абсолютным максимумом на старых генеративных (42.6–45.5%) и локальным – на молодых генеративных (22.2–26.3%) особях (рис. 4). Несмотря на хорошо развитую в таких условиях произрастания репродуктивную сферу особей (“число генеративных побегов с паракладиями”, “число паракладиев”, “число цветков в паракладиях”, “число цветков в главном соцветии”) антропогенное воздействие и песчаные почвы с недостаточным увлажнением (11.2–20.9%) отрицательно влияют на появление всходов и сохранение особей начальных этапов онтогенеза (j–v). Кроме того, каменистый субстрат затрудняет попадание семян в мелкозем и их прорастание. Все это приводит к низкой численности проростков и молодой фракции растений в ЦП. Индекс возобновления в этих ЦП низкий и варьирует от 0.025 до 0.11 (табл. 5). В отдельные годы, в результате регулярных осадков и снижения антропогенного влияния, напротив, особи начальных этапов онтогенеза (j–v) хорошо сохраняются, что и объясняет абсолютный и локальный максимумы на молодом генеративном состоянии в ЦП 1–3.
Рис. 4. Онтогенетические спектры ценопопуляций Ziziphora clinopodioides.
По оси Х – онтогенетические состояния; по оси Y – доля особей разных онтогенетических состояний в ценопопуляциях, %. ЦП 1–4 – номера ценопопуляций.
Fig. 4. Ontogenetic spectra of Ziziphora clinopodioides populations.
X-axis: ontogenetic states; Y-axis: share of individuals of different ontogenetic states in populations, %. CP 1–4 – population numbers.
Таблица 5. Демографические показатели ценопопуляций Ziziphora clinopodioides
Table 5. Demographic indices of Ziziphora clinopodioides populations
Номер ЦП CP number | Iв | Iст | Плотность, особь/м2 Density, individuals/m2 | ɷ | Δ | Тип ЦП CP type |
1 | 0.11 | 0.57 | 10.8 ± 1.26** | 0.68 | 0.54 | Переходная Transitional |
2 | 0.03 | 0.39 | 9.38 ± 1.50 | 0.76 | 0.52 | Зрелая Mature |
3 | 0.025 | 0.62 | 9.75 ± 1.88 | 0.70 | 0.59 | Стареющая Aging |
4 | 0.33 | 0.30 | 6.54 ± 1.84 | 0.64 | 0.38 | Переходная Transitional |
Примечание: Iв – индекс возобновления; Iст – индекс старения; ɷ – индекс эффективности; Δ – индекс возрастности; тип ЦП по классификации Л. А. Животовского (2001); ** – среднее значение ± ошибка среднего значения.
Note: Iв – renewal index; Iст – aging index; ɷ – efficiency index; Δ – age index; CP type according to L.A. Zhivotovsky’s classification (2001); ** – average value ± average error.
В ненарушенной степи на супесчаной почве с умеренным увлажнением также формируется бимодальный онтогенетический спектр (ЦП 4). При этом абсолютный максимум приходится на особи виргинильного (27.8%) и старого генеративного (23.6%) состояний (рис. 4). Сложившиеся условия произрастания даже при минимальных значениях функциональных признаков особей, тесно связанных с первой главной компонентой, оказывают положительное влияние на долю особей прегенеративного периода, что выражается в увеличении индекса возобновления (Iв = 0.33).
Как отмечено выше, низкая доля зрелых и высокая – старых генеративных особей наблюдаются в ЦП 1, 3 и 4. В результате значительного общего проективного покрытия со стороны кустарникового (Caragana pygmaea, Spiraea hypericifolia, Scutellaria supina, Artemisia gmelinii и др.) и/или травяного (Fragaria viridis, Potentilla longifolia, Festuca valesiaca, Stipa krylovii и др.) ярусов и, как следствие, низкого процента открытых почвенных участков происходит ускорение темпов развития зрелых растений, а также накопление большого числа отмерших скелетных осей в кустах взрослых особей и их быстрый переход в старое генеративное состояние. Накопление особей Z. clinopodioides старого генеративного состояния связано с моховым покровом, хорошо развитым в ЦП 1 и 3; при его отсутствии доля этих особей не превышает 23.6% (ЦП 4). Противоположная ситуация складывается в ЦП 2. В ней при снижении общего проективного покрытия и появлении свободного субстрата (16%) темпы развития зрелых генеративных растений замедляются и особи постепенно переходят в последующие состояния.
Особи постгенеративной фракции (ss–s) во всех изученных ЦП обычно быстро стареют и погибают. Однако в нарушенных степях на песчаных почвах с наличием камней и низким увлажнением (ЦП 1–3) доля субсенильных (10.2–12.3%) и сенильных (2.5–6.4%) растений выше, чем в ненарушенных степях на супесчаных почвах с умеренным увлажнением (ЦП 4) (ss – 5.6%, s – 1.4%). Индекс старения в ЦП 1–3 изменяется в пределах от 0.39 до 0.62, в ЦП 4 составляет 0.30.
Показатели возрастности и эффективности в изученных ЦП изменяются от 0.38 до 0.59 и от 0.64 до 0.76 соответственно (см. табл. 5). По классификации “дельта-омега” ЦП разделились на три группы: ЦП 1 и 4 – переходные, ЦП 2 – зрелая, ЦП 3 – стареющая. Распределение особей по площадкам варьирует в широких пределах (ЦП 1 – от 2 до 20 особей/м2; ЦП 2 – от 4 до 22 особей/м2; ЦП 3 – от 1 до 28 особей/м2; ЦП 4 – от 1 до 15 особей/м2). Плотность особей в ЦП находится в прямой зависимости от задернованности сообщества (r = 0.99, p < 0.05) и в обратной – от антропогенной нагрузки (r = −0.77, p < 0.05). При увеличении общего проективного покрытия и отсутствии антропогенного воздействия плотность особей уменьшается. Так, например, в ЦП 1 при покрытии травостоя 25% и сильном антропогенном влиянии плотность достигает 10.8 особь/м2, тогда как в ЦП 4 при проективном покрытии травостоя 65–67% и отсутствии антропогенной нагрузки значение плотности не превышает 6.54 особи/м2 (табл. 5).
Таким образом, изучение онтогенетической структуры ЦП Z. clinopodioides показало динамичность распределения онтогенетических групп и, как правило, несовпадение конкретных онтогенетических спектров с характерным левосторонним, что свидетельствует о неустойчивом их состоянии на границе ареала. Причина заключается в реагировании особей вида на изменение экологических условий произрастания. Моховый покров, свободный субстрат, содержание песка и камней в почве, увлажнение и антропогенное воздействие приводят к изменению онтогенетического спектра – появлению максимума на старой генеративной группе. Однако такие варианты развития ценопопуляций можно рассматривать как их временное состояние, на что указывает значительная доля в ЦП 1 и 3 молодых генеративных, а в ЦП 4 – виргинильных растений.
Несовпадение онтогенетических спектров с характерным у растений полукустарничковой жизненной формы также отмечается в ряде работ. Исследователи указывают, что на изменение спектра оказывают влияние условия произрастания (наличие/отсутствие свободного субстрата, особенности фитоценотической обстановки, антропогенное воздействие, погодные условия (солнечная инсоляция, осадки, ветер)) и особенности онтогенеза (пропуски онтогенетических состояний, изменения темпов развития особей, соотношение семенного и вегетативного размножения в поддержании популяций) (Kolegova et al., 2013; Prokop’ev et al., 2016; Guseva, Cheryomushkina, 2017; Akhmedov et al., 2017; Mustafina et al., 2021; Talovskaya, Cheryomyshkina, 2018).
ЗАКЛЮЧЕНИЕ
Выявлены экологические факторы, оказывающие влияние на функциональные признаки и онтогенетическую структуру ценопопуляций полукустарничка Z. clinopodioides на восточной границе ареала в Республике Хакасия. Гранулометрический состав почвы (содержание песка), камни и увлажнение оказывают положительное влияние на большинство однолетних побеговых структур Z. clinopodioides (“число вегетативных побегов на 1 составную скелетную ось”, “число генеративных побегов с паракладиями”, “число паракладиев”, “число цветков в паракладиях”, “число цветков в главном соцветии”); антропогенная нагрузка, напротив, отрицательное. Вследствие этого в нарушенных степях на песчаных почвах с наличием камней и низким увлажнением функциональные признаки достигают наибольших значений. В лишенных камней сообществах на супесчаных почвах число побегов и степень развития их репродуктивной сферы, наоборот, снижаются несмотря на условия умеренного увлажнения и отсутствие антропогенного влияния. На многолетние побеговые структуры Z. clinopodioides (“длина составной скелетной оси”, “длина ксилоподия”, “биомасса особи”) положительное влияние оказывает только подвижность субстрата, приводящая к увеличению значений функциональных признаков. Изменение у особей Z. clinopodioides параметров длины составной скелетной оси и ксилоподия, числа вегетативных и генеративных побегов с паракладиями, числа паракладиев и цветков в них, числа цветков в главном соцветии, биомассы особей выступает механизмом морфологической адаптации к эколого-ценотическим условиям произрастания на границе распространения в Республике Хакасия.
Установлено, что на соотношение особей разных онтогенетических состояний в ценопопуляциях Z. clinopodioides влияние также оказывают соответствующие экологические факторы. Так, в нарушенных степях на песчаных почвах с наличием камней и низким увлажнением формируются два типа онтогенетического спектра: левосторонний – с максимумом на молодых генеративных особях и бимодальный с максимумами на молодых и старых генеративных особях; в ненарушенной степи на супесчаной почве с умеренным увлажнением онтогенетический спектр бимодальный с максимумами на виргинильных и старых генеративных растениях. Доля особей начальных (j-v) и конечных (ss) этапов онтогенеза связана с действием тех же экологических факторов, от которых зависит и развитие однолетних побеговых структур. Отсутствие камней и антропогенного воздействия, низкое содержание песка в почве и умеренное увлажнение способствуют увеличению числа ювенильных и виргинильных особей и, напротив, отрицательно сказываются на доле особей в субсенильном онтогенетическом состоянии. Увеличение доли средневозрастных генеративных растений связано с наличием свободного субстрата, приводящего к изменению темпов развития зрелых особей. Развитие мохового покрова приводит к накоплению старых генеративных растений. ЦП 1 и 4 по классификации “дельта-омега” относятся к переходным, ЦП 2 – зрелая, ЦП 3 – стареющая. Плотность особей зависит от степени задернованности сообщества и антропогенной нагрузки. При увеличении общего проективного покрытия и отсутствии антропогенного воздействия плотность особей уменьшается.
БЛАГОДАРНОСТИ
Выражаем благодарность ФГБУ ГСАС “Минусинская” (Красноярский край, г. Минусинск) за определение гранулометрического состава и влажности почвенных образцов.
Работа выполнена в рамках государственного задания Центрального сибирского ботанического сада СО РАН № АААА-А21-121011290026-9.
About the authors
I. N. Barsukova
Khakassian State University named after N. F. Katanov; Central Siberian Botanical Garden SB RAS
Author for correspondence.
Email: saphronovairina@mail.ru
Russian Federation, Lenin Ave., 90, Abakan, 655017; Zolotodolinskaya Str., 101, Novosibirsk, 630090
V. N. Godin
Central Siberian Botanical Garden SB RAS
Email: godinvn@yandex.ru
Russian Federation, Zolotodolinskaya Str., 101, Novosibirsk, 630090
V. A. Cheryomushkina
Central Siberian Botanical Garden SB RAS
Email: cher.51@mail.ru
Russian Federation, Zolotodolinskaya Str., 101, Novosibirsk, 630090
A. Y. Astashenkov
Central Siberian Botanical Garden SB RAS
Email: astal@bk.ru
Russian Federation, Zolotodolinskaya Str., 101, Novosibirsk, 630090
G. R. Denisova
Central Siberian Botanical Garden SB RAS
Email: gulnoria@mail.ru
Russian Federation, Zolotodolinskaya Str., 101, Novosibirsk, 630090
A. A. Guseva
Central Siberian Botanical Garden SB RAS
Email: guseva.sc@list.ru
Russian Federation, Zolotodolinskaya Str., 101, Novosibirsk, 630090
References
- Abramova L.M., Karimova О.А., Andreeva I.Z. 2013. K ekologii i biologii Althaea officinalis L. (Malvaceae) na severnoi granitse areala (Respublika Bashkortostan) [On ecology and biology of Althaea officinalis L. (Malvaceae) at the Northern Boundary of the Range (Republic of Bashkortostan)]. – Sibirskii ekologicheskii zhurnal. 4: 551–563 (In Russ.).
- Akhmedov A.K., Cheryomushkina V.A., Shomurodov H.F. 2017. Ontogenez i ontogeneticheskaya struktura cenopopulyacii Lagochilus inebrians v Uzbekistane [Ontogenesis and ontogenetic structure of Lagochilus inebrians coenopopulations in Uzbekistan]. – Vestnik Orenburgskogo gosudarstvennogo universiteta. 206(6): 63–70 (In Russ.).
- Astashenkov A.Yu., Godin V.N., Cheryomushkina V.A., Talovskaya E.B. 2022. Analiz funktsional'nyh priznakov i struktura ikh svyazei v cenopopulyaciyah Panzerina lanata (Lamiaceae) [Analysis of functional traits and the structure of their relationships in the coenopopulations of Panzerina lanata (Lamiaceae)]. – Bot. Zhurn. 107(6): 544–560 (In Russ.). https://doi.org/10.31857/S0006813622060047
- Astashenkov A.Yu., Cheryomushkina V.A., Boboev M.T. 2023. The population structure of Nepeta pamirensis at different altitudes in the Pamirs (Tajikistan). – Plant Science Today. 11(1): 281–287. https://doi.org/10.14719/pst.2630
- Bobokalonov К.А. 2022. Biomorfologiya vidov roda Ziziphora L. i struktura ikh cenopopulyatsii v Tadzhikistane [Biomorphology of species of the genus Ziziphora L. and the structure of their coenopopulations in Tajikistan]: Abstr. … Diss. Kand. Sci. Novosibirsk. 18 p. (In Russ.).
- Cheryomushkina V.А., Kaulin’ A.G., Golubeva D.V. 2002. Ontogenez zizifory pakhuchkovidnoi (Ziziphora clinopodioides Lam.) [Ontogenesis of ziziphora odoriferous (Ziziphora clinopodioides Lam.)]. – In: Ontogeneticheskii atlas lekarstvennykh rastenii. Uchebnoe posobie. T. 3. Ioshkar-Ola. P. 51–55 (In Russ.).
- Cheryomushkina V.А., Astashenkov A.Yu., Guseva А.А., Denisova G.R. 2016. Ekologo-tsenoticheskaya kharakteristika, struktura tsenopopulyatsii i ontogenez Lagochilus ilicifolius (Lamiaceae) v Tuve [Environmental and phytocoenotical characteristics, structure of coenopopulations and ontogeny of Lagochilus ilicifolius (Lamiaceae) in Tuva]. – Rastitel’nye resursy. 52(3): 381–396 (In Russ.).
- Cheryomushkina V.А., Bobokalonov К.А. 2020. Zhiznennaya forma, ontogenez i ontogeneticheskaya struktura tsenopopulyatsii Ziziphora suffruticosa v Tadzhikistane [Life form, ontogenesis and ontogenetic structure of Ziziphora suffruticosa coenopopulations in Tajikistan]. – Rastitel'nyi mir Aziatskoi Rossii. 38(2): 25–33 (In Russ.). https://doi.org/10.21782/RMAR1995-2449-2020-2(25-33)
- Cheryomushkina V.A., Guseva A.A., Talovskaya E.B., Astashenkov A.Yu. 2022. Dwarf subshrub morphological structure variety in species of the genus Scutellaria (Lamiaceae) under different growing conditions. – Taiwania. 67(1): 146–154. https://doi.org/10.6165/tai.2022.67.146
- Cornelissen J.H.C., Lavorel S., Garnier E., Díaz S., Buchmann N., Gurvich D.E., …, Poorter H. 2003. A handbook of protocols for standardised and easy measurement of plant functional traits worldwide. – Austral. J. Bot. 51(4): 335–380. https://doi.org/10.1071/BT02124
- Denisova G.R., Cheryomushkina V.А., Astashenkov A.Yu., Talovskaya E.B. 2018. Ontomorfogenez i otsenka sostoyaniya tsenopopulyatsii Dracocephalum argunense (Lamiaceae) na granitse areala [Ontomorphogenesis and assessment of state of Dracocephalum argunense (Lamiaceae) coenopopulations on the border of its range]. – Bot. Zhurn. 103(4): 427–440 (In Russ.). https://doi.org/10.1134/S0006813618040014
- Denisova G.R., Cheryomushkina V.А., Astashenkov A.Yu., Talovskaya E.B. 2022. Dinamika ontogeneticheskoi struktury tsenopopulyatsii Dracocephalum fruticulosum Stephan (Lamiaceae, Magnoliopsida) v Tuve [Ontogenetic structure dynamics of coenopopulations of Dracocephalum fruticulosum Stephan (Lamiaceae, Magnoliópsida) in Tuva]. – Povolzhskiy ekologicheskiy zhurnal. 3: 255–267 (In Russ.). https://doi.org/10.35885/1684-7318-2022-3-255-267
- Doron’kin V.М. 1997. Ziziphora L. – Zizifora. – In: Flora Sibiri. Т. 11. Novosibirsk. P. 202–203 (In Russ.).
- Dzhuraev А.D. 1975. Biologo-ekologicheskie gruppy i zhiznennye formy rastitel’nosti pervichnykh osypei Gissarskogo khrebta [Biological-ecological groups and life forms of vegetation of primary screes of the Gissar ridge]. – In: Voprosy introduktsii i biologii rastenii. Dushanbe. P. 38–50 (In Russ.).
- Fardeeva М.B., Islamova G.R., Chizhikova N.A. 2014. Prostranstvenno-ontogeneticheskaya struktura tsenopopulyatsii Vaccinium myrtillus (Ericaceae) bliz yuzhnoy granitsy areala (Respublika Tatarstan) [Spatial and ontogenetic structure of coenopopulations of Vaccinium myrtillus (Ericaceae) on the southern border of the area (Tatarstan Republic)]. – Rastitel’nye resursy. 50(3): 376–397 (In Russ.).
- Garnier E., Navas M.-L., Grigulis K. 2016. Plant Functional Diversity. Oxford. 231 p.
- Glotov N.V. 1998. Ob otsenke parametrov vozrastnoi struktury populyatsii rastenii [On assessing the parameters of the age structure of plant populations]. — In: Zhizn’ populyatsii v geterogennoy srede. Ch. 1. Ioshkar-Ola. P. 146–149 (In Russ.).
- Gulis А.L. 2008. Vliyanie stepeni uvlazhneniya substrata na rost i razvitie nekotorykh predstavitelei roda Rhododendron L. [The influence of the degree of substrate moisture on the growth and development of some representatives of the genus Rhododendron L.]. – Byulleten’ Nikitskogo botanicheskogo sada. 97: 22–25 (In Russ.).
- Guseva А.А., Cheryomyshkina V.А. 2017. Morfogenez i sostoyanie tsenopopulyatsii endemichnogo vida Scutellaria tuvensis (Lamiaceae) [Morphogenesis and state of coenopopulations of the endemic species Scutellaria tuvensis (Lamiaceae)]. – Byulleten’ MOIP. Otdelenie Biologii. 122(2): 68–77 (In Russ.).
- Hazrati S., Govahi M., Sedaghat M., Beyraghdar Kashkooli A. 2020. A comparative study of essential oil profile, antibacterial and antioxidant activities of two cultivated Ziziphora species (Z. clinopodioides and Z. tenuior). – Industr. Сrops Prod. 157: 112942. https://doi.org/10.1016/j.indcrop.2020.112942
- Hedge I.C. 1990. Ziziphora L. – In: Flora of Pakistan. 192. P. 224.
- Kachinskii N.А. 1958. Mekhanicheskii i mikroagregatnyi sostav pochvy, metody ego izucheniya [Mechanical and microaggregate composition of soil, methods of studying it]. Moscow. 192 p. (In Russ.).
- Keshavarzi M., Jahandideh R., Nazem Bokaee Z. 2008. Morphological and anatomical studies on Ziziphora clinopodioides Lam. (Labiatae). – Pakistan J. Biol. Sci. 11(23): 2599–2605. https://doi.org/10.3923/pjbs.2008.2599.2605
- Kirillova I.А., Kirillov D.V. 2023. Zhizn’ na krayu areala: sravnitel’noe izuchenie tsentral’nykh i kraevykh populyatsii Dactylorhiza traunsteineri (Orchidaceae) na evropeiskom severo-vostoke Rossii [Living at the edge: a comparative study of the central and marginal populations of Dactylorhiza traunsteineri (Orchidaceae) in European Northeast of Russia]. – Vestnik Moskovskogo universiteta. 78(2): 95–101 (In Russ.). https://doi.org/10.55959/MSU0137-0952-16-78-2-9
- Kishchenko I.Т. 2017. Sezonnyi rost i razvitie Juniperus communis L. v taezhnoi zone [Seasonal Growth and Development of Juniperus communis L. in the Taiga Zone]. – Lesnoi zhurnal. 3: 31–39 (In Russ.). https://doi.org/10.17238/issn0536-1036.2017.3.31
- Kolegova E.B., Cheryomushkina V.А., Makunina N.I., Bystrushkin А.G. 2013. Ontogeneticheskaya struktura i otsenka sostoyaniya tsenopopulyatsii Thymus marschallianus (Lamiaceae) na Yuzhnom Urale i na Altae [Ontogenetic structure and status assessment of Thymus marschallianus (Lamiaceae) coenopopulations in South Ural and Altai]. – Rastitel’nye resursy. 3: 341–352. (In Russ.).
- Korchagin А.А. 1964. Vidovoi (floristicheskii) sostav rastitel’nykh soobshhestv i metody ego izucheniya [Species (floristic) composition of plant communities and methods for studying it]. – In: Polevaya geobotanika. T. 3. Moscow; Leningrad. P. 39–62 (In Russ.).
- Korolyuk Ye.А., Kenig V., Tkachev A.V. 2002. Sostav efirnogo masla zizifory pakhuchkovidnoi (Ziziphora clinopodioides Lam.) iz Altaiskogo kraya i Respubliki Altai [Composition of Ziziphora essential oil (Ziziphora clinopodioides Lam.) from the Altai region and the Republic of Altai]. – Khimiya rastitel’nogo syr’ya. 1: 49–52 (In Russ.).
- Kosiński M. 1994. Roslinnośc piargów wysokogórskich: ekologia i zróżnicowanie. – Wiad. Bot. 38(3–4): 45–52.
- Kovalenko I.М. 2005. Структура популяцiй домiнантiв травяно-чагарничкового ярусу в лiсових фiтоценозах Деснянсько-Старогутського нацiонального природного парку. Вiталiтетна структура. – Україн. бот. журн. 62(5): 707–714 (In Ukr.).
- Kravtsova L.P. 2019. Izuchenie fenologicheskikh osobennostei lekarstvennykh rastenii semeistva Lamiaceae Lindl. pri introduktsii v Khakasii [The study of phenological characteristics of medicinal plants of the family Lamiaceae Lindl. introducted in the Republic of Khakassia]. – Vestnik Tverskogo gosudarstvennogo universtiteta. 55(3): 123–129 (In Russ.). https://doi.org/10.26456/vtbio104
- Lashchinskii N.N., Talovskaya E.B. 2020. Kharakteristika populyatsii Thymus reverdattoanus (Lamiaceae) na yuge areala (Nadymskii raion, Yamalo-Nenetskii avtonomnyi okrug) [Characteristics of Thymus reverdattoanus (Lamiaceae) population in the south of its range (Nadym district, Yamal-Nenets autonomous area)]. – Bot. Zhurn. 105(7): 687–696 (In Russ.). https://doi.org/10.31857/S0006813620070054
- Lavorel S., Díaz S., Cornelissen J.H.C. 2007. Plant functional types: Are we getting any closer to the Holy Grail? – Terrestrial Ecosystems in a Changing World. P. 149–164.
- Makunina N.I. 2016. Rastitel’nost’ lesostepi Zapadno-Sibirskoi ravniny i Altae-Sayanskoi gornoi oblasti [The forest-steppe vegetation of the West Siberian plain and the Altai-Sayan mountain region]. Novosibirsk. 183 p. (In Russ.).
- Mezhgosudarstvennyi standart. 2015. GOST 12071–2014. Grunty. Otbor, upakovka, transportirovanie i khranenie obraztsov [Interstate standard. 2015. GOST 12071–2014. Soils. Selection, packaging, transportation and storage of samples]. Moscow. 10 p. (In Russ.).
- Mezhgosudarstvennyi standart. 2016. GOST 5180–2015. Grunty. Metody laboratornogo opredeleniya fizicheskikh kharakteristika [Interstate standard. 2016. GOST 5180–2015. Soils. Methods for laboratory determination of physical characteristics]. Moscow. 23 p. (In Russ.).
- Mezhgosudarstvennyi standart. 2019. GOST 12536–2014. Grunty. Metody laboratornogo opredeleniya granulometricheskogo (zernovogo) i mikroagregatnogo sostava [Interstate standard. 2019. GOST 12536–2014. Soils. Methods for laboratory determination of granulometric (grain) and microaggregate composition]. Moscow. 20 p. (In Russ.).
- Mustafina А.N., Abramova L.M., Golovanov Ya.M., Karimova O.A. 2021. Ekologiya i struktura tsenopopulyatsii Zygophyllum pinnatum Cham. (Zygophyllaceae) v Predural’e i Zapadnom Kazakhstane [Ecology and structure of coenopopulations of Zygophyllum pinnatum Cham. (Zygophyllaceae) in the Cis-Urals and Western Kazakhstan]. – Byulleten’ MOIP. Otdelenie Biologii. 126(4): 22–36 (In Russ.).
- Odum Yu. 1975. Osnovy ehkologii [Basics of ecology]. Moscow. 740 p. (In Russ.).
- Onipchenko V.G., Dudova K.V., Gulov D.M., Akhmetzhanova A.A., Tekeev D.K., Elumeeva T.G. 2022. Funktsional’nye priznaki list’ev rastenii vazhny dlya formirovaniya sostava al’piiskikh rastitel’nykh soobshchestv [Leaf functional traits are important for the formation of alpine plant communities’ composition]. – Zhurnal obshhey biologii. 83(2): 127–137 (In Russ.). https://doi.org/10.31857/S004445962202004X
- Prokop’ev А.S., Kataeva T.N., Machkinis E.Yu. 2016. Kharakteristika tsenopopulyatsii Thymus jenisseensis и T. marschallianus (Lamiaceae) na yuge Tomskoi oblasti [Сoenopopulation characteristics of Thymus jenisseensis and T. marschallianus (Lamiaceae) in the south of Tomsk region]. – Rastitel’nye resursy. 52(2): 239–254 (In Russ.).
- Rastitel’nyi pokrov Khakasii [Vegetation cover of Khakasia]. 1976. Novosibirsk. 423 p. (In Russ.).
- Sandanov D.V., Rosbakh S. 2019. Demograficheskaya struktura tsenopopulyatsii Scutellaria baicalensis Georgi v svyazi s klimaticheskimi gradientami i lokal’nymi faktorami [Demographic structure of coenopopulations of Scutellaria baicalensis Georgi in connection with climatic gradients and local factors]. – Ekologiya. 3: 236–239 (In Russ.). https://doi.org/10.1134/S0367059719030168
- Tabaripour R., Sheidai M., Mehdi Talebi S., Noormohammadi Z. 2020. Population genetic and phylo-geographic analyses of Ziziphora clinopodioides Lam. (Lamiaceae), “kakuti-e kuhi”: An attempt to delimit its subspecies. – Caryologia. 73(2): 99–110. https://doi.org/10.13128/caryologia-573
- Talovskaya Е.B., Cheryomushkina V.А., Astashenkov A.Yu., Guseva А.А. 2017. Morfologicheskaya adaptatsiya Thymus roseus (Lamiaceae) v Vostochnom Kazakhstane [Morphological adaptation of Thymus roseus (Lamiaceae) in the East Kazakhstan]. – Bot. Zhurn. 102(9): 1232–1248 (In Russ.). https://doi.org/10.1134/S0006813617090034
- Talovskaya Е.B., Cheryomushkina V.А., Denisova G.R. 2018. Morfologicheskaya adaptatsiya vidov roda Thymus (Lamiaceae) v Yakutii [Morphological adaptation of Thymus (Lamiaceae) species in Yakutia]. – Sibirskii ekologicheskii zhurnal. 6: 736–749 (In Russ.). https://doi.org/10.15372/SEJ20180608
- Talovskaya Е.B., Cheryomushkina V.А. 2018. Ontogeneticheskaya struktura tsenopopulyatsii Thymus roseus (Lamiaceae) v Vostochnom Kazakhstane [Ontogenetic structure of Thymus roseus (Lamiaceae) coenopopulations in the East Kazakhstan]. – Rastitel’nyi mir Aziatskoi Rossii. 31(3): 61–65 (In Russ.). https://doi.org/10.21782/RMAR1995-2449-2018-3(61-65)
- Talovskaya E.B., Cheryomushkina V.A. 2022. Morphological variations of Thymus L. in the vegetation belts of the Tien Shan mountains (Central Asia). – Botany. 100(6): 499–508. https://doi.org/10.1139/cjb-2021-0101
- Tsatsenkin I.А. 1967. Ekologicheskie shkaly dlya rastenii pastbishch i senokosov gornykh i ravninnykh raionov Srednei Azii, Altaya i Urala [Ecological scales for plants of pastures and hayfields in mountainous and lowland regions of Central Asia, Altai and the Urals]. Dushanbe. 226 p. (In Russ.).
- Tsenopopulatsii rastenii (osnovnye ponyatiya i struktura) [Coenopopulations of plants (basic concepts and structure)]. 1976. Moscow. 217 p. (In Russ.).
- Tsenopopulatsii rastenii (ocherki populyatsionnoi biologii) [Coenopopulations of plants (essays on population biology)]. 1988. Moscow. 182 p. (In Russ.).
- Uranov A.A. 1975. Vozrastnoy spektr fitotsenopopulyatsii kak funktsiya vremeni i energeticheskikh volnovykh protsessov [Age spectrum of phytocoeno-population as a function of time and energy wave processes]. – Biologicheskie nauki. 2: 7–34 (In Russ.).
- Violle C., Navas M.L., Vile D., Kazakou E., Fortunel C., Hummel I., Garnier E. 2007. Let the concept of trait be functional! – Oikos. 116: 882–892. https://doi.org/10.1111/j.2007.0030-1299.15559.x
- Vodolazova S.V., Myadelets M.A., Karpova M.R., Saranchina Yu.V. 2011. Antimikrobnaya aktivnost’ efirnykh masel i vodnykh izvlechenii iz lekarstvennykh rastenii Khakasii [Antimicrobic activity of volatile oils and water extracts from medicinal herbs of Khakasia]. – Sibirskii meditsinskii zhurnal. 26(2): 54–58 (In Russ.).
- WFO: World Flora Online. 2024. http://www.worldfloraonline.org. (Accessed 09.01.2024)
- Yegorova N.Yu., Suleimanova V.N. 2021. Vitalitet i zhiznennost’ Rubus arcticus L. (Rosaceae) vblizi yuzhnoi granitsy areala v predelakh Kirovskoy oblasti [Vitality of Rubus arcticus L. (Rosaceae) near the southern border of the range within the Kirov region]. – Vestnik Severo-Vostochnogo federal’nogo universiteta. 84(4): 5–14 (In Russ.).
- Yershova E.A. 1995. Antropogennaya dinamika rastitel’nosti yuga sredney Sibiri [Anthropogenic dynamics of vegetation in the south of Central Siberia]. Preprint. Novosibirsk. 27 p. (In Russ.).
- Yuzepchuk S.V. 1954. Zizifora – Ziziphora L. – In: Flora SSSR. Т. XXI. Moscow; Leningrad. P. 398–399 (In Russ.).
- Zaharenko G.S., Sevast’yanov V.Е. 2021. Vliyanie pogodno-klimaticheskikh uslovii na razvitie vegetativnykh pobegov i generativnykh organov u kedra livanskogo (Cedrus libani A. Rich.) v Krymu [Influence of weather and climatic conditions on the development of vegetative shoots and generative organs of the Lebanese cedar (Cedrus libani A. Rich.) in Crimea]. – Ekosistemy. 27: 128–138 (In Russ.). https://doi.org/10.37279/2414-4738-2021-27-128-138
- Zaugol’nova L.B. 1994. Struktura populyacii semennyh rastenii i problemy ikh monitoringa [Structure of seed plant population and related monitoring problems]: Abstr. Doct. Diss. St. Petersburg. 70 p. (In Russ.).
- Zhivotovskii L.A. 1979. Pokazatel’ skhodstva populyacii po polimorfnym priznakam [Indicator of similarity of populations by polymorphic traits]. – Zhurn. obshchey biologii. 40(4): 587–602 (In Russ.).
- Zhivotovskii L.A. 2001. Ontogeneticheskie sostoyaniya, effektivnaya plotnost’ i klassifikatsiya populyatsii rastenii [Ontogenetic states, effective densities and classification of plant populations]. – Ekologiya. 1: 3–7 (In Russ.).
Supplementary files






