REFORESTATION PROCESS AFTER A GROUND FIRE AND CLEAR CUTTING IN LIANA-VARIED-SHRUB BROAD-LEAVED-DARK-CONIFEROUS-KOREAN-PINE FORESTS OF SOUTHERN SIKHOTE-ALIN
- Authors: Komarova T.A.1, Terekhina N.V.2, Prokhorenko N.B.3, Glushko S.G.4
-
Affiliations:
- Federal Scientific Center of the East Asia Terrestrial Biodiversity of the Far Eastern Branch of RAS
- Institute of Earth Sciences, St. Petersburg State University
- Kazan (Volga region) Federal University
- Kazan State Agrarian University
- Issue: Vol 108, No 2 (2023)
- Pages: 111-126
- Section: COMMUNICATIONS
- URL: https://journals.rcsi.science/0006-8136/article/view/134479
- DOI: https://doi.org/10.31857/S0006813623020059
- EDN: https://elibrary.ru/EXGRQI
- ID: 134479
Cite item
Full Text
Abstract
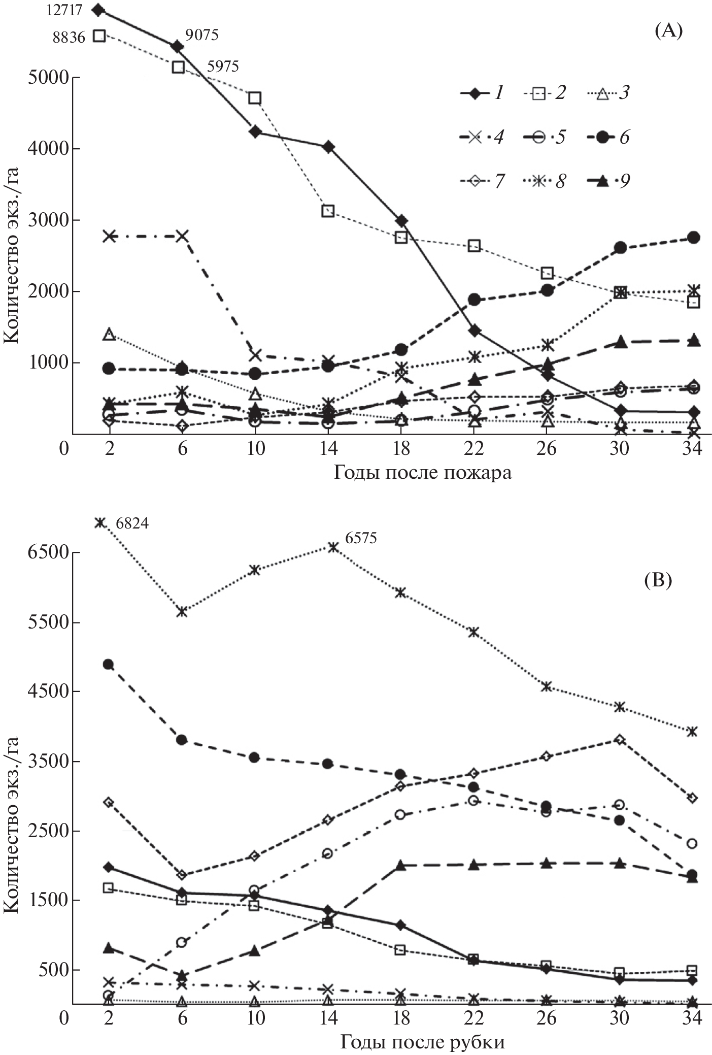
A comparative analysis of the formation and natural course of development of plant communities was carried out in two plots: (1) passed through by a stable ground fire and (2) subjected to experimental clear cutting with preserving young generation of tree species in liana-varied-shrub broad-leaved-dark-coniferous-Korean-pine forests of the mid-mountain belt of the Southern Sikhote-Alin. The features of natural recovery, course of growth, development and dynamics of the number of woody plants in the first 35 years of the reforestation process are considered. Taxation characteristic of the forest stands before their destruction by the fire and cutting, as well as at the first stages of the formation of young tree stands, are given. The dynamics of the species composition and phytomass of the aboveground parts of plants of the shrub and low-shrub-herb layers is considered.
About the authors
T. A. Komarova
Federal Scientific Center of the East Asia Terrestrial Biodiversity of the Far Eastern Branch of RAS
Author for correspondence.
Email: mata41@mail.ru
Russia, 690022, Vladivostok, 100-letiya Vladivostoka Ave., 159
N. V. Terekhina
Institute of Earth Sciences, St. Petersburg State University
Author for correspondence.
Email: n.terehina@spbu.ru
Russia, 199178, St. Petersburg, 10th Line of Vasilyevskiy Island, 33/35
N. B. Prokhorenko
Kazan (Volga region) Federal University
Author for correspondence.
Email: nbprokhorenko@mail.ru
Russia, 420008, Kazan,
Kremliovskaya Str., 18
S. G. Glushko
Kazan State Agrarian University
Author for correspondence.
Email: glushkosg@mail.ru
Russia, 420008, Kazan, K. Marks Str., 65
References
- Algren T.F., Algren C.E. 1960. Ecological effects of forest fires. – Bot. Rev. 26 (4): 483–533.
- Arefieva Z.N. 1963. Vliyanie ognya na nekotorye biokhimicheskie process v lesnykh pochvakh [Influence of fire on some biochemical processes in forest soils]. – Proceedings of the Institute of Biology UF AS USSR. Sverdlovsk. 36: 39–55 (In Russ.).
- Bublitz W. 1953a. Uber den Einfluss von AuBenfaktoren auf die keimung und ihre Bedeutung fur die Naturverjungung. – Allg. Forstzeitschrift. 8 (53): 594–596.
- Bublitz W. 1953b. Uber die keimhemmende Wirkung der Fichtenstrei. – Naturwissenschaften. 40 (9): 275–276.
- Glushko S.G., Komarova T.A., Prokhorenko N.B. 2022. Young forests forming after fellings and fires in dark coniferous sedge-fern forests of the southern Sikhote-Alin. – Russian Journal of Forest Science. 2: 144–156 (In Russ.).
- Grodzinskiy А.М. 1965. Allelopatiya v zhizni rasteniy i ikh soobshchestv. Osnovy khimicheskogo vzaimodeistviya rasteniy [Allelopathy in the life of plants and their communities. Fundamentals of the chemical interaction of plants]. Kiev. 200 p. (In Russ.).
- Ignat’eva L.A. 1966. Productivity of the herbage of the forest cenoses near the Ob river. – Bot. Zhurn. 51 (2): 196–209 (In Russ.).
- Il’ina T.M. 2003. Dinamika vosstanovleniya lesnykh podstilok posle pozhara v kedrovo-shirokolistvennom lesu Yuzhnogo Sikhote-Alinya [Dynamics of restoration of forest litter after a fire in the cedar-broad-leaved forest of the Southern Sikhote-Alin]. – Monitoring of vegetation cover of protected areas of the Russian Far East. Vladivostok. P. 152–155 (In Russ.).
- Karpov V.G. 1969. Experimental’naya fitotsenologiya temnokhvoynoy tayga [Experimental phytocenology of the dark coniferous taiga]. Leningrad. 335 p. (In Russ.).
- Kolesnikov B.P. 1956a. Synopsis of forest formations of Primorye and Amur Region. – In: Academician V.N. Sukachev on his 75th birthday. Moscow; Leningrad. P. 286–305 (In Russ.).
- Kolesnikov B.P. 1956b. Cedar forests of the Far East. Moscow; Leningrad. 261 p. (In Russ.).
- Komarova Т.А. 1984. The development of Chelidonium asiaticum (Papaveraceae) in the course of the post-fire recovery of Pinus koraiensis broad-leaved forests in the Southern Sikhote-Alin. – Bot. Zhurn. 69 (8): 1052–1062 (In Russ.).
- Komarova Т.А. 1986. Regeneration by seed in fresh burns (forests of the Southern Sikhote-Alin). Vladivostok. 222 p. (In Russ.).
- Komarova T.A. 1992a. Poslepozharnye suktsessii v lesakh Yuzhnogo Sikhote-Alin’a [Post-fire successions in the forests of Southern Sikhote-Alin]. Vladivostok. 224 p. (In Russ.).
- Komarova T.A. 1992b. Razvitie i produktivnost’ travyanistykh i kustarnikovykh populatsiy [Development and productivity of herbaceous and shrub coenopopulations]. Lesa Yuzhnogo Sikhote-Alin’a. Vladivostok. 184 p. (In Russ.).
- Komarova T.A., Sibirina L.A., Lee D.K., Kang H.S. 2007. The restoration process ater fire in the broadleaved-dark coniferous-Korean pine forest of the South Sikhote-Alin Mountains. – Forest science and technology. 2 (1): 17–25.
- Komarova T.A., Sibirina L.A., Lee D.K., Kang H.S. 2008. Demutation Successions after Fires in Liana-Shrub Broad-Leaved Forests of the Sikhote-Alin. – Russian Journal of Forest Science. 4: 10–19 (In Russ.).
- Komarova T.A., Prokhorenko N.B., Glushko S.G., Te-rekhina N.V. 2017. Post-fire successions in the Sikhote-Alin forests with Pinus koraiensis Siebold et Zucc. participation. St. Petersburg. 402 p. (In Russ.).
- Komarova T.A., Terekhina N.V, Orekhova T.P. 2021. Dormancy of viable seeds in soil and their germination after fires in broadleaved-korean-pine forests of southern Sikhote-Alin. – Bot. Zhurn. 106 (3): 255–271 (In Russ.).
- Korchagin A.A. 1976. Stroenie rastitel’nykh soobshchestv [Structure of plant communities]. – Polevaya geobotanika. Vol. 5. Leningrad. 313 p. (In Russ.).
- Kovalev A.P., Orlov A.M., Lashina E.V., Grishcheno-va Yu.A. 2019. The prospects of using forest resources in Primorsky krai. – Sibirskiy Lesnoy Zurnal. 5: 15–21 (In Russ.).
- Kuuluvainen T., Lindberg H., Vanha-Majamaa I., Keto-Tokoi P., Punttila P. 2019. Low-level retention forestry, certification, and biodiversity: case Finland. – Ecological Processes. 8: 47.
- Kwiatkowska-Falińska A., Jankowska-Błaszczuk M., Jaroszewicz B. 2014. Post-Fire changes of soil seed banks in the early successional stage of Pine forest. – Polish Journal of Ecology. 62 (3): 455–466.
- Man’ko Yu.I., Voroshilov V.P. 1966. Estestvennoe vozobnovlenie na vyrubkakh i gariyakh v lesakh Primorskogo kraya [Natural regeneration in clearings and burnt areas in the forests of Primorsky Krai]. – In: Problemy bioligii na Dal’nem Vostoke. Vladivostok. P. 23–25 (In Russ.).
- Man’ko Yu.I., Voroshilov V.P. 1967. Estestvennoe vozobnovlenie na vyrubkakh i garyakh v kedrovo-shirokolistvennykh lesakh leashrskogo Kraya [Natural regeneration in clearings and burnt areas in the cedar-deciduous forests of Primorsky Krai]. – In: Itogi izucheniya lesov Dal’nego Vostoka. Vladivostok. P. 197–200 (In Russ.).
- Rabotnov T.A. 1975. Izuchenie tsenoticheskikh popul’atsiy v tseliakh vyiasneniya “strategii zhizni” vidov rasteniy [The study of coenotic populations in order to clarify the “strategy of life” of plant species]. – Bull. MOIP. Dep. Biol. 80 (2): 5–17 (In Russ.).
- Rabotnov T.A. 1982. Zhiznesposobnost’ semian v pochvah prirodnyh biogeocenozah SSSR [Viable seeds in soils of natural biogeocenoses of the USSR] – Theoretical and applied aspects of biogeography. Moscow. P. 35–59 (In Russ.).
- Sochava V.P., Lipatova V.V., Gorshkov A.A. 1962. Experience of accounting of the total productivity of the above-ground part of the grass cover. – Bot. Zhurn. 42 (4): 473–484 (In Russ.).
- Solodukhin E.D. 1954. Natural reforestation in cutting areas and burnt areas in the spruce-fir forests of the Far East. – Forest Household. 11: 40–42 (In Russ.).
- Soloviev K.P., Soloduchin E.D. 1953.Classification on burnt forests at the Far East. – Forest Regeneration. 2: 45–48 (In Russ.).
- Soloviev K.P. 1958. Cedar-broad-leaved forests of the Far East and management in them. Khabarovsk. 367 p. (In Russ.).
- Soloviev K.P. 1963. O dinamike drevostoev posle rubok v Primor’e [On the dynamics of forest stands after felling in Primorye]. – Sb. Tr. Dal’NIILH. (5): 29–39 (In Russ.).
- Sosudistye rasteniya sovetskogo Dal’nego Vostoka. [Vascular plants of the Soviet Far East]. 1985–1996. Saint-Petersburg. Vol. 1–8 (In Russ.).
- Sovremennoe sostoyanie lesov rossiskogo Dal’nego Vostoka i perspectivy ikh ispol’zovaniya [The current state of the forests of the Russian Far East and the prospects for their use]. 2009. Khabarovsk. 470 p. (In Russ.).
- Spravochnik dlya taksatsii lesov Dal’nego Vostoka [Handbook for the taxation of forests of the Far East]. 1990. Dal’NIILH. Khabarovsk. 526 p. (In Russ.).
- Sukachev V.N., Zonn S.V., Motovilov G.P. 1957. Guidelines for the study of forest types. Moscow. P. 9–63 (In Russ.).
- Sukаchev V.N., Zonn S.V. 1961. Metodicheskie ukazaniya k izucheniyu tipov lesa. [Guidelines for the study of forest types]. Moscow. 144 p. (In Russ.).




