Contributions of Nonlinear Spectral Components to the Probability Distribution of Rogue Waves Based on the Results of Numerical Simulation of the Euler Equations
- Authors: Slunyaev A.V.1,2,3
-
Affiliations:
- Institute of Applied Physics RAS
- Il'ichev Pacific Oceanological Institute, Far Eastern Branch RAS
- National Research University Higher School of Economics
- Issue: Vol 59, No 6 (2023)
- Pages: 793-814
- Section: Articles
- URL: https://journals.rcsi.science/0002-3515/article/view/162280
- DOI: https://doi.org/10.31857/S000235152306010X
- EDN: https://elibrary.ru/ORXADF
- ID: 162280
Cite item
Full Text
Abstract
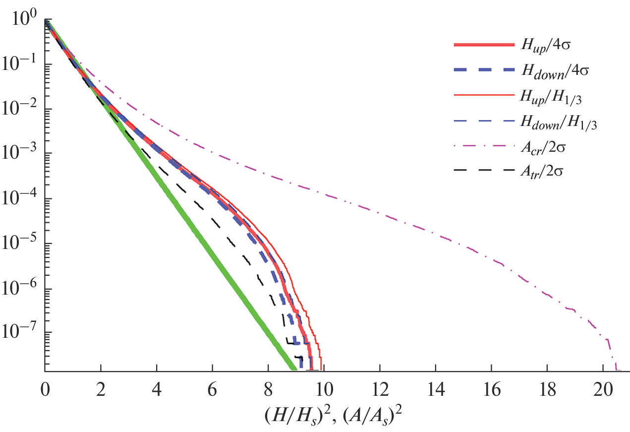
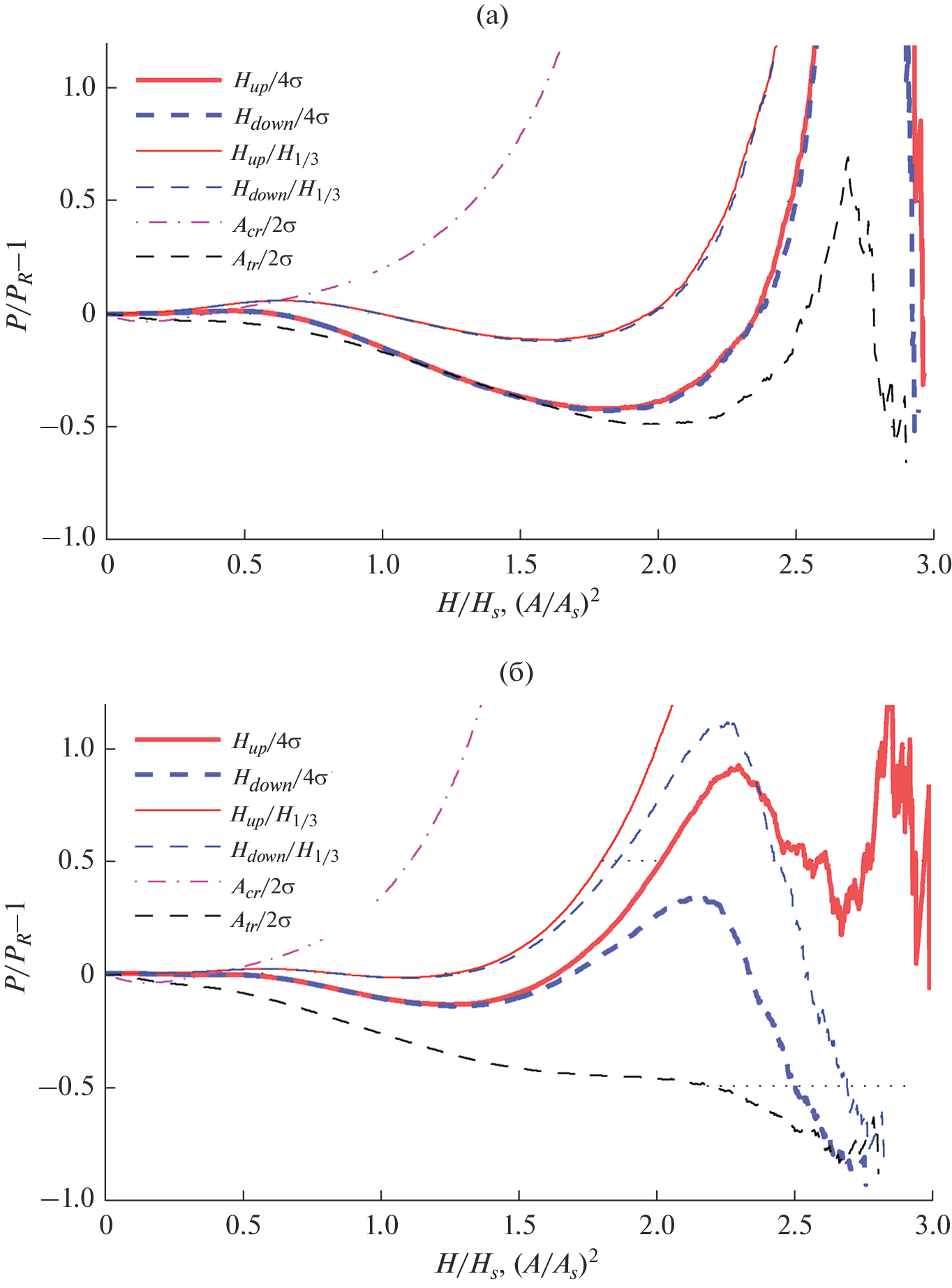
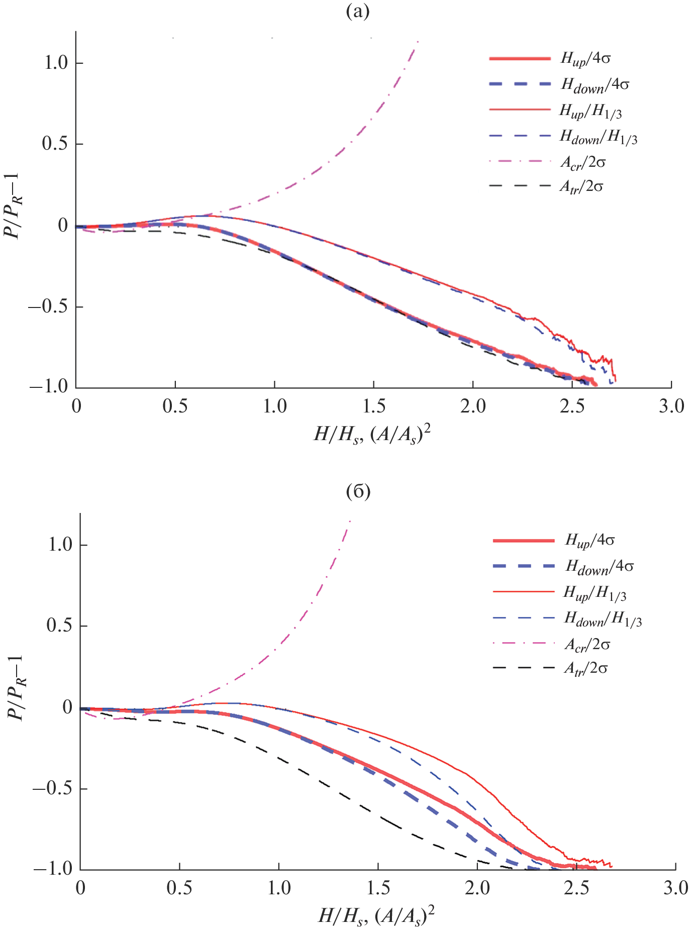
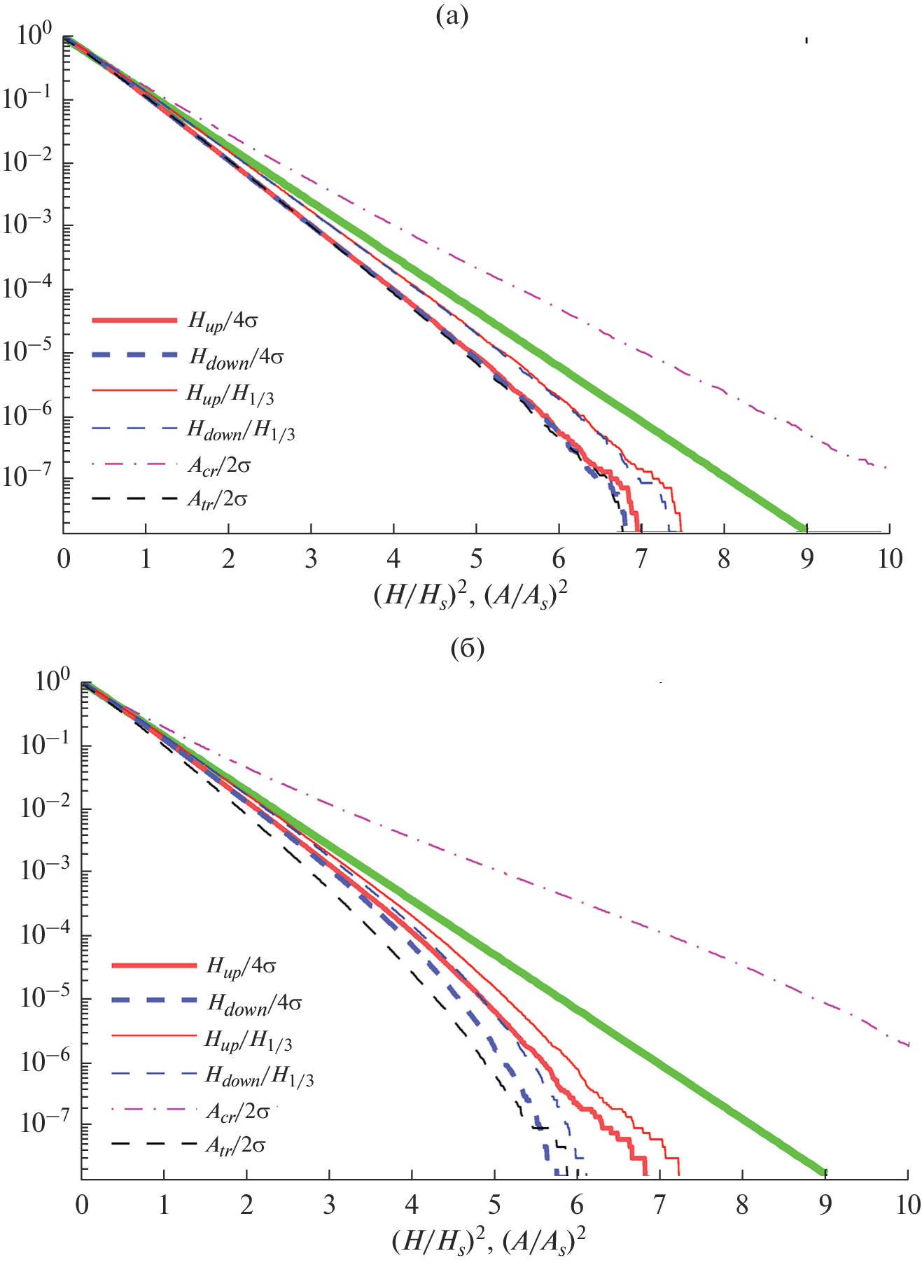
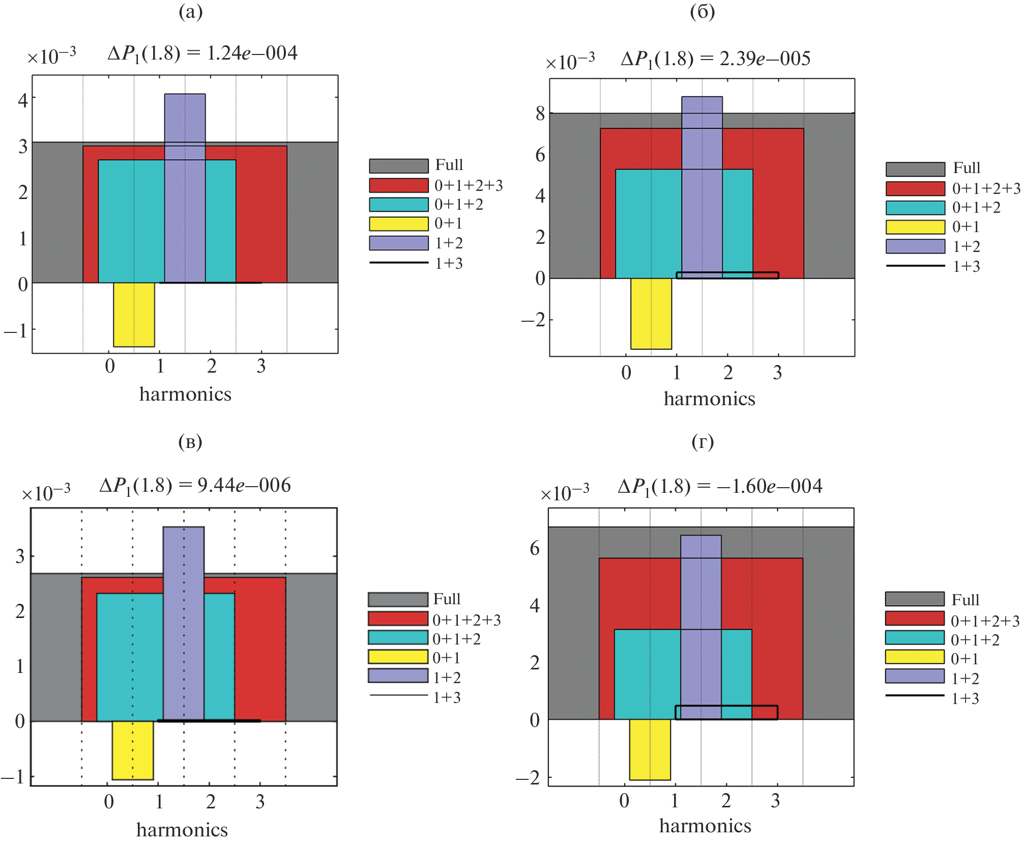
The contributions of various wave components (second, third and difference harmonics) to the formation of probability distributions of extreme wave heights, as well as amplitudes of crests and troughs, are evaluated based on the direct numerical simulation of irregular nonlinear deep water waves within three-dimensional potential equations of hydrodynamics. The simulation results taking into account 4- and 5-wave nonlinear interactions are analyzed. Different non-linear harmonics participate in the formation of the probability distributions in nontrivial way, essentially not satisfying the principles of linear superposition and ordering of the contribution by the parameter of weak nonlinearity.
About the authors
A. V. Slunyaev
Institute of Applied Physics RAS; Il'ichev Pacific Oceanological Institute, Far Eastern Branch RAS; National Research University Higher School of Economics
Author for correspondence.
Email: slunyaev@ipfran.ru
Russia, 603950, Nizhny Novgorod, Ulyanova Street, 46; Russia, 690041, Vladivostok, Baltijskaya Street, 43; Russia, 603155, Nizhny Novgorod, Bolshaya Pechiorskaya Street, 25/12
References
- Захаров В.Е. Устойчивость периодических волн на поверхности глубокой жидкости // Журн. прикл. механики и техн. физики. 1968. Т. 9. С. 86–94.
- Слюняев А.В. Нелинейное уравнение высокого порядка для огибающей гравитационных волн на воде конечной глубины // ЖЭТФ. 2005. V. 128. P. 1061–1077.
- Слюняев А.В., Кокорина А.В. Численное моделирование “волн-убийц” на морской поверхности в рамках потенциальных уравнений Эйлера // Изв. РАН. Физика атмосферы и океана. 2020. Т. 56. С. 210–223.
- Слюняев А.В., Пелиновский Д.Е., Пелиновский Е.Н. Морские волны-убийцы: наблюдения, физика и математика // Успехи физических наук. 2023. Т. 193. С. 155–181.
- Adcock T.A.A., Taylor P.H., Yan S., Ma Q.W., Janssen P.A.E.M. Did the Draupner wave occur in a crossing sea? // Proc. R. Soc. A. 2011. V. 467. P. 3004–3021.
- Annenkov S.Y., Shrira V.I. Effects of finite non-Gaussianity on evolution of a random wind wave field // Phys. Rev. E. 2022. V. 106. L042102.
- Annenkov S.Y., Shrira V.I. Spectral evolution of weakly nonlinear random waves: kinetic description versus direct numerical simulations // J. Fluid Mech. 2018. V. 844. P. 766–795.
- Chalikov D.V. Numerical modeling of sea waves. Springer, 2016. 306 p.
- Chalikov D., Bulgakov K. Estimation of wave height probability based on the statistics of significant wave height // J. Ocean Eng. Mar. Energy. 2017. V. 3. P. 417–423.
- Christou M., Ewans K. Field measurements of rogue water waves // J. Phys. Oceanogr. 2014. V. 44. P. 2317–2335.
- Dalzell J.F. A note on finite depth second-order wave-wave interactions // Appl. Ocean Res. 1999. V. 21. P. 105–111.
- Dommermuth D. The initialization of nonlinear waves using an adjustment scheme // Wave Motion. 2000. V. 32. P. 307–317.
- Dommermuth D., Yue D.K.P. A high–order spectral method for the study of nonlinear gravity waves // J. Fluid Mech. 1987. V. 184. P. 267–288.
- Ducrozet G., Bonnefoy F., Touzé D.Le, Ferrant P. HOS-ocean: Open-source solver for nonlinear waves in open ocean based on High-Order Spectral method // Computer Physics Communications. 2016. V. 203. P. 245–254.
- Dyachenko A.I., Kachulin D.I., Zakharov V.E. Freak-waves: compact equation versus fully nonlinear one / In “Extreme ocean waves” Eds.: Pelinovsky E., Kharif C. Springer, 2016. P. 23–44.
- Fedele F., Brennan J., Ponce de León S., Dudley J., Dias F. Real world ocean rogue waves explained without the modulational instability // Sci. Rep. 2016. V. 6. P. 27715.
- Holthuijsen L.H. Waves in oceanic and coastal waters. Cambridge Univ. Press. 2007. 387 p.
- Kachulin D., Dyachenko A., Gelash A. Interactions of coherent structures on the surface of deep water // Fluids. 2019. V. 4. P. 83.
- Kharif C., Pelinovsky E., Slunyaev A. Rogue Waves in the Ocean. Springer-Verlag Berlin Heidelberg, 2009. 216 p.
- Massel S.R. Ocean surface waves: Their physics and prediction. World Scientifc Publ., Singapore, 1996. 491 p.
- Onorato M., Osborne R., Serio M. On the relation between two numerical methods for the computation of random surface gravity waves // Eur. J. Mech. B/Fluids. 2007. V. 26. P. 43–48.
- Sergeeva A., Slunyaev A. Rogue waves, rogue events and extreme wave kinematics in spatio-temporal fields of simulated sea states // Nat. Hazards Earth Syst. Sci. 2013. V. 13. P. 1759–1771.
- Slunyaev A., Klein M., Clauss G.F. Laboratory and numerical study of intense envelope solitons of water waves: generation, reflection from a wall and collisions // Physics of Fluids. 2017. V. 29. P. 047103.
- Slunyaev A., Kokorina A. Account of occasional wave breaking in numerical simulations of irregular water waves in the focus of the rogue wave problem // Water Waves. 2020. V. 2. P. 243–262.
- Slunyaev A.V. Effects of coherent dynamics of stochastic deep-water waves // Phys. Rev. E. 2020. V. 101. P. 062214.
- Slunyaev A.V. Persistence of hydrodynamic envelope solitons: detection and rogue wave occurrence // Phys. Fluids. 2021. V. 33. P. 036606.
- Slunyaev A.V., Kokorina A.V. Soliton groups as the reason for extreme statistics of unidirectional sea waves // J. Ocean Eng. Marine Energy. 2017. V. 3. P. 395–408.
- Slunyaev A.V., Sergeeva A.V., Didenkulova I. Rogue events in spatiotemporal numerical simulations of unidirectional waves in basins of different depth // Natural Hazards. 2016. V. 84. P. 549–565.
- Tanaka M. A method of studying nonlinear random field of surface gravity waves by direct numerical simulation // Fluid Dyn. Res. 2001a. V. 28. P. 41–60.
- Tanaka M. Verification of Hasselmann’s energy transfer among surface gravity waves by direct numerical simulations of primitive equations // J. Fluid Mech. 2001b. V. 444. P. 199–221.
- West B.J., Brueckner K., Janda R.S., Milder D.M., Milton R.L. A new numerical method for surface hydrodynamics // J. Geophys. Res. 1987. V. 92. P. 11803–11824.
- Xiao W., Liu Y., Wu G., Yue D.K.P. Rogue wave occurrence and dynamics by direct simulations of nonlinear wave-field evolution // J. Fluid Mech. 2013. V. 720. P. 357–392.
Supplementary files

















