Отклик тропосферной динамики на экстремальные состояния стратосферного полярного вихря в различные фазы ЭНЮК в идеализированных модельных экспериментах
- Авторы: Зюляева Ю.А.1,2, Собаева Д.А.1,3, Гулев С.К.1
-
Учреждения:
- Институт океанологии им. П.П. Ширшова РАН
- Факультет географии и геоинформационных технологий, Высшая школа экономики
- Московский физико-технический институт
- Выпуск: Том 59, № 6 (2023)
- Страницы: 707-719
- Раздел: Статьи
- URL: https://journals.rcsi.science/0002-3515/article/view/162273
- DOI: https://doi.org/10.31857/S0002351523060135
- EDN: https://elibrary.ru/TXKQWF
- ID: 162273
Цитировать
Полный текст
Аннотация
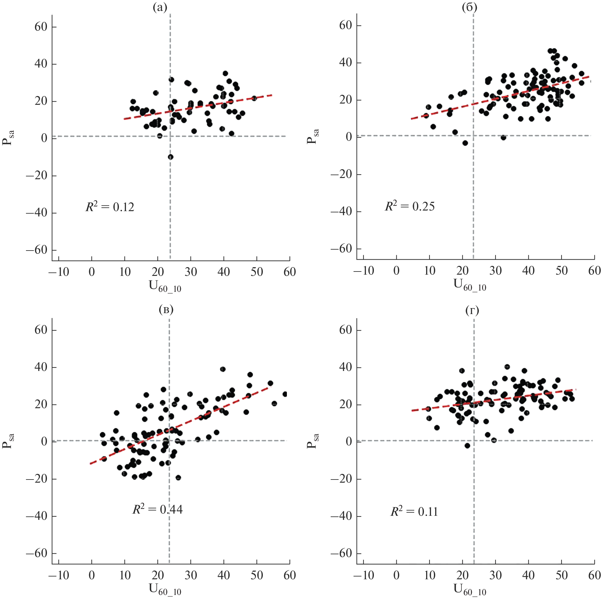
Экстремальные состояния стратосферного полярного вихря (СПВ) могут влиять на среднее положение основных траекторий распространения синоптических вихрей в Северном полушарии на временном периоде от 2 недель до 2 месяцев. Данный временной масштаб считается одним из самых сложных периодов в практике прогнозирования. На основе анализа данных идеализированных численных экспериментов, с использованием программной среды Isca, были изучены процессы формирования аномальных положений шторм-треков в Атлантико-Европейском регионе как отклика на внезапные стратосферные потепления и события экстремально сильного СПВ при различных фазах Эль-Ниньо Южного колебания. Было показано, что в зимний период нельзя однозначно сказать о смещении Атлантического шторм-трека к югу при событиях Эль-Ниньо без учета интенсивности СПВ. Максимальным прогностическим потенциалом интенсивность СПВ, выраженная как зональная компонента скорости ветра, осредненная вдоль 60° с.ш. на уровне 10 гПа, обладает в условиях Эль-Ниньо.
Об авторах
Ю. А. Зюляева
Институт океанологии им. П.П. Ширшова РАН; Факультет географии и геоинформационных технологий, Высшая школа экономики
Email: dasha.sobaeva@gmail.com
Россия, 117997, Москва, Нахимовский проспект, д. 36; Россия, 109028, Москва, Покровский бульвар, д. 11
Д. А. Собаева
Институт океанологии им. П.П. Ширшова РАН; Московский физико-технический институт
Автор, ответственный за переписку.
Email: dasha.sobaeva@gmail.com
Россия, 117997, Москва, Нахимовский проспект, д. 36; Россия, 141701, Московская область, Долгопрудный, Институтский переулок, д. 9
С. К. Гулев
Институт океанологии им. П.П. Ширшова РАН
Email: dasha.sobaeva@gmail.com
Россия, 117997, Москва, Нахимовский проспект, д. 36
Список литературы
- Варгин П.Н., Медведева И.В. Исследование температурного и динамического режимов внетропической атмосферы Северного полушария в период внезапного стратосферного потепления зимой 2012-2013 гг. // Изв. РАН. Физика атмосферы и океана. 2015. Т. 51. №. 1. С. 20–20.
- Коленникова М.А., Варгин П.Н., Гущина Д.Ю. Влияние Эль-Ниньо на стратосферу Арктики по данным моделей CMIP5 и реанализа // Метеорология и гидрология. 2021. №. 6. С. 5–23.
- Нерушев А.Ф., Вишератин К.Н., Ивангородский Р.В. Динамика высотных струйных течений по данным спутниковых измерений и их связь с климатическими параметрами и крупномасштабными атмосферными явлениями // Исследование Земли из космоса. 2018. № 6. С. 24–38.
- Ambaum M.H.P., Hoskins B. . The NAO troposphere–stratosphere connection // J. Clim. 2002. V. 15. № 14. P. 1969–1978.
- Anstey J.A., Scinocca J.F., Keller M. Simulating the QBO in an atmospheric general circulation model: Sensitivity to resolved and parameterized forcing // J. Atmos. Sci. 2016. V. 73. № 4. P. 1649–1665.
- Asbaghi G., Joghataei M., Mohebalhojeh A.R. Impacts of the QBO on the North Atlantic and Mediterranean storm tracks: An energetic perspective // Geophys. Res. Lett. 2017. V. 44. № 2. P. 1060–1067.
- Baldwin M.P. et al. Weather from the stratosphere? // Science. 2003. V. 301. № 5631. P. 317–319.
- Baldwin M.P., Dunkerton T.J. Stratospheric harbingers of anomalous weather regimes // Science. 2001. V. 294. № 5542.
- Baldwin M.P., Thompson D.W.J. A critical comparison of stratosphere–troposphere coupling indices // Q. J. R. Meteorol. Soc.: A journal of the atmospheric sciences, applied meteorology and physical oceanography. 2009. V. 135. № 644. P. 1661–1672.
- Blackmon M.L. A climatological spectral study of the 500 mb geopotential height of the Northern Hemisphere // J. Atmos. Sci. 1976. V. 33. № 8. P. 1607–1623.
- Blackmon M.L. et al. An observational study of the Northern Hemisphere wintertime circulation // J. Atmos. Sci. 1977. V. 34. № 7. P. 1040–1053.
- Blackmon M.L., Lee Y.H., Wallace J.M. Horizontal structure of 500 mb height fluctuations with long, intermediate and short time scales // J. Atmos. Sci. 1984. V. 41. № 6. P. 961–980.
- Butler A.H. et al. Defining sudden stratospheric warmings // Bull. Am. Meteorol. Soc. 2015. V. 96. № 11. P. 1913–1928.
- Chang E.K.M. et al. Storm-track activity in IPCC AR4/CMIP3 model simulations // J. Clim. 2013. V. 26. № 1. P. 246–260.
- Chang E., Lee S., Swanson K. Storm Track Dynamics // J. Climate. 2002. V. 15. P. 2163–2182.
- Charlton A.J., Polvani L.M. A new look at stratospheric sudden warmings. Part I: Climatology and modeling benchmarks // J. Clim. 2007. V. 20. № 3. P. 449–469.
- Domeisen D.I.V., Garfinkel C.I., Butler A.H. The teleconnection of El Niño Southern Oscillation to the stratosphere // Rev. Geophys. 2019. V. 57. № 1. P. 5–47.
- Duchon C.E. Lanczos Filtering in One and Two Dimensions // J. Appl. Meteorol. 1979. V. 18. P. 1016–1022.
- Fink A.H. et al. The European storm Kyrill in January 2007: synoptic evolution, meteorological impacts and some considerations with respect to climate change // Nat. Hazards Earth Syst. Sci. 2009. V. 9. № 2. P. 405–423.
- Fortuin J.P.F., Langematz U. Update on the global ozone climatology and on concurrent ozone and temperature trends // Proc. SPIE. 1995. V. 2311. P. 207–216.
- Graff L.S., LaCasce J.H. Changes in the extratropical storm tracks in response to changes in SST in an AGCM // J. Clim. 2012. V. 25. № 6. P. 1854–1870.
- Gushchina D. et al. On the relationship between ENSO diversity and the ENSO atmospheric teleconnection to high-latitudes // Int. J. Climatol. 2022. V. 42. № 2. P. 1303–1325.
- Held I.M., Lyons S.W., Nigam S. Transients and the extratropical response to El Niño // J. Atmos. Sci. 1989. V. 46. № 1. P. 163–174.
- Hitchcock P., Simpson I.R. The downward influence of stratospheric sudden warmings //J. Atmos. Sci. 2014. V. 71. № 10. P. 3856–3876.
- Horel J.D., Wallace J.M. Planetary-scale atmospheric phenomena associated with the Southern Oscillation // Mon. Weather Rev. 1981. V. 109. № 4. P. 813–829.
- Hoskins B.J., Karoly D.J. The steady linear response of a spherical atmosphere to thermal and orographic forcing // J. Atmos. Sci. 1981. V. 38. № 6. P. 1179–1196.
- Hoskins B.J., Pearce R. Large-Scale Dynamical Processes in the Atmosphere. London, N.Y.: Academic Press, 1983. 397 p.
- Hoskins B.J., Valdes P.J. On the existence of storm-tracks // J. Atmos. Sci. 1990. V. 47. № 15. P. 1854–1864.
- Hurrell J.W. et al. A new sea surface temperature and sea ice boundary dataset for the Community Atmosphere Model // J. Clim. 2008. V. 21. № 19. P. 5145–5153.
- Jucker M., Gerber E.P. Untangling the annual cycle of the tropical tropopause layer with an idealized moist model // J. Clim. 2017. V. 30. № 18. P. 7339–7358.
- Karpechko A.Y. et al. Predictability of downward propagation of major sudden stratospheric warmings // Q. J. R. Meteorol. Soc. 2017. V. 143. № 704. P. 1459–1470.
- Kidston J. et al. Stratospheric influence on tropospheric jet streams, storm tracks and surface weather // Nat. Geosci. 2015. V. 8. № 6. P. 433–440.
- Kolstad E.W., Breiteig T., Scaife A.A. The association between stratospheric weak polar vortex events and cold air outbreaks in the Northern Hemisphere // Q. J. R. Meteorol. Soc. 2010. V. 136. № 649. P. 886–893.
- Kretschmer M. et al. The different stratospheric influence on cold-extremes in Eurasia and North America // NPJ Clim. Atmos. Sci. 2018. V. 1. № 1. P. 44.
- Kug J.S., Jin F.F., An S.I. Two types of El Niño events: cold tongue El Niño and warm pool El Niño // J. Clim. 2009. V. 22. № 6. P. 1499–1515.
- Leathers D.J., Yarnal B., Palecki M.A. The Pacific/North American teleconnection pattern and United States climate. Part I: Regional temperature and precipitation associations // J. Clim. 1991. V. 4. № 5. P. 517–528.
- L’Heureux M.L., Thompson D.W.J. Observed relationships between the El Niño–Southern Oscillation and the extratropical zonal-mean circulation // J. Clim. 2006. V. 19. № 2. P. 276–287.
- Lu J., Chen G., Frierson D.M.W. Response of the zonal mean atmospheric circulation to El Niño versus global warming // J. Clim. 2008. V. 21. № 22. P. 5835–5851.
- Martineau P., Son S.W. Onset of circulation anomalies during stratospheric vortex weakening events: The role of planetary-scale waves // J. Clim. 2015. V. 28. № 18. P. 7347–7370.
- Orlanski I. Poleward deflection of storm tracks // J. Atmos. Sci. 1998. V. 55. № 16. P. 2577–2602.
- Rayner N.A.A. et al. Global analyses of sea surface temperature, sea ice, and night marine air temperature since the late nineteenth century // J. Geophys. Res. Atmos. 2003. V. 108. № D14.
- Reynolds R.W. et al. Daily high-resolution-blended analyses for sea surface temperature // J. Clim. 2007. V. 20. № 22. P. 5473–5496.
- Sampe T. et al. Significance of a midlatitude SST frontal zone in the formation of a storm track and an eddy-driven westerly jet // J. Clim. 2010. V. 23. № 7. P. 1793–1814.
- Santoso A., Mcphaden M., Cai W. The defining characteristics of ENSO extremes and the strong 2015/2016 El Nino // Rev. Geophys. 2017. V. 55. № 4. P. 1079–1129.
- Schneidereit A., Schubert S., Vargin P., Lunkeit F., Zhu X., Peters D., Fraedrich K. Large scale flow and the longlasting blocking high over Russia: Summer 2010 // Mon. Wea. Rev. 2012. V. 140. P. 2967–2981.
- Seager R. et al. Mechanisms of hemispherically symmetric climate variability // J. Clim. 2003. V. 16. № 18. P. 2960–2978.
- Sobaeva D., Zyulyaeva Y., Gulev S. ENSO and PDO Effect on Stratospheric Dynamics in Isca Numerical Experiments // Atmosphere. 2023. V. 14. № 459. https://doi.org/10.3390/atmos14030459
- Sun C., Li J., Ding R. Strengthening relationship between ENSO and western Russian summer surface temperature. // Geophys. Res. Lett. 2016. V. 43. P. 843–851.
- Thomson S.I., Vallis G.K. Atmospheric response to SST anomalies. Part I: Background-state dependence, teleconnections, and local effects in winter // J. Atmos. Sci. 2018. V. 75. № 12. P. 4107–4124.
- Tilinina N. et al. Comparing cyclone life cycle characteristics and their interannual variability in different reanalyses // J. Clim. 2013. V. 26. № 17. P. 6419–6438.
- Trenberth K.E. The definition of El Nino // Bull. Am. Meteorol. Soc. 1997. V. 78. № 12. P. 2771–2778.
- Trenberth K.E. et al. Progress during TOGA in understanding and modeling global teleconnections associated with tropical sea surface temperatures // J. Geophys. Res. Oceans. 1998. V. 103. № C7. P. 14291–14324.
- Ulbrich U. et al. The central European floods of August 2002: Part 1-Rainfall periods and flood development // Weather. 2003. V. 58. № 10. P. 371–377.
- Vallis G.K. et al. Isca, v1. 0: A framework for the global modelling of the atmospheres of Earth and other planets at varying levels of complexity // Geosci. Model Dev. 2018. V. 11. № 3. P. 843–859.
- Vargin P. N. et al. Investigation of boreal storm tracks in historical simulations of INM CM5 and reanalysis data // IOP Conference Series: Earth and Environmental Science. 2019. V. 386. № 1. P. 012007.
- White I. et al. The downward influence of sudden stratospheric warmings: Association with tropospheric precursors // J. Clim. 2019. V. 32. № 1. P. 85–108.
- Yin J.H. A consistent poleward shift of the storm tracks in simulations of 21st century climate // Geophys. Res. Lett. 2005. V. 32. № 18.
- https://www.gfdl.noaa.gov/model-development.
Дополнительные файлы











