On the Types of Instability of a Geostrophic Current with a Vertical Parabolic Profile of Velocity
- Authors: Kuzmina N.P.1, Skorokhodov S.L.2, Zhurbas N.V.1, Lyzhkov D.A.1
 - 
							Affiliations: 
							
- Shirshov Institute of Oceanology Russian Academy of Sciences
 - Federal Research Center “Computer Science and Control”, Russian Academy of Sciences
 
 - Issue: Vol 59, No 2 (2023)
 - Pages: 230-241
 - Section: Articles
 - URL: https://journals.rcsi.science/0002-3515/article/view/136926
 - DOI: https://doi.org/10.31857/S000235152301008X
 - EDN: https://elibrary.ru/GDTHFU
 - ID: 136926
 
Cite item
Full Text
Abstract
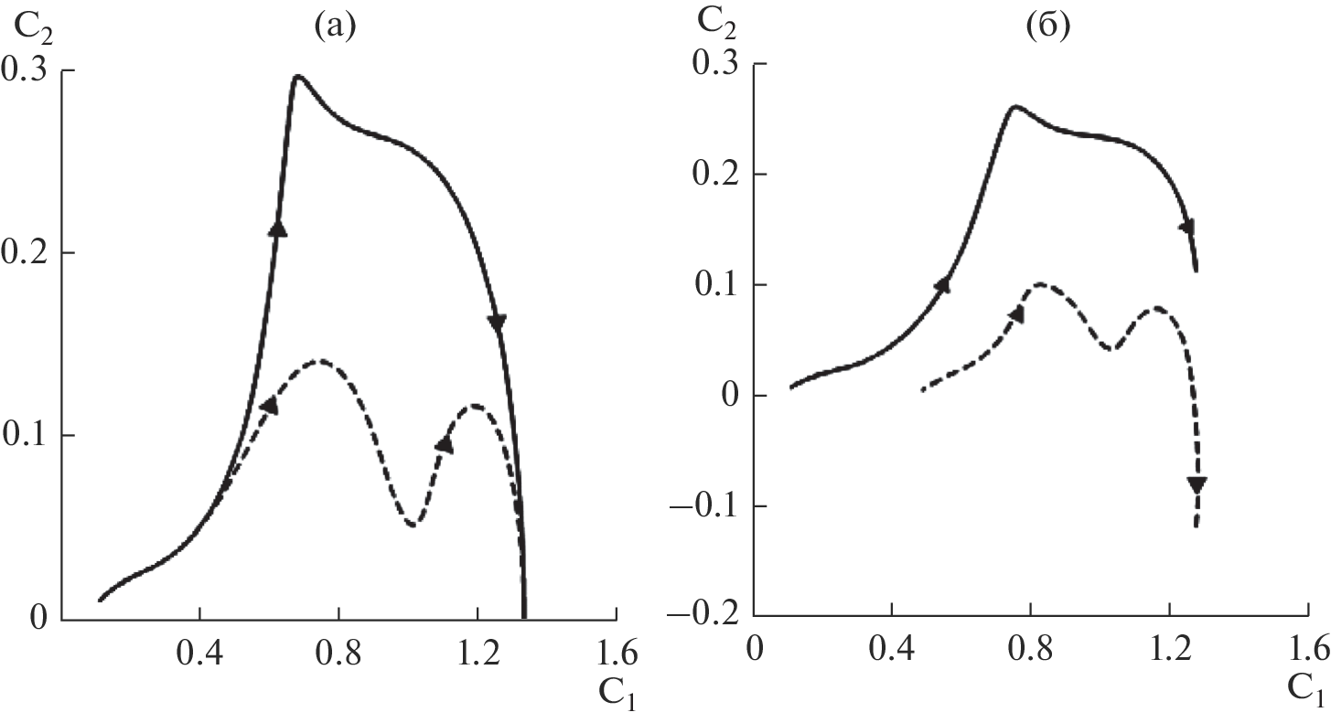
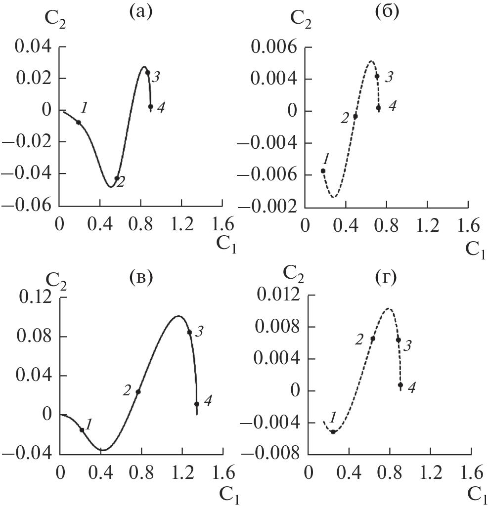
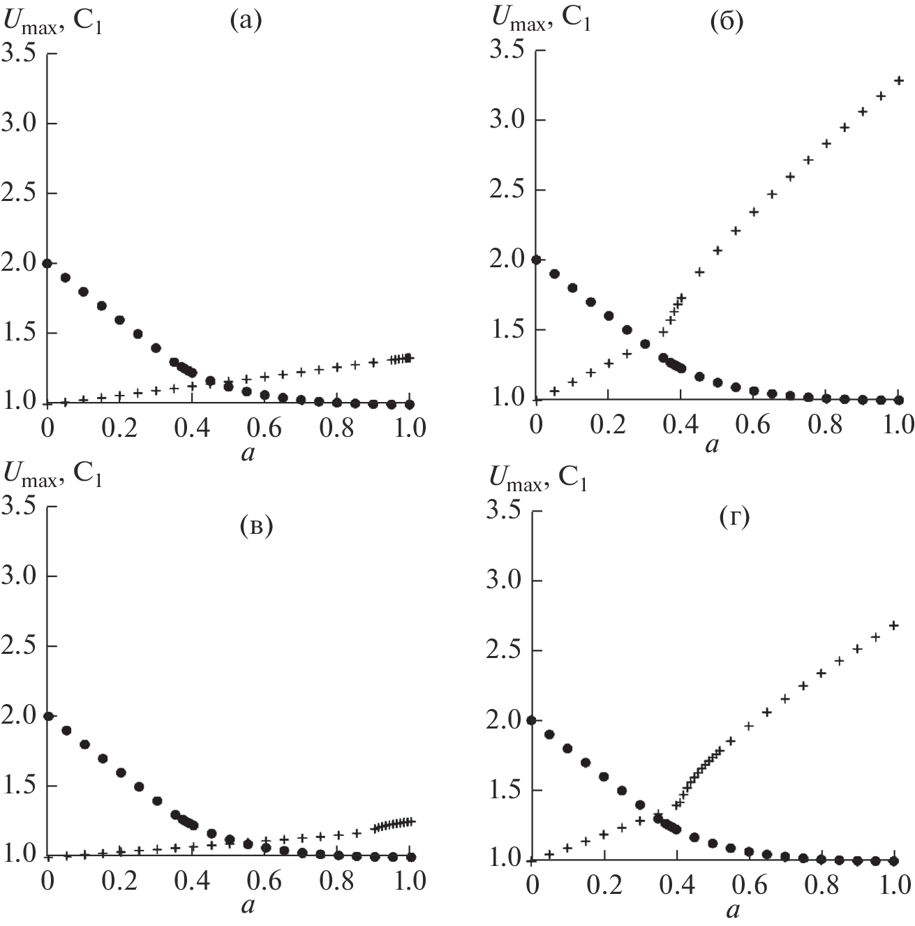
An analysis is made of unstable perturbations of a geostrophic current of finite transverse scale with a parabolic vertical velocity profile of a general form (with linear and constant velocity shear) in vertically limited layer. The model is based on the potential vortex equation in the quasi-geostrophic approximation, taking into account the vertical diffusion of momentum and mass. The equation and boundary conditions were reduced to a spectral eigenvalue problem of the Orr-Sommerfeld type. To search for eigenfunctions and eigenvalues, a high-precision analytic-numerical method was used. Particular attention was paid to the study of unstable perturbations with a phase velocity exceeding the maximum flow velocity. Such instability should be distinguished from baroclinic instability and critical layer instability. It is found that the indicated instability can develop in ocean currents when the problem parameters vary in a wide range of values. It is obtained also that with an increase in the Prandtl number, the phase velocity of such disturbances increases and can significantly exceed the maximum flow velocity. However, the occurrence of such unstable perturbations is possible only in the cases when the maximum flow velocity is located in the inner region of the layer (but not necessarily in its center). It has also been found that narrow currents (the transverse scale is equal to or smaller than the Rossby radius) with a parabolic vertical profile can be unstable. The most unstable perturbations have approximately equal scales along and across the flow, that is, they are circular perturbations. A discussion of various types of geostrophic current instability with a parabolic vertical velocity profile as applied to the ocean is presented.
About the authors
N. P. Kuzmina
Shirshov Institute of Oceanology Russian Academy of Sciences
							Author for correspondence.
							Email: kuzmina@ocean.ru
				                					                																			                												                								Russia, 117997, Moscow, Nahimovskiy Prosp., 36						
S. L. Skorokhodov
Federal Research Center “Computer Science and Control”, Russian Academy of Sciences
							Author for correspondence.
							Email: sskorokhodov@gmail.com
				                					                																			                												                								Russia, 119333, Moscow, Vavilov str., 44						
N. V. Zhurbas
Shirshov Institute of Oceanology Russian Academy of Sciences
														Email: sskorokhodov@gmail.com
				                					                																			                												                								Russia, 117997, Moscow, Nahimovskiy Prosp., 36						
D. A. Lyzhkov
Shirshov Institute of Oceanology Russian Academy of Sciences
														Email: sskorokhodov@gmail.com
				                					                																			                												                								Russia, 117997, Moscow, Nahimovskiy Prosp., 36						
References
- Журбас В.М., Кузьмина Н.П., Озмидов Р.В., Голенко Н.Н., Пака В.Т. О проявлении процесса субдукции в термохалинных полях вертикальной тонкой структуры и горизонтальной мезоструктуры во фронтальной зоне Азорского течения // Океанология. 1993. Т.33. № 3. С. 321–326.
 - Калашник М.В. К теории симметричной и несимметричной устойчивости зональных геострофических течений // Изв. РАН. Физика атмосферы и океана. 2001. Т. 37, № 3. С. 418 –421.
 - Кузьмина Н.П. Об одной гипотезе образования крупномасштабных интрузий в Арктическом бассейне// Фундаментальная и прикладная гидрофизика. 2016. Т.9. №2. С.15 –26.
 - Кузьмина Н.П., Родионов В.Б. О влиянии бароклинности на образование термохалинных интрузий в океанских фронтальных зонах // Изв. РАН. Физика атмосферы и океана. 1992. Т. 28. № 10–11. С. 1077–1086.
 - Кузьмина Н.П., Журбас Н.В., Емельянов М.В., Пыжевич М.Л. Применение моделей интерливинга для описания интрузионного расслоения на фронтах глубинной полярной воды Евразийского бассейна (Арктика) // Океанология. 2014. Т. 54. С. 594–604.
 - Кузьмина Н.П., Скороходов С.Л., Журбас Н.В., Лыжков Д.А. О неустойчивости геострофического течения с линейным вертикальным сдвигом скорости на масштабах интрузионного расслоения // Изв. РАН. Физика атмосферы и океана. 2018. Т. 54. № 1. С. 54–63.
 - Кузьмина Н.П., Скороходов С.Л., Журбас Н.В., Лыжков Д.А. Описание возмущений океанских геострофических течений с линейным вертикальным сдвигом скорости с учетом трения и диффузии плавучести// Изв. РАН. Физика атмосферы и океана. 2019. Т. 55. № 2. С. 73–85.
 - Кузьмина Н.П., Скороходов С.Л., Журбас Н.В., Лыжков Д.А. О влиянии трения и диффузии плавучести на динамику геострофических океанских течений с линейным вертикальным профилем скорости// Изв. РАН. Физика атмосферы и океана. 2020.Т.56. № 6. С.676 – 688.
 - Педлоски Дж. Геофизическая гидродинамика/ Под ред. Каменковича В.М., Монина А.С. М.: Мир, 1984. 812 с.
 - Скороходов С.Л. Численный анализ спектра задачи Орра-Зоммерфельда // Журнал вычислительной математики и математической физики. 2007а. Т. 47. № 10. С. 1672–1691.
 - Скороходов С.Л. Точки ветвления собственных значений оператора Орра-Зоммерфельда // Доклады Академии Наук. 2007б. Т. 416. № 5. С. 600–605.
 - Скороходов С.Л., Кузьмина Н.П. Эффективный метод решения модифицированной задачи Орра-Зоммерфельда для анализа неустойчивости течений в Арктическом бассейне // Таврический вестник информатики и математики. 2016. № 3. С. 88 – 97.
 - Скороходов С.Л., Кузьмина Н.П. Аналитико-численный метод решения задачи типа Орра-Зоммерфельда для анализа неустойчивости течений в океане // Журнал вычислительной математики и математической физики. 2018. Т. 58. № 6. С. 976–992.
 - Скороходов С.Л., Кузьмина Н.П., Спектральный анализ модельных течений типа Куэтта применительно к океану// Журнал вычислительной математики и математической физики. 2019. Т. 59. № 5. С. 106 –127.
 - Скороходов С.Л., Кузьмина Н.П. Спектральный анализ малых возмущений геострофических течений с параболическим вертикальным профилем скорости применительно к океану// Журнал вычислительной математики и математической физики. 2021. Т. 61. № 12. С. 2010–2023.
 - Океанология. Физика океана. Том. 2. Гидродинамика океана / Под ред. Каменковича В.М., Монина А.С. М.: Наука, 1978. 456 с.
 - Шакина Н. П. Лекции по динамической метеорологии. М.: Триада ЛТД, 2013. 160 с.
 - Cushman-Roisin B. Introduction to the Geophysical Fluid Dynamics. New Jersey 07632, Englewood Cliffs: Prentice Hall, 1994. 320 p.
 - Eady E.T. Long waves and cyclone waves // Tellus. 1949. Vol. 1 № 3. P. 33–52.
 - Howard L.N. Note on paper of John W. Miles// Fluid Mech.1961.V.10. № 4. P. 509–512.
 - Kuzmina, N. P. On the parameterization of interleaving and turbulent mixing using CTD data from the Azores Frontal Zone// J. Mar. Syst. 2000. V. 23. 285–302.
 - Kuzmina, N.P. Generation of large-scale intrusions at baroclinic fronts: an analytical consideration with a reference to the Arctic Ocean // Ocean Science. 2016. V.12. P. 1269 – 1277. https://doi.org/10.5194/os-12-1269-2016
 - Kuzmina N., Rudels B., Zhurbas V., Stipa T. On the structure and dynamical features of intrusive layering in the Eurasian Basin in the Arctic Ocean // J. Geophys. Res. 2011. Vol. 116. C00D11, https://doi.org/10.1029/2010JC006920
 - Lin, C. C. The Theory of Hydrodynamic Stability. Cambridge University Press, 1955. 155 p.
 - Miles, J. W. Effect of Diffusion on Baroclinic Instability of the Zonal Wind // J. Atmos. Sci. 1965. V. 22. P. 146–151.
 - Stern, M. E. Lateral mixing of water masses// Deep Sea Res. 1967. Part A. V. 14. 747–753.
 - Stern M. E. Ocean circulation physics. Academic press, 1975. 246 p.
 - Zhurbas N. V. On the eigenvalue spectra for a model problem describing formation of the large-scale intrusions in the Arctic basin// Fundamentalnaya I Prikladnaya Gidrofizika. 2018. V.11. № 1. P. 40–45.https://doi.org/10.7868/S2073667318010045
 
Supplementary files
				
			
					
						
						
						
						
				









