СТРУКТУРНЫЕ МОДЕЛИ ДЛЯ ОБНАРУЖЕНИЯ НЕИСПРАВНОСТЕЙ КОНЕЧНЫХ АВТОМАТОВ МУРА
- Авторы: Соловьев В.В.1
-
Учреждения:
- Белостокский технологический ун-т
- Выпуск: № 6 (2023)
- Страницы: 110-123
- Раздел: ДИСКРЕТНЫЕ СИСТЕМЫ
- URL: https://journals.rcsi.science/0002-3388/article/view/148143
- DOI: https://doi.org/10.31857/S0002338823060100
- EDN: https://elibrary.ru/GSVCXM
- ID: 148143
Цитировать
Полный текст
Аннотация
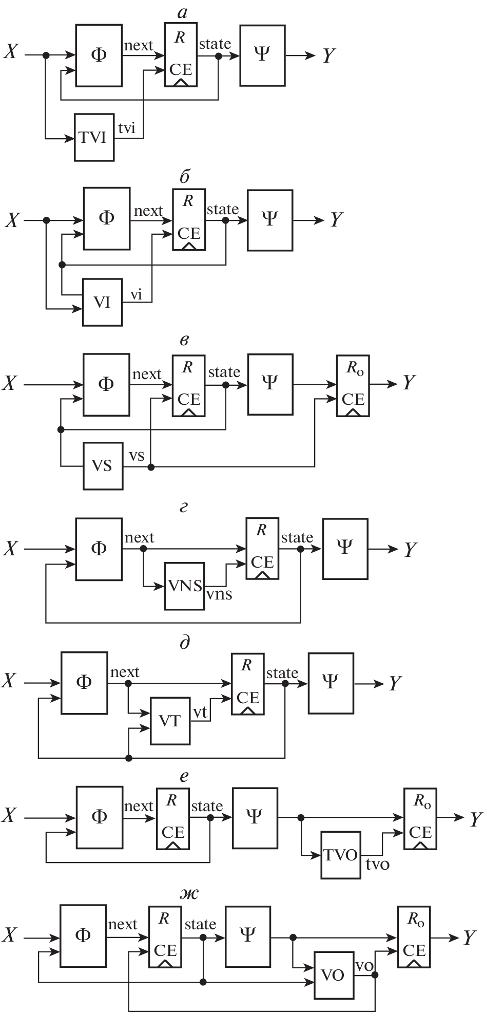
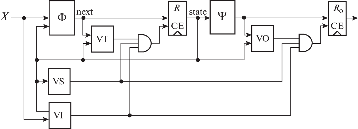
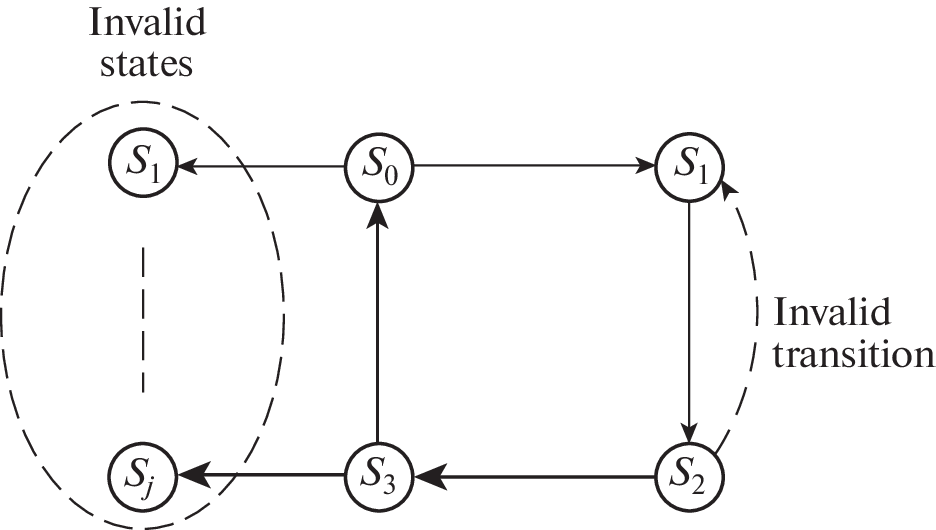
Обнаружение неисправностей является важной задачей при проектировании отказоустойчивых конечных автоматов. Предлагаются структурные модели конечных автоматов Мура для обнаружения многократных неисправностей в различных элементах конечного автомата и предотвращения их негативного воздействия на управляемый объект. Рассматриваемые структурные модели позволяют обнаруживать недопустимые входные и выходные векторы как в каждом состоянии, так и для всего автомата, недопустимый код настоящего и следующего состояния автомата, а также недопустимые переходы между состояниями. Издержки реализации предлагаемых структур по площади в среднем составляют от 3 до 26%, а быстродействие автомата либо не изменяется, либо даже увеличивается в среднем на 24–30%. Приводятся оценки площади и быстродействия предлагаемых структурных моделей конечных автоматов, даются рекомендации для их практического использования. Показано, что выбор подходящей структуры позволяет не увеличивать площадь, а в некоторых случаях даже приводит к возрастанию быстродействия конечного автомата.
Об авторах
В. В. Соловьев
Белостокский технологический ун-т
Автор, ответственный за переписку.
Email: valsol@mail.ru
Польша, Белосток
Список литературы
- Park S., Kim H.T., Lee S., Joo H., Kim H. Survey on Anti-Drone Systems: Components, Designs, and Challenges // IEEE Access. 2021. № 9. P. 42635–42659.
- Соловьев В.В. Использование методики ASMD-FSMD при проектировании на программируемых логических интегральных схемах устройств обработки сигналов // РЭ. 2021. Т. 66. № 12. С. 1178–1188.
- Salauyou V., Zabrocki Ł. Coding Techniques in Verilog for Finite State Machine Designs in FPGA // Proc. Intern. Conf. on Computer Information Systems and Industrial Management. Belgrade. Serbia: Springer. Cham, 2019. P. 493–505.
- Lyons R.E., Vanderkulk W. The Use of Triple-Modular Redundancy to Improve Computer Reliability // IBM J. Research and Development. 1962. V. 6. № 2. P. 200–209.
- Aviziens A. Fault-Tolerant Systems // IEEE Transactions on Computers. 1976. V. 100. № 12. P. 1304–1312.
- Rochet R., Leveugle R., Saucier G. Analysis and Comparison of Fault Tolerant FSM Architecture Based on SEC Codes // Proc. IEEE Intern. Workshop on Defect and Fault Tolerance in VLSI Systems. Venice. Italy: IEEE, 1993. P. 9–16.
- Niranjan S., Frenzel J.F. A Comparison of Fault-Tolerant State Machine Architectures for Space-Borne Electronics // IEEE Transactions on Reliability. 1996. V. 45. № 1. P. 109–113.
- Carmichael C. Triple Module Redundancy Design Techniques for Virtex FPGAs // Xilinx Application Note XAPP197.1. 2001.
- Pontarelli S., Cardarilli G.C., Malvoni A., Ottavi M., Re M., Salsano A. System-on-Chip Oriented Fault-Tolerant Sequential Systems Implementation Methodology // Proc. IEEE Intern. Sympos. on Defect and Fault Tolerance in VLSI Systems. San Francisco. USA: IEEE, 2001. P. 455–460.
- Lima F., Carro L., Reis R. Designing Fault Tolerant Systems into SRAM-Based FPGAs // Proc. 40th Annual Design Automation Conf. Anaheim. USA: Machinery, 2003. P. 650–655.
- Burke G.R., Taft S. Fault Tolerant State Machines. Washington. USA: NASA, 2004.
- Berg M.A. Simplified Approach to Fault Tolerant State Machine Design for Single Event Upsets // Mentor Graphics Users’ Group User2User Conf. Santa Clara. USA, 2004.
- Tiwari A., Tomko K.A. Enhanced Reliability of Finite-State Machines in FPGA Through Efficient Fault Detection and Correction // IEEE Transactions on Reliability. 2005. V. 54. № 3. P. 459–467.
- Cassel M., Lima F. Evaluating One-Hot Encoding Finite State Machines for SEU Reliability in SRAM-based FPGAs // Proc. 12th IEEE Intern. On-Line Testing Sympos. Lake Como. Italia: IEEE, 2006. P. 139–144.
- Frigerio L., Salice F. RAM-Based Fault Tolerant State Machines for FPGAs // Proc. 22nd IEEE Intern. Sympos. on Defect and Fault-Tolerance in VLSI Systems. Rome. Italy: IEEE, 2007. P. 312–320.
- Azambuja J.R., Sousa F., Rosa L., Kastensmidt F.L. Evaluating Large Grain TMR and Selective Partial Reconfiguration for Soft Error Mitigation in SRAM-Based FPGAs // Proc. 15th IEEE Intern. On-Line Testing Sympos. Lisbon. Portugal: IEEE, 2009. P. 101–106.
- El-Maleh A.H., Al-Qahtani A.S. A Finite State Machine Based Fault Tolerance Technique for Sequential Circuits // Microelectronics Reliability. 2014. V. 54. № 3. P. 654–661.
- Sooraj S., Manasy M., Bhakthavatchalu R. Fault Tolerant FSM on FPGA Using SEC-DED Code Algorithm // Proc. Intern. Conf. on Technological Advancements in Power and Energy. Kollam. India: IEEE, 2017. P. 1–6.
- Nidhin T.S., Bhattacharyya A., Behera R.P., Jayanthi T., Velusamy K. Verification of Fault Tolerant Techniques in Finite State Machines Using Simulation Based Fault Injection Targeted at FPGAs for SEU Mitigation // Proc. 4th Intern. Conf. on Electronics and Communication Systems. Coimbatore. India: IEEE, 2017. P. 153–157.
- Choi S., Park J., Yoo H. Area-Efficient Fault Tolerant Design for Finite State Machines // Proc. Intern. Conf. on Electronics, Information, and Communication. Barcelona. Spain: IEEE, 2020. P. 1–2.
- Verducci O., Oliveira D.L., Batista G. Fault-Tolerant Finite State Machine Quasi Delay Insensitive in Commercial FPGA Devices // Proc. IEEE 13th Latin America Sympos. on Circuits and System. Santiago. Chile: IEEE, 2022. P. 1–4.
- Климович А.С., Соловьев В.В. Структурные модели конечных автоматов при их реализации на программируемых логических интегральных схемах и системах на кристалле // Изв. РАН. ТиСУ. 2015. № 2. С. 68–80.
- Yang S. Logic Synthesis and Optimization Benchmarks user Guide. Version 3.0 // Microelectronics Center of North Carolina (MCNC). North Carolina. USA: MCNC, 1991.
- Климович А.С., Соловьев В.В. Преобразование автомата типа Мили в автомат типа Мура путем расщепления внутренних состояний // Изв. РАН. ТиСУ. 2010. № 6. С. 70–79.
- Соловьев В.В. Синтез быстрых конечных автоматов на программируемых логических интегральных схемах путем расщепления внутренних состояний // Изв. РАН. ТиСУ. 2022. № 3. С. 69–80.
Дополнительные файлы









