Влияние лантана на теплоемкость и изменение термодинамических функций алюминиевого сплава AlMg5.5Li2.1Zr0.15 типа дюралюминий
- Authors: Ганиев И.Н.1, Савдуллоева С.С.1, Худойбердизода С.У.2
-
Affiliations:
- Институт химии им. В.И. Никитина Национальной академии наук Таджикистана
- Таджикский национальный университет
- Issue: Vol 60, No 7 (2024)
- Pages: 882-888
- Section: Articles
- URL: https://journals.rcsi.science/0002-337X/article/view/288169
- DOI: https://doi.org/10.31857/S0002337X24070125
- EDN: https://elibrary.ru/LQRFGO
- ID: 288169
Cite item
Full Text
Abstract
В работе приведены результаты исследования удельной теплоемкости алюминиевого сплава AlMg5.5Li2.1Zr0.15 типа дюралюминий с лантаном в режиме охлаждения в диапазоне 300–800 К. Получены полиномы, описывающие скорости охлаждения указанного сплава с лантаном и эталона. По экспериментально найденным скоростям охлаждения сплавов и эталона, зная их массы, были установлены полиномы температурной зависимости теплоемкости, которые описываются четырехчленным уравнением. Используя интегралы удельной теплоемкости, установили полиномы температурной зависимости изменения энтальпии, энтропии и энергии Гиббса для сплавов. Полученные зависимости показывают, что с ростом температуры теплоемкость, энтальпия и энтропия сплавов увеличиваются, а энергия Гиббса уменьшается, при этом от содержания лантана в сплаве наблюдается обратная зависимость.
Full Text
ВВЕДЕНИЕ
Алюминиевые деформируемые сплавы являются основными конструкционными материалами в самолетостроении, а также широко используются в других отраслях промышленности. Новые области применения сплавов требуют создания высокопрочных, коррозионностойких, хорошо сваривающихся алюминиевых сплавов и усовершенствования технологических процессов их обработки [1–5].
Теплофизические и механические свойства сплавов на основе алюминия, такие как теплоемкость, линейное расширение, плотность, теплопроводность, температуропроводность, являются важнейшими физическими характеристиками, определяющими поведения этих материалов при различных внешних воздействиях. К сожалению, имеющиеся данные даже для компонентов этих сплавов носят разрозненный и часто противоречивый характер. Так, практически нет систематизированных результатов, необходимых для увязывания термодинамических величин с удельной теплоемкостью, плотностью и коэффициентом температуропроводности [6, 7].
Исследование теплофизических и термодинамических свойств сплавов алюминия в зависимости от температуры представляет актуальную научную проблему, имеющую большую практическую значимость [7].
Сплавы системы Al–Mg–Li–Zr, несмотря на ряд технологических трудностей, в частности в связи с сильной окисляемостью лития при плавке, являются перспективными материалами в авиастроении. Эти сплавы по сравнению с традиционными алюминиевыми довольно дорогие, поэтому их применяют только в тех конструкциях, где необходимо снижение массы. Для повышения коррозионных и механических свойств в алюминиевые сплавы вводят добавки различных металлов. Одной из важнейших характеристик алюминиевых сплавов является теплоемкость [8].
Цель настоящей работы заключается в исследовании влияния добавки лантана на теплоемкость и изменение термодинамических функций сплава AlMg5.5Li2.1Zr0.15 типа дюралюминий.
ЭКСПЕРИМЕНТАЛЬНАЯ ЧАСТЬ
Обычно теплоемкость измеряют на установке ИТС-400, предназначенной для исследования температурной зависимости удельной теплоемкости. Нами исследование теплоемкости проводилось в режиме охлаждения образцов на установке, схема которой представлена на рис. 1. Данный прибор основан на применении динамического С-калориметра с адиабатической оболочкой и тепломером [9, 10].
Рис. 1. Схема установка для определения теплоемкости твердых тел в режиме охлаждения.
Установка состоит из следующих узлов: электропечь (3) смонтирована на стойке (6), по которой она может перемещаться вверх и вниз (стрелкой показано направление перемещения). Образец (4) и эталон (5) (тоже могут перемещаться) представляют собой цилиндр длиной 30 и диаметром 16 мм с высверленными с одного конца каналами, в которые вставлены термопары. Концы термопар подведены к цифровым многоканальным термометрам (7–9) которые подсоединены к компьютеру (10). Включается электропечь (3) через автотрансформатор (1), нужная температура устанавливается с помощью терморегулятора (2). По показаниям цифрового многоканального термометра отмечается значение начальной температуры. После нагрева образца и эталона в электропечи до нужной температуры они одновременно извлекаются из электропечи. С этого момента фиксируется снижение температуры через фиксированное время 10 с до T < 308 К.
Теплоемкость исследуемых образцов определяли по формуле
, (1)
где m1 = ρ1 · V1 и m2 = ρ2 · V2 – массы эталона и измеряемых образцов, и – скорости их охлаждения.
Исследование теплоемкости и изменения термодинамических функций сплава AlMg5.5Li2.1Zr0.15 с лантаном проводили по методике, описанной в работах [11–15].
Сплавы для исследования получали из алюминия марки A5N (ГОСТ 21631-76), магния металлического (ГОСТ 804-93), лития металлического (ГОСТ 8775.0-87), циркония металлического (ГОСТ 25278.10-82) и лантана металлического (ГОСТ 23862.5-79). В шахтной лабораторной печи типа СШОЛ предварительно синтезировали лигатуры алюминия с 2.0 мас. % циркония и с 2 мас. % лантана. Шихтовку сплавов проводили с учетом угара магния, лития и лантана. В графитовой изложнице из полученных сплавов отливали цилиндрические образцы диаметром 16, длиной 30 мм. Для изучения влияния добавки лантана на теплофизические свойства сплава AlMg5.5Li2.1Zr0.15 были получены серии сплавов с содержанием лантана в диапазоне 0.01–1.0 мас. %. Химический состав синтезированных сплавов определяли в Центральной заводской лаборатории ГУП ТАлКо, контролируя массы шихты и полученных сплавов. Исследованиям подвергали сплавы, масса которых отличалась от массы шихты не более чем на 2 отн. %.
РЕЗУЛЬТАТЫ И ОБСУЖДЕНИЕ
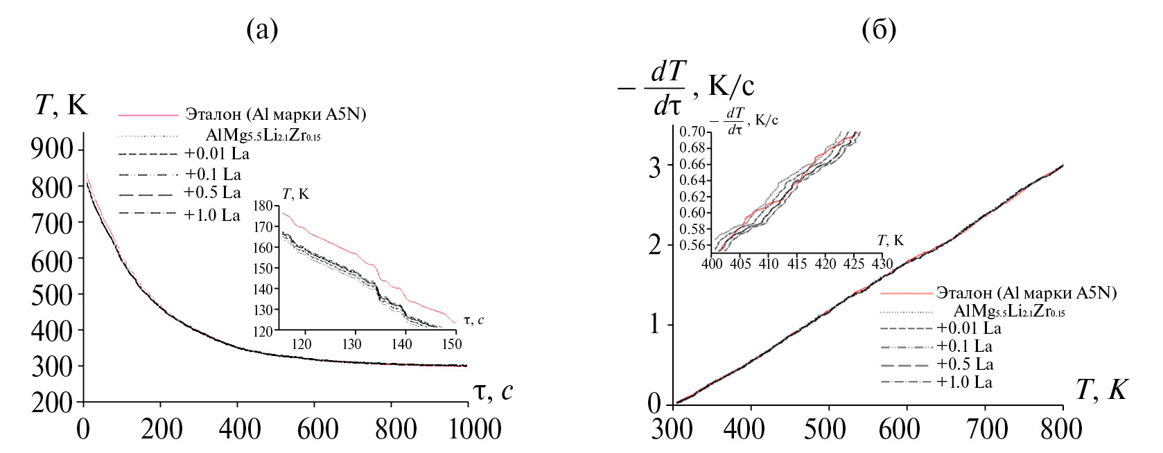
Для определения скорости охлаждения строили кривые охлаждения исследуемых образцов в неподвижном воздухе (рис. 2а). Шаг измерения температуры составлял 0.1К. Относительная ошибка измерения теплоемкости в интервале от 40 до 400°С составляла ± 1%, а выше 400°С – ± 2.5%. В нашем случае погрешность не превышала 1%. Вся обработка результатов проводилась в программе MS Excel, графики строились с помощью программы Sigma Plot 10.0. Коэффициент корреляции был не менее 99.9.
Рис. 2. Зависимости температуры от времени охлаждения (а) и скорости охлаждения от температуры (б) для сплава AlMg5.5Li2.1Zr0.15 типа дюралюминий с лантаном и эталона.
Кривые охлаждения полученных сплавов (рис. 2а) описываются уравнением вида
, (2)
где a, b, p, k – постоянные для данного образца, τ – время охлаждения.
Дифференцируя (2) по τ, получаем уравнение для определения скорости охлаждения образцов
. (3)
Значения коэффициентов a, b, p, k, ab, pk в уравнении (3) для исследованных образцов приведены в табл. 1. Зависимости скорости охлаждения от температуры сплава AlMg5.5Li2.1Zr0.15 с лантаном представлены на рис. 2б.
Таблица 1. Значения коэффициентов a, b, p, k, ab, pk в уравнении (3) для сплава AlMg5.5Li2.1Zr0.15 типа дюралюминий, легированного лантаном, и эталона (Al марки A5N)
Содержание лантана в сплаве, мас. % | a, K | b×10–3, с–1 | p, K | k×10–5, с–1 | ab, К/с | pk×10–2, с–1 |
0.0 | 517.44 | 6.13 | 322.88 | 4.33 | 3.17 | 1.40 |
0.01 | 517.45 | 6.13 | 329.68 | 4.24 | 3.17 | 1.40 |
0.1 | 517.43 | 6.13 | 330.68 | 4.23 | 3.17 | 1.40 |
0.5 | 517.46 | 6.13 | 330.88 | 4.22 | 3.17 | 1.40 |
1.0 | 517.47 | 6.13 | 331.98 | 4.21 | 3.17 | 1.40 |
Эталон | 540.11 | 6.12 | 325.18 | 5.42 | 3.31 | 1.76 |
Далее по рассчитанным скоростям охлаждения сплавов по уравнению (1) была вычислена удельная теплоемкость сплава AlMg5.5Li2.1Zr0.15 с лантаном. Получено следующее уравнение температурной зависимости удельной теплоемкости сплава и эталона (Al марки A5N):
. (4)
Значения коэффициентов уравнения (4) для сплава AlMg5.5Li2.1Zr0.15 с лантаном представлены в табл. 2.
Таблица 2. Значения коэффициентов a, b, с, d в уравнении (4) для сплава AlMg5.5Li2.1Zr0.15 типа дюралюминий с лантаном и эталона (Al марки A5N)
Содержание лантана в сплаве, мас. % | а, Дж /(кг К) | b, Дж /(кг К2) | c × 10–3, Дж / (кг К3) | d × 10–6, Дж / (кг К4) | Коэффициент корреляции R2 |
0.0 | 673.80 | 1.43 | 8.12 | 8.67 | 0.999 |
0.01 | 673.66 | 1.43 | 8.11 | 8.66 | 0.999 |
0.1 | 673.20 | 1.43 | 8.02 | 8.60 | 0.999 |
0.5 | 671.16 | 1.42 | 7.61 | 8.32 | 0.999 |
1.0 | 668.61 | 1.42 | 7.10 | 7.98 | 0.999 |
Эталон | 690.34 | 1.01 | 7.00 | 9.13 | 1.000 |
Результаты расчета температурной зависимости теплоемкости для сплава AlMg5.5Li2.1Zr0.15 с лантаном по формулам (1) и (4) через 100К представлены на рис. 3а. Как видно, с ростом температуры теплоемкость сплавов растет, а с увеличением содержания лантана уменьшается.
Рис. 3. Температурные зависимости теплоемкости (а) и коэффициента теплоотдачи (б) сплава AlMg5.5Li2.1Zr0.15 типа дюралюминий с лантаном и эталона.
С использованием рассчитанных значений теплоемкости и экспериментально полученных величин скоростей охлаждения образцов был вычислен коэффициент теплоотдачи α (T) сплава AlMg5.5Li2.1Zr0.15 с лантаном по формуле
, (5)
где T и T0 – температуры образца и окружающей среды, S и m – площадь поверхности и масса образца соответственно.
На рис. 3б приведены результаты расчета коэффициента теплоотдачи сплава AlMg5.5Li2.1Zr0.15 с лантаном в зависимости от температуры. Коэффициент теплоотдачи с ростом температуры увеличивается, а при повышении содержания лантана уменьшается.
Для расчета температурной зависимости изменения энтальпии, энтропии и энергии Гиббса сплава AlMg5.5Li2.1Zr0.15 с лантаном по уравнениям (6)–(8) были использованы интегралы удельной теплоемкости по уравнению (4):
, (6)
, (7)
, (8)
где T0 = 298.15 К.
Результаты расчета изменения термодинамических функций сплава AlMg5.5Li2.1Zr0.15 с лантаном представлены в табл. 3. Видно, что рост температуры способствует увеличению энтальпии и энтропии сплавов, а энергия Гиббса при этом уменьшается. С повышением содержания лантана наблюдается уменьшение энтальпии и энтропии сплава AlMg5.5Li2.1Zr0.15. Указанные изменения теплофизических свойств и термодинамических функций объясняются ростом степени гетерогенности структуры исходного сплава AlMg5.5Li2.1Zr0.15 при легировании лантаном.
Таблица 3. Температурная зависимость изменения термодинамических функций сплава AlMg5.5Li2.1Zr0.15 типа дюралюминий с лантаном и эталона (Al марки A5N)
Содержание лантана в сплаве, мас. % | [H0 (T) – H0 (T0*)], кДж/кг | ||||
400 K | 500 K | 600 K | 700 K | 800 K | |
0.0 | 101.2272 | 205.6808 | 314.5881 | 428.1025 | 547.0900 |
0.01 | 101.2102 | 205.6464 | 314.5354 | 428.0309 | 546.9983 |
0.1 | 101.1436 | 205.5107 | 314.3271 | 427.7462 | 546.6330 |
0.5 | 100.8468 | 204.9056 | 313.3974 | 426.4749 | 545.0001 |
1.0 | 100.4724 | 204.1416 | 312.2233 | 424.8688 | 542.9374 |
Эталон | 94.3869 | 191.4710 | 292.8481 | 398.9913 | 510.9213 |
[S0 (T) – S0 (T0)], кДж/(кг K) | |||||
0.0 | 0.2916 | 0.5245 | 0.7229 | 0.8978 | 1.0566 |
0.01 | 0.2916 | 0.5244 | 0.7228 | 0.8977 | 1.0564 |
0.1 | 0.2914 | 0.5241 | 0.7223 | 0.8971 | 1.0557 |
0.5 | 0.2905 | 0.5225 | 0.7202 | 0.8944 | 1.0526 |
1.0 | 0.2895 | 0.5206 | 0.7175 | 0.8911 | 1.0486 |
Эталон | 0.2719 | 0.4884 | 0.6731 | 0.8366 | 0.9860 |
[G0 (T) – G0 (T0)], кДж/кг | |||||
0.0 | –15.4389 | –56.5971 | –119.209 | –200.415 | –298.251 |
0.01 | –15.4363 | –56.5876 | –119.189 | –200.381 | –298.201 |
0.1 | –15.4262 | –56.5503 | –119.111 | –200.249 | –298.004 |
0.5 | –15.3809 | –56.3842 | –118.76 | –199.658 | –297.123 |
1.0 | –15.3239 | –56.1747 | –118.318 | –198.912 | –296.010 |
Эталон | –14.4125 | –52.7590 | –111.054 | –186.69 | –277.922 |
* T0 = 298.15 К.
ЗАКЛЮЧЕНИЕ
Получены полиномы температурной зависимости теплоемкости и изменения термодинамических функций (энтальпии, энтропии, энергии Гиббса) для сплава AlMg5.5Li2.1Zr0.15 типа дюралюминий с лантаном, которые описывают их с коэффициентом корреляции R2 = 0.999.
Результаты исследования теплоемкости и изменения термодинамических функций сплава AlMg5.5Li2.1Zr0.15 показывают, что легирующий компонент в изученном концентрационном интервале 0.01–1.0 мас. % уменьшает теплоемкость, коэффициент теплоотдачи, энтальпию и энтропию исходного сплава. При этом значение энергии Гиббса сплавов растет. Рост температуры способствует увеличению теплоемкости, коэффициента теплоотдачи, энтальпии и энтропии сплавов.
КОНФЛИКТ ИНТЕРЕСОВ
Авторы заявляют, что у них нет конфликта интересов.
About the authors
И. Н. Ганиев
Институт химии им. В.И. Никитина Национальной академии наук Таджикистана
Author for correspondence.
Email: ganievizatullo48@gmail.com
Tajikistan, пр. С. Айни, 299/2, Душанбе, 734063
С. С. Савдуллоева
Институт химии им. В.И. Никитина Национальной академии наук Таджикистана
Email: ganievizatullo48@gmail.com
Tajikistan, пр. С. Айни, 299/2, Душанбе, 734063
С. У. Худойбердизода
Таджикский национальный университет
Email: saidmir010992@mail.ru
Tajikistan, пр. Рудаки, 17, Душанбе, 734025
References
- Алиева С.Г., Алтьман М.Б., Амбарцумян С.М. Промышленные алюминиевые сплавы. М.: Металлургия, 1984. 527 с.
- Фридляндер И.Н. Высокопрочные деформируемые алюминиевые сплавы. М.: Оборонгиз, 1960. 291 с. EDN: RSFSAV
- Филатов Ю.А. Сплавы системы Al–Mg–Sc как особая группа деформируемых алюминиевых сплавов // Технология легких сплавов. 2014. № 2. С. 34–41. ISSN: 0321-4664
- Исмаилов Н.Ш., Ибрагимов Х.А. Разработка малолегированного алюминиевого сплава для электротехнических изделий // Успехи современной науки. 2017. Т. 1. № 6. С. 236–240. ISSN: 2412-6608
- Гуреева М.А., Овчинников В.В., Манаков И.Н. Металловедение: макро- и микроструктуры литейных алюминиевых сплавов: учебное пособие для вузов / 2-е изд., перераб. и доп. М.: Юрайт, 2024. 254 с. ISBN 978-5-534-10223-9.
- Багницкий В.Е. Обратные связи в физических явлениях. Германия: LAP LAMBERT Academic Publishing, 2014. 196 с.
- Бодряков В.Ю. О корреляции температурных зависимостей теплового расширения и теплоемкости вплоть до точки плавления тугоплавкого металла: молибден // Теплофизика высоких температур. 2014. Т. 52. № 6. С. 863–868. https://doi.org/10.7868/S004036441404005X
- Гафнер Ю.Я., Гафнер С.Л., Замулин И.С., Редель Л.В., Байдышев В.С. Анализ теплоемкости нанокластеров ГЦК-металлов на примере Al, Ni, C, Pb, Au // Физика металлов и металловедение. 2015. Т. 116. № 6. С. 602–607. https://doi.org/10.7868/S0015323015040051
- Менлиев Ш., Гуллыева А., Спиридонов А. Определение теплоемкости металлов методами нагрева и охлаждения // Сб. науч. тр. студентов. Элиста. 2020. С. 119–121. EDN: JFYBRY
- Nizomov Z., Saidov R.Kh., Akramov M.B., Avezov Z.I., Mirzoev F.M. Thermal properties of Zn5Al and Zn55Al alloys with II a group elements // Key Eng. Mater. 2022. V. 909. P. 76–84. https://doi.org/10.4028/p-81t2vt
- Худойбердизода С.У., Ганиев И.Н., Отаджонов С.Э., Эшов Б.Б., Якубов У.Ш. Влияние меди на теплоемкость и изменения термодинамических функций свинца // Теплофизика высоких температур. 2021. Т. 59. № 1. С. 55–61. https://doi.org/10.31857/S0040364421010099
- Ганиев И.Н., Рахматуллоева Г.М., Зокиров Ф.Ш., Эшов Б.Б., Аминова Н.А., Худойбердизода С.У. Температурная зависимость теплоемкости и изменений термодинамических функций алюминиевого проводникового сплава AlTi0,1 с натрием // Вестн. Кузбасского гос. техн. ун-та. 2024. № 1 (161). С. 34–42. https://doi.org/10.26730/1999-4125-2024-1-34-42
- Ганиев И.Н., Эшов Б.Б., Худойбердизода С.У., Ниезов О.Х., Отаджонов С.Э. Температурная зависимость теплоемкости и изменений термодинамических функций сплавов системы Рb–Сu // Кузнечно-штамповочное производство. Обработка материалов давлением. 2024. № 2. С. 29–36. ISSN: 0234-8241
- Ганиев И.Н., Рахимов М.Р., Отаджонов С.Э., Исмоилова М.Х., Худойбердизода С.У. Влияние лития на температурную зависимость теплоемкости и изменение термодинамических функций сплава АК1 на основе особо чистого алюминия // Вопросы материаловедения. 2023. № 4 (116). С. 42–49. https://doi.org/10.22349/1994-6716-2023-116-4-42-49
- Ганиев И.Н., Ниезов О.Х., Худойбердизода С.У., Эшов Б.Б., Муллоева Н.М. Температурная зависимость теплоемкости и изменений термодинамических функций свинцово-сурьмянистого сплава ССу3 с барием // Теплофизика высоких температур. 2024. Т. 62. № 2. С. 187–193. https://doi.org/10.31857/S0040364424020046
Supplementary files





