Предел растворимости и микроструктура редкоземельных элементов в монокристаллах и керамических твердых растворах (La1−xRx)3Ga5SiO14 (R = Gd–Ho)
- Авторлар: Ворончихина М.Е.1, Матасов А.В.2, Иванов В.Ю.1, Исхакова Л.Д.3, Кузьменко А.М.1, Сысоев М.А.4, Мухин А.А.1
-
Мекемелер:
- Институт общей физики им. А. М. Прохорова Российской академии наук
- Национальный исследовательский университет “МЭИ”
- Институт общей физики им. А. М. Прохорова Российской академии наук, Научный центр волоконной оптики им. Е. М. Дианова
- МИРЭА – Российский технологический университет
- Шығарылым: Том 60, № 6 (2024)
- Беттер: 740-749
- Бөлім: Articles
- URL: https://journals.rcsi.science/0002-337X/article/view/279333
- DOI: https://doi.org/10.31857/S0002337X24060115
- EDN: https://elibrary.ru/MRUTCQ
- ID: 279333
Дәйексөз келтіру
Толық мәтін
Аннотация
Методами рентгенофазового анализа и аналитической электронной микроскопии изучены образцы монокристаллов и керамических твердых растворов (La1−xRx)3Ga5SiO14 с R = Gd–Ho в диапазоне 0 ≤ х ≤ 0.4 (по исходной шихте) с целью определения предела растворимости редкоземельных элементов в структуре лангасита. Твердые растворы на основе структуры лангасита преобладают вплоть до максимальных концентраций, однако при x ≥ 0.15 в случае Но и x ≥ 0.2 в случае Tb начинают выпадать примесные фазы со структурами граната R3Ga5O12 и типа La2SiO5. Монокристаллы лангаситов с замещением La на Tb, Dy или Ho до х = 0.05, а Gd до х = 0.2 имеют однородную структуру, однако при х > 0.1 в кристаллах (La1−xTbx)3Ga5SiO14 возникают вкрапления паразитных фаз с указанными выше структурами. Кривые намагничивания кристаллов (La1−xRx)3Ga5SiO14 (R=Ho и Tb), измеренные при 1.85–2 К, проявляют сильную магнитокристаллическую анизотропию, причем магнитный момент, рассчитанный на ион R3+, оказывается приблизительно одинаковым для всех изученных концентраций тяжелого редкоземельного элемента. Исследованы температурно-частотные зависимости диэлектрической проницаемости и тангенса угла диэлектрических потерь керамических образцов (La1−xHox)3Ga5SiO14 (x ≤ 0.2) и (La1−xTbx)3Ga5SiO14 (x ≤ 0.3) в диапазоне T = 77–700 К при частотах f = 1 кГц–1 МГц. Обнаружена релаксация дебаевского типа с энергией активации около 2 эВ.
Толық мәтін
ВВЕДЕНИЕ
Структура соединений типа Ca3Ga2Ge4O14 (пр.гр. P321, Z = 1), к которой относятся исследуемые лангаситы R3Ga5SiO14, где R – редкоземельный элемент (РЗЭ), впервые была расшифрована в работах Милля с соавторами [1, 2]. В настоящее время известно более сотни соединений, принадлежащих к данному типу. Помимо практического интереса к классу лангаситов, связанного с их пьезоэлектрическими, лазерными и люминисцентными свойствами [2–5], ряд их представителей вызывает и повышенный научный интерес. Соединения R3Ga5SiO14 с магнитными РЗЭ (R = Pr, Nd) не упорядочиваются вплоть до самых низких температур ~35 мK [6, 7], тем не менее в них может наблюдаться магнитоэлектрический эффект: индуцированная магнитным полем электрическая поляризация. Этот эффект наблюдался в Nd3Ga5SiO14 [8] и легированном гольмием лангасите La2.957Ho0.043Ga5SiO14 [9]. Эффект обусловлен допускаемым симметрией магнитоэлектрическим взаимодействием в локальных низкосимметричных (С2) позициях РЗЭ.
Кристаллическая структура лангаситов устойчива только для легких РЗЭ (La, Nd, Pr [10]). Для РЗЭ, начиная с Sm, галлосиликаты неизвестны. В системе La2O3–Ga2O3–SiO2 лангасит La3Ga5SiO14 (LGS) имеет узкую область существования [11], и вблизи стехиометрического состава LGS при охлаждении могут кристаллизоваться LaGaO3, Ga2O3, La2Si2O7 и соединения со структурой апатита, включая La14Si9O39. Наиболее совершенные монокристаллы LGS выращивают главным образом методом Чохральского [12–16]. В серии работ [12–15] данным методом были выращены кристаллы LGS, активированные катионами R = Eu, Dy, Ho, Er. Лазерные монокристаллы с высокими оптическими характеристиками получены для составов La2.97R0.03Ga5SiO14. Методом зонной плавки с оптическим нагревом выращены кристаллы Pr3Ga5SiO14 [17]. Методом твердофазного синтеза из стехиометрических количеств оксидов было синтезировано соединение семейства лангаситов состава Sm3Ga2.63Al2.3SiO14 [18], в котором в качестве примесных были обнаружены фазы со структурой граната Sm3Ga5O12 (5.8 мас. %) и со структурой апатита Sm4.66O(SiO4)3 (5.5 мас. %).
Таким образом, в имеющихся работах по выращиванию монокристаллов и твердофазному синтезу лангаситов отсутствуют точные сведения об областях образования твердых растворов (La1−xRx)3Ga5SiO14 с РЗЭ, обладающими большими магнитными моментами (R = Gd, Tb, Dy, Ho). В таких соединениях можно было бы ожидать значительных магнитоэлектрических эффектов.
Целью данной работы являлось определение предела растворимости тяжелых РЗЭ в структуре LGS как в монокристаллах, так и в керамических образцах. Для этого методом зонной плавки с оптическим нагревом были выращены монокристаллы на основе La3Ga5SiO14 c частичным замещением лантана тяжелыми РЗЭ. Сведения о выращивании данным методом замещенных тяжелыми РЗЭ LGS в литературе отсутствуют. Также были изготовлены керамические образцы чистого лангасита и две серии замещенных составов: (La1−xTbx)3Ga5SiO14 и (La1−xHox)3Ga5SiO14 с разными концентрациями замещающих ионов (х от 0.05 до 0.4).
ЭКСПЕРИМЕНТАЛЬНАЯ ЧАСТЬ
Синтез заготовок для роста кристаллов и проведения рентгенографических исследований осуществлялся методом твердофазных реакций по обычной керамической технологии на воздухе в камерной печи СНОЛ 12/16. В качестве исходных компонентов использовали оксиды лантана, галлия, кремния, гадолиния, тербия, диспрозия и гольмия, взятые в стехиометрических пропорциях. Гомогенизация смесей проводилась перетиранием в агатовой ступке в среде этилового спирта в течение 30 мин. Гомогенизированные смеси подвергали 2-кратному обжигу с выдержкой при температуре 1400◦С 2 ч, нагрев до выдержки и охлаждение образцов после выдержки длились 2 ч.
Из измельченных продуктов обжига с добавлением 5 мас. % водного раствора поливинилового спирта в качестве связующего формировались цилиндрические таблетки под одноосным давлением 15 МПа при помощи гидравлического пресса. Образцы спекали в камерной печи при 1200°C в течение 2 ч с охлаждением в условиях выключенной печи. В результате были получены керамические образцы (La1−xHox)3Ga5SiO14 и (La1−xTbx)3Ga5SiO14 с x от 0 до 0.4 с шагом 0.05 в виде цилиндрических таблеток диаметром 10 и толщиной 1–2 мм. Образцы (La1−xTbx)3Ga5SiO14 (x = 0.2, 0.3) спекали дополнительно при 1200°C в течение 2 ч. Для проведения электрофизических исследований на поверхности полученных таблеток были нанесены электроды путем вжигания серебросодержащей пасты.
Кристаллы (La1−xRx)3Ga5SiO14 (R=Gd, Tb, Dy и Ho) выращивались методом зонной плавки с оптическим нагревом из цилиндрических керамических заготовок диаметром 8 и длиной 100 мм [17]. Рост проводился на воздухе со скоростью 2–3 мм/ч с использованием в качестве затравки промышленных кристаллов La3Ga5SiO14, выращенных в АО “Фомос-Материалы”.
Рентгенофазовый анализ (РФА) образцов проводился на рентгеновском дифрактометре ДРОН-3 с использованием фильтрованного излучения CuKα1 (λ = 1.54056 Å) и порошка кристаллов NaCl в качестве внутреннего эталона. Для обработки рентгеновских дифрактограмм, а также расчета параметров кристаллической решетки использовались программы WinScaler и Celref. Выборочные рентгенограммы, характеризующие основные особенности фазового состава замещенных лангаситов, были зарегистрированы при съемке без внутреннего стандарта с использованием дифрактометра D2Phaser.
Микроструктуру кристаллов исследовали на сканирующем электронном микроскопе (СЭМ) JSM 5910-LV (JEOL), их элементный состав определяли методом энергодисперсионной рентгеновской спектроскопии (ЭДРС) с использованием аналитической системы AZtecENERGY (производство Oxford Instruments). На основании полученных данных о количественном содержании Ga, Si, R и O в фазах определялся их химический состав. Изучались как профили распределения элементов (ПРЭ) в продольном и поперечном направлениях, так и результаты анализа различных участков кристалла. Образцы для анализа вырезали из средней части монокристаллической були, полировали, на поверхность образца наносили токопроводящую углеродную пленку. Величины погрешностей в определении элементов не превышали для La, Ga, Gd, Tb, Ho, Si и О 0.11, 0.10, 0.10, 0.09, 0.06, 0.03 и 0.14 мас. % соответственно.
Намагниченность измерялась на установке MPMS-5 (QUANTUM DESIGN). Измерения температурно-частотных зависимостей комплексной диэлектрической проницаемости ɛ твердых растворов в диапазонах T = 77–700 К и f = 1 кГц–1 МГц были проведены измерителем иммитанса Е7-30 (МНИПИ, Белоруссия).
РЕЗУЛЬТАТЫ И ОБСУЖДЕНИЕ
Ниже приведены результаты элементного анализа монокристаллов в лангаситной и примесных фазах и определенные на основе РФА керамических и монокристаллических образцов пределы растворимости РЗЭ Tb и Ho в структуре лангасита, а также даны примеры проявления их магнитных и диэлектрических свойств.
Микроструктурные и рентгенофазовые исследования. В табл. 1 приведены результаты определения состава монокристаллов лангасита, допированных Gd, Tb, Dy и Ho. При исследовании ПРЭ состав усредняли по измерениям для 100 и более точек. При анализе определенных областей кристалла усреднение проводилось по данным не менее 7 измерений.
Таблица 1. Данные о составе выращенных монокристаллов (La1−xRx)3Ga5SiO14
№ | х по закладке | Состав кристалла | Содержание, ат.% | ||||
О | Si | La | Ga | R | |||
1 | 0.2 | (La0.81Gd0,19)3Ga5SiO14 | 60.90 | 4.58 | 21.09 | 10.88 | 2.55 |
2 | 0.05 | (La0.95Tb0.05)3Ga5SiO14* | 60.76 | 3.79 | 21.54 | 13.29 | 0.62 |
3 | 0.1 | (La0.924Tb0.076)3Ga5SiO14 | 60.78 | 3.90 | 21.58 | 12.69 | 1.04 |
4 | 0.2 | (La0.85Tb0.15)3Ga5SiO14 | 60.90 | 4.51 | 21.16 | 11.42 | 2.01 |
5 | 0.2 | (La0.84Tb0.16)3Ga5SiO14 | 60.82 | 4.09 | 21.59 | 11.39 | 2.12 |
6 | 0.05 | (La0.96Dy0.04)3Ga5SiO14 | 60.84 | 4.19 | 21.49 | 12.93 | 0.55 |
7 | 0.05 | (La0.96Dy0.04)3Ga5SiO14 | 60.89 | 4.47 | 21.22 | 12.88 | 0.54 |
8 | 0.05 | (La0.964Ho0.036)3Ga5SiO14* | 60.85 | 4.27 | 21.20 | 13.19 | 0.50 |
Примечание. Номера 4 и 6 соответствуют ПРЭ вдоль кристалла, 5 и 7 – поперек кристалла.
*Результаты анализа отдельных областей кристалла (усреднение по данным не менее 7 измерений).
Наибольшая концентрация замещающего РЗЭ найдена в кристаллах с гадолинием. Анализ ПРЭ в кристалле (х = 0.2 по закладке) показал равномерное распределение Gd при его средней концентрации 2.55 ат. %, что соответствует составу (La0.81Gd0.19)3Ga5SiO14.
С уменьшением ионного радиуса РЗЭ в микроструктуре кристаллов на его периферийных участках появляются зоны с образованием примесных фаз. Кристаллы с тербием выращены с его различным содержанием вплоть до х = 0.2 по номинальной закладке. При х ≤ 0.1 кристаллы отличались гомогенностью состава. При х = 0.05 состав соответствовал формуле (La0.95Tb0.05)3Ga5SiO14, при х = 0.1 – (La0.924Tb0.076)3Ga5SiO14. С увеличением содержания Tb в исходной шихте до х = 0.2 в кристаллах наблюдались включения примесных фаз (рис. 1). В гомогенной области одного из кристаллов (рис. 1а, темно-серый участок слева) его состав соответствовал (La0.86Tb0.14)3Ga5SiO14. Можно заключить, что состав гомогенной части кристалла довольно стабилен. В периферийной части кристалла (светлые микрообласти на рис. 1а, 1б) были выявлены 2 типа примесных фаз. Анализ состава основного типа включений показал, что соотношение элементов в них (La+Tb) : (Ga+Si) : О = 3.06 : 4.93 : 12.01 близко к стехиометрии граната R3Ga5O12. С учетом этого состав примесной фазы можно представить как (La0.15Tb0.85)3(Ga0,99Si0.01)5O12. Фаза граната Sm3Ga5O12 в качестве примесной найдена в [18] при твердофазном синтезе лангасита Sm3Ga2.63Al2.37SiO14. Помимо примеси граната в исследуемом образце имелось незначительное количество фазы, в составе которой содержалось (ат.%): 14.73 La, 8.12 Tb, 2.25 Ga, 12.42 Si и 62.48 О. Если суммировать концентрации входящих в состав фазы катионов СLa+Tb+Ga = 25.09, то атомное содержание элементов в ней близко к теоретическому в силикатах R2SiO5, равному (ат. %): 25 R; 12.5 Si и 62.5 O. В охарактеризованных как примесные к LGS фазах со структурой апатита Sm4.66O(SiO4)3 [18] и крайнего представителя этого ряда La14Si9O39 [11] атомные соотношения R : Si : O равны соответственно 22.55 : 14.52 : 62.92 и 22.58 : 14.52 : 62.90. Таким образом, в соответствии с данными ЭДРС, состав второй примесной фазы в исследованных кристаллах ближе к R2SiO5, чем к фазам со структурой апатита. Кристаллы R2SiO5, где R = La–Tm, принадлежат к структурному типу Gd2SiO5 (пр. гр. Р21/с), для силикатов иттрия и РЗЭ от Dy до Lu известны две моноклинные модификации, а Sc2SiO5 кристаллизуется лишь в структурном типе (M,Fe)2PO4F (В-тип, пр. гр. С2/с) [19].
Рис. 1. СЭМ-изображения (Z-контраст) периферийных участков монокристаллов (La0.86Tb0.14)3Ga5SiO14 с включениями примесных фаз (светлые участки).
Строение фаз R2−xYxSiO5 рассмотрено в [20]. Соединения R2SiO5 образуются при изменении размеров катионов в широких пределах. Образование твердого раствора состава (La0.59Tb0.32Ga0.09)2SiO5 в качестве примеси при выращивании кристаллов номинального состава (La0.8Tb0.2)3Ga5SiO14 представляется вполне вероятным.
В кристаллах, легированных Dy и Ho с номинальной концентрацией х = 0.05, по данным ЭДРС, соотношение РЗЭ и La оказалось меньше номинального. Так, для Dy-кристалла его состав в центральной гомогенной части соответствовал (La0.96Dy0.04)3Ga5SiO14, в случае кристалла с гольмием – (La0.964Ho0.036)3Ga5SiO14. В работах [11–15] показано, что при выращивании монокристаллов замещенного лангасита коэффициент распределения тяжелых РЗЭ меньше 1. Аналогичная картина наблюдалась и в исследованных нами монокристаллах лангасита.
На рис. 2 приведены выборочно рентгенограммы образцов разного состава. При небольших концентрациях х – в образцах (La1−xRx)3Ga5SiO14 до x = 0.1 (R = Ho) и до x = 0.15 (для R = Tb) – основная кристаллическая фаза имеет структуру лангасита. С увеличением концентрации замещающих ионов увеличивается доля примесных фаз. Основной из них является фаза со структурой граната, что показано на примере образца Tb-замещенного лангасита, полученного твердофазным синтезом из шихты с x = 0.3 (соответствующие рефлексы отмечены красными стрелками). Уточненный параметр кубической решетки гранатной фазы а = 12.3442(1) Å близок к параметру решетки граната Tb3Ga5O12 а = 12.3474Å (PDF Card 88-575). При дальнейшем росте x до 0.4 количество фазы граната возрастает. Аналогичная картина – образование фазы со структурой граната – наблюдается и в Но-замещенных лангаситах. Исключение составил лишь образец керамики, полученный из шихты с x = 0.2, в котором в качестве примесной фазы присутствует оксид галлия (рефлексы отмечены на рис. 2 прямоугольниками). Следует отметить, что в неоднофазных образцах помимо фазы граната присутствуют в незначительных количествах и другие соединения. На рентгенограммах они проявляются несколькими слабыми рефлексами, и идентифицировать их не удалось.
Рис. 2. Дифрактограммы монокристаллов чистого лангасита; лангасита, легированного тербием (х = 0.15); и керамики (La1−xRx)3Ga5SiO14 с R = Tb (x = 0.3) и Но (х = 0.2).
На рис. 3 и 4 представлены зависимости уточненных по данным РФА параметров решетки фазы лангасита от х в шихте для синтеза. Видно, что зависимость параметров и объема элементарной ячейки фазы со структурой лангасита от состава шихты при х до ~0.2 близка к линейной. При дальнейшем увеличении х эти величины в пределах точности эксперимента перестают зависеть от состава шихты. Величина х данного перехода соответствует пределу растворимости РЗЭ, замещающих в структуре La3Ga5SiO14 лантан. Этот предел растворимости составляет для гольмия ~0.15, а для тербия ~0.2. Величины параметров однофазных монокристаллических и керамических образцов (La1−xTbx)3Ga5SiO14 совпадают (рис. 3).
Рис. 3. Параметры решетки (La1−xTbx)3Ga5SiO14, рассчитанные по данным РФА, для образцов керамики (черные символы) и монокристаллов (красные символы).
Рис. 4. Параметры решетки образцов керамики (La1−xHox)3Ga5SiO14.
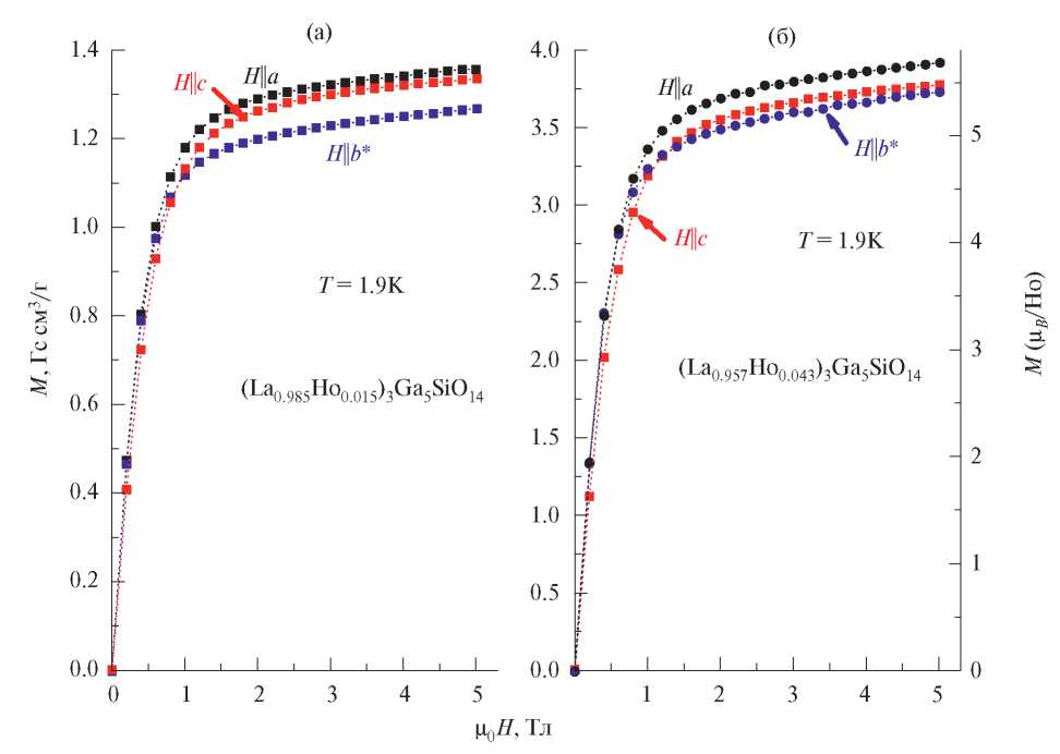
Магнитные и диэлектрические свойства (La1−xRx)3Ga5SiO14 (R = Ho, Tb). Проведенные на выращенных монокристаллах магнитные измерения обнаружили сильную магнитокристаллическую анизотропию при низких температурах и, кроме того, послужили хорошим дополнительным критерием для определения истинной концентрации x* замещающего лантан тяжелого РЗЭ. В качестве примеров, иллюстрирующих одинаковое магнитное поведение кристаллов (La1−xRx)3Ga5SiO14 (R = Ho, Tb), взятых из средней части були, на рис 5а и 5б приведены кривые намагничивания для R = Ho в единицах Гс см3/г и в магнетонах Бора (μB) на ион Ho3+ [9, 21].
Рис. 5. Кривые намагничивания монокристаллов (La1−x*Hoх*)3Ga5SiO14 вдоль осей а и с при Т = 1.9 К для х* = 0.015 (а) и 0.043 (б).
Концентрация гольмия в первом кристалле, выращенном Миллем методом Чохральского, была определена по флуоресцентному анализу и составляла х*~0.015 (заложено было х = 0.03). Намагниченность второго образца, выращенного методом зонной плавки, была по всем кристаллографическим направлениям примерно в 1.9 раз выше, что соответствует х* = 0.043. Это значение находится в разумном согласии с приведенным в табл. 1 х* = 0.036, учитывая погрешности определения концентраций в обоих методах. Для теоретического описания полевых, угловых и температурных зависимостей намагниченности (будут опубликованы в отдельной работе) для обоих составов бралось одно значение магнитного момента иона Hо3+ 9.4 μB для основного состояния (квазидублет) в кристаллическом поле.
В случае замещения тербием величины намагниченности при низких температурах для кристаллов с номинальными концентрациями х = 0.2, 0.1 и 0.05 соотносятся приблизительно как 3 : 2 : 1. Принимая концентрацию х = 0.05 за истинную х*, для состава с х = 0.1 истинная концентрация х* = 0.1 оказывается несколько больше, чем приведенная в табл. 1 х* = 0.076 (впрочем, на другом кристалле результат ЭДРС – х* = 0.087, что ближе к значению х* = 0.1 по магнитным измерениям). Для образца с х = 0.2 получено практически полное согласие магнитных данных и ЭДРС. На рис. 6 приведены кривые намагничивания допированных тербием лангаситов вдоль кристаллографических осей а и с при Т = 1.9 К, а также кривая намагничивания керамического образца с х = 0.3 в единицах μB/Tb. Видно, что кривые намагничивания вдоль соответствующих направлений для всех трех составов совпадают, а кривая намагничивания керамики примерно соответствует усредненной по всем направлениям намагниченности монокристалла. В теоретическом моделировании для всех составов использовано единое значение магнитного момента иона Tb3+ 8.25 μB для основного квазидублета в кристаллическом поле.
Рис. 6. Кривые намагничивания кристаллов (La1−xTbx)3Ga5SiO14 вдоль осей а и с и керамического образца с х = 0.3 при Т = 1.9 К.
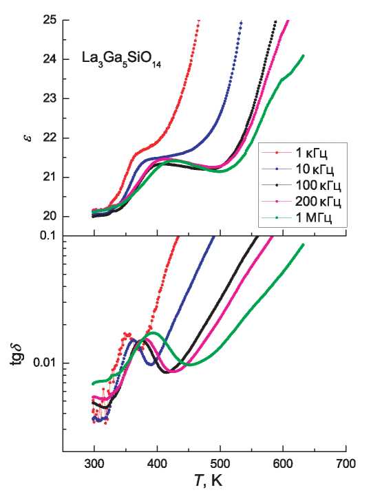
Нами выполнены также исследования температурно-частотных зависимостей действительной части диэлектрической проницаемости ɛ΄ и тангенса угла диэлектрических потерь tgδ = ɛ΄΄/ɛ΄ керамических твердых растворов (La1−x(Ho, Tb)x)3Ga5SiO14 в криостате при T = 77–300 и в печке при T = 300–650 K в диапазоне частот f = 1 кГц–1 МГц. С понижением температуры наблюдался рост диэлектрической проницаемости ɛ΄, который обусловлен известным возрастанием с-компоненты проницаемости лангаситов при низких температурах из-за смягчения фонона [22], но проявляющийся в керамических образцах заметно слабее вследствие усреднения по ориентациям зерен (на рис. 7 эта область температур не показана). Тем не менее это является свидетельством существования во всех исследованных образцах лангаситной фазы. При этих температурах никакие особенности в поведении диэлектрической проницаемости не проявлялись, однако при T > 300 К на температурных зависимостях ɛ΄ и tgδ обнаружены характерные особенности (перегибы и максимумы), температуры которых растут с ростом частоты (рис. 7). Это свидетельствует о проявлении в диэлектрической проницаемости релаксационных вкладов дебаевского типа ~Δε /(1-if/fD), где Δε – их вклад в статическую проницаемость, а fD = f0exp[-Ea/(kT)] – релаксационная частота, которая приблизительно соответствует максимуму на температурной зависимости tgδ. Наблюдаемая релаксация может быть связана с механизмом образования кислородных вакансий при увеличении температуры, который рассматривался в диапазоне температур 400–800°С в работе [23]. Также наблюдаемая релаксация может быть связана с дипольной релаксацией [24].
Рис. 7. Температурно-частотные зависимости ε и tgδ керамического образца La3Ga5SiO14.
Уравнение Аррениуса было использовано для расчета энергии активации релаксационного процесса Ea (вставки на рис. 8). Увеличение содержания гольмия в твердых растворах приводит к уменьшению энергии активации. При этом увеличение содержания тербия сначала приводит к увеличению энергии активации, а затем к ее уменьшению. Отсутствие прямой корреляции энергии активации с увеличением концентрации Tb может быть связано с дополнительным спеканием образцов (La1−xTbx)3Ga5SiO14 (x = 0.2, 0.3), что могло привести к увеличению содержания вакансий кислорода.
Рис. 8. Зависимости частоты релаксации от обратной температуры для керамических образцов (La1−x(Ho, Tb)x)3Ga5SiO14: точки соответствуют максимумам на tgδ (Τ) (рис. 7), прямые линии – результаты аппроксимации наблюдаемой релаксации по формуле Аррениуса; на вставках концентрационные зависимости энергии активации.
ЗАКЛЮЧЕНИЕ
На основании проведенных исследований определены пределы растворимости для Tb- и Ho-замещенного лангасита на керамических образцах: 0.15 ± 0.02 для Ho и 0.20 ± 0.02 для Tb. По данным РФА, при небольших концентрациях РЗЭ основная кристаллическая фаза имеет структуру лангасита, увеличение концентрации повышает долю выпадающих паразитных фаз, которые идентифицированы как гранаты Ho3Ga5O12 или Tb3Ga5O12, частично замещенные лантаном, а также соединение типа La2SiO5, в котором лантан частично замещен на галлий и гольмий (тербий).
Монокристаллы лангаситов с низким уровнем замещения La на Tb, Ho и Dy (х = 0.05) имеют однородную структуру, но содержание в них РЗЭ меньше по сравнению с заложенным из-за оттеснения легирующего РЗЭ в раствор на границе кристаллизации. В случае соединений (La1−xTbx)3Ga5SiO14, особенно при номинальной концентрации х = 0.2, начинают образовываться примесные фазы, причем наряду с Tb3Ga5O12 регистрировались и фазы с существенным превышением содержания Si над Ga, предположительно структурного типа La2SiO5 c частичным замещением лантана на тербий и галлий.
Получены кривые намагничивания монокристаллических и керамических образцов (La1−x(Ho,Tb)x)3Ga5SiO14, подтвердившие образование лангаситной фазы при концентрациях тяжелого РЗЭ ниже и вблизи их предела растворимости. Это свидетельствует о пригодности монокристаллов со структурой лангасита с частичным замещением лантана тяжелыми РЗЭ для проведения детальных физических исследований. Следует, однако, иметь в виду, что по мере уменьшения ионного радиуса РЗЭ предел растворимости уменьшается. Более того, для получения высококачественных кристаллов, свободных от примесных фаз, желательно ограничиваться концентрациями ниже предела растворимости (х ~0.05–0.1).
Исследованы температурно-частотные зависимости диэлектрической проницаемости и тангенса угла диэлектрических потерь керамических образцов (La1−xHox)3Ga5SiO14 (x = 0, 0.1, 0.2) и (La1−xTbx)3Ga5SiO14 (x = 0, 0.1, 0.2, 0.3) в температурном диапазоне T = 77–700 К и частотах f = 1 кГц–1 МГц. Наблюдаемый с понижением температуры рост диэлектрической проницаемости свидетельствует о присутствии во всех исследованных образцах лангаситной фазы. При температурах выше комнатной обнаружена релаксация дебаевского типа, видимо, связанная с несобственными процессами релаксации.
ФИНАНСИРОВАНИЕ РАБОТЫ
Работа выполнена при финансовой поддержке Российского научного фонда (грант № 22-42-05004).
КОНФЛИКТ ИНТЕРЕСОВ
Авторы заявляют, что у них нет конфликта интересов.
Авторлар туралы
М. Ворончихина
Институт общей физики им. А. М. Прохорова Российской академии наук
Email: ivanov@ran.gpi.ru
Ресей, ГСП-1, ул. Вавилова, 38, Москва, 119991
А. Матасов
Национальный исследовательский университет “МЭИ”
Email: ivanov@ran.gpi.ru
Ресей, ул. Краснознаменная, 14, стр. 1, Москва, 111250
В. Иванов
Институт общей физики им. А. М. Прохорова Российской академии наук
Хат алмасуға жауапты Автор.
Email: ivanov@ran.gpi.ru
Ресей, ГСП-1, ул. Вавилова, 38, Москва, 119991
Л. Исхакова
Институт общей физики им. А. М. Прохорова Российской академии наук, Научный центр волоконной оптики им. Е. М. Дианова
Email: ivanov@ran.gpi.ru
Ресей, ГСП-1, ул. Вавилова, 38, Москва, 119991
А. Кузьменко
Институт общей физики им. А. М. Прохорова Российской академии наук
Email: ivanov@ran.gpi.ru
Ресей, ГСП-1, ул. Вавилова, 38, Москва, 119991
М. Сысоев
МИРЭА – Российский технологический университет
Email: ivanov@ran.gpi.ru
Ресей, пр. Вернадского, 78, Москва, 119454
А. Мухин
Институт общей физики им. А. М. Прохорова Российской академии наук
Email: ivanov@ran.gpi.ru
Ресей, ГСП-1, ул. Вавилова, 38, Москва, 119991
Әдебиет тізімі
- Mill B.V., Butashin A.V., Khodzhabagyan G.G., Belokoneva E.L., Belov N.V. Modified Rare-Earth Gallates with the Structure of // Dokl. Akad. Nauk SSSR. 1982. V. 264. № 6. P. 1395.
- Mill B.V., Pisarevsky Y.V. Langasite-Type Materials: from Discovery to Present State // Proc. IEEE/EIA International Frequency Control Symposium. Piscataway. Kansas City. Missouri. 2000. P. 133–144.
- Каминский А.А., Милль Б.В., Саркисов С.Э. Физика и спектроскопия лазерных кристаллов. М.: Наука, 1986. С. 197.
- Sato J., Takeda H., Morikoshi H., Shimamura K., Rudolph P., Fukuda T. Czochralski Growth of (RE=La, Pr, Nd) Single Crystals for the Analysis of the Influence of Rare Earth Substitution on Piezoelectricity // J. Cryst. Growth. 1998. V. 191. № 4. P. 746–753. https://doi.org/10.1016/S0022-0248(98)00362-5
- Iwataki T., Ohsato H., Tanaka K., Morikoshi H., Sato J., Kawasaki K. Mechanism of the Piezoelectricity of Langasite Based on the Crystal Structures // J. Eur. Ceram. Soc. 2001. V. 21. № 10–11. P. 1409–1412. https://doi.org/10.1016/S0955-2219(01)00029-2
- Zhou H.D., Vogt B.W., Janik J.A., Jo Y.-J., Balicas L., Qiu Y., Copley J.R.D., Gardner J.S., Wiebe C.R. Partial Field-Induced Magnetic Order in the Spin-Liquid Kagomé // Phys. Rev. Lett. 2007. V. 99. № 23. P. 1–4. https://doi.org/10.1103/PhysRevLett.99.236401
- Zhou H.D., Wiebe C.R., Yo Y.J., Balicas L., Takano Y., Case M.J., Qiu Y., Copley J.R.D., Gardner J.S. Nanoscale Freezing of the 2D Spin Liquid . 2008. arXiv: 0808.2819
- Mukhin A.A., Ivanov V.Yu., Mill B.V. Observation of the Magnetic Field Induced Ferroelectricity in Rare-Earth Langasites: // Book of Abstracts. Moscow International Symposium on Magnetism (1–5 July 2017). Moscow: M.V. Lomonosov Moscow State Univ., 2017. P. 663.
- Weymann L., Bergen L., Kain T. et al. Unusual Magnetoelectric Effect in Paramagnetic Rare-Earth Langasite // npj Quant. Mater. 2020. V. 5. № 1. P. 61. https://doi.org/10.1038/s41535-020-00263-9
- ICSD: Inorganic Crystal Structure Database, FIZ Karlsruhe.
- Wang S.-Q., Uda S. Phase Relations around Langasite () in the System in Air // J. Cryst. Growth. 2003. V. 250. P. 463–470. https://doi.org/10.1016/S0022-0248(02)02489-2
- Wang Z., Yuan D., Shi X., Cheng X., Xu D., Lu M., Pan L., Guo S. Crystal Growth and Spectroscopic Properties of Er: Single Crystal // J. Cryst. Growth. 2003. V. 257. P. 141–145. https://doi.org/10.1016/S0022-0248(03)01411-8
- Wang Z., Yuan D., Shi X., Cheng X., Xu D., Lu M., Pan L. Crystal Growth and Optical Properties of Dy: Single Crystals // J. Cryst. Growth. 2004. V. 263. P. 246–250. https://doi.org/10.1016/j.jcrysgro.2003.11.087
- Wang Z., Yuan D., Xu D., Lu M., Cheng X., Pan L., Shi X. Growth and Optical Properties of -Doped Single Crystal // J. Cryst. Growth. 2003. V. 255. P. 348–352. https://doi.org/10.1016/S0022-0248(03)01269-7
- Wang Z., Yin Y., Yuan D. Optical Transitions in Doped Crystals // J. Alloys Compd. 2007. V. 436. P. 364–368. https://doi.org/10.1016/j.jallcom.2006.07.050
- Дудка А.П., Милль Б.В. Рентгеноструктурное исследование кристалла при 295 и 90 K и структурная основа хиральности // Кристаллография. 2014. Т. 59. № 5. С. 759–768. https://doi.org/10.7868/S0023476114050038
- Дудка А.П., Балбашов А.М. Рост и температурная эволюция атомной структуры кристаллов из семейства лангасита // Кристаллография. 2020. Т. 65. № 2. С. 223–228. https://doi.org/10.1134/S1063774520020054
- Zorko A., Bert F., Mendels P.et al. Quantum Tunneling in Half-Integer-Spin Kagome-Lattice Langasites. 2012. arXiv: 1210.8187
- Iskhakova L.D., Ilyukhin A.B., Kutovoi S.A., Vlasov V.I., Zavartsev Y.D., Tarasov V.F., Eremina R.M. The Crystal Structure of New Quantum Memorystorage Material // Acta Crystallogr., Sect. C: Cryst. Struct. Commun. 2019. V. 75. P. 1202–1207. https://doi.org/10.1107/S2053229619010507
- Ogugua S.N., Swart H.C., Ntwaeaborwa O.M. The Dynamics of the Photoluminescence of in Mixed Lanthanum Yttrium Oxyorthosilicate Hosts // Sens. Actuators, B. 2017. V. 250. P. 285–299.
- Тихановский А.Ю., Иванов В.Ю., Кузьменко А.М., Мухин А.А. Влияние локальной анизотропии редкоземельного иона на макроскопические магнитные свойства лангасита // Докл. РАН. Физика, технические науки. 2024. Т. 514. № 1–2. С. 34–39. https://doi.org/10.31857/S2686740024010056
- Bergen L., Weymann L., Wettstein J., Kuzmenko A.M., Mukhin A.A., Mill B.V., Pimenov A., Constable E. Lattice Contributions to the Anisotropic Dielectric Response of Rare-Earth Langasites // Phys. Rev. B: Condens. Matter. 2021. V. 104. P. 024106. https://doi.org/10.1103/PhysRevB.104.024106
- Fritze H., Tuller H.L., Borchard G., Fukuda T. High-Temperature Properties of Langasite // MRS Online Proceedings Library. 1999. V. 604. P. 65–70. https://doi.org/10.1557/proc-604-65
- Bokov A. A., Ye Z. Dielectric Relaxation in Relaxor Ferroelectrics // J. Adv. Dielectrics. 2012. V. 2. № 02. P. 1241010. https://doi.org/10.1142/s2010135x1241010x22
Қосымша файлдар










