Термические свойства особо чистых стекол Ga15Ge10Te75–xIx
- Авторлар: Патрушев Д.О.1, Кутьин А.М.1, Плехович А.Д.1, Балуева К.В.1, Вельмужов А.П.1, Тюрина Е.А.1, Евдокимов И.И.1, Курганова А.Е.1
- 
							Мекемелер: 
							- Институт химии высокочистых веществ им. Г.Г. Девятых Российской академии наук
 
- Шығарылым: Том 60, № 4 (2024)
- Беттер: 490-496
- Бөлім: Articles
- URL: https://journals.rcsi.science/0002-337X/article/view/274568
- DOI: https://doi.org/10.31857/S0002337X24040097
- EDN: https://elibrary.ru/MZKKTR
- ID: 274568
Дәйексөз келтіру
Толық мәтін
Аннотация
Получены образцы особо чистых стекол Ga15Ge10Te75–xIx (x = 0–6 ат. %) с содержанием 31 примесного элемента не более 0.2 ppm. Установлено влияние йода на характеристические температуры, кристаллизационную устойчивость, термическое расширение и плотность стекол. Полученные результаты интерпретированы в рамках структурно-связевого подхода. Разработана методика обработки данных динамической дилатометрии для определения температурной зависимости теплового коэффициента линейного расширения (ТКЛР). Определена температурная зависимость ТКЛР стекол Ga15Ge10Te75–xIx в интервале от 293 до 412 К.
Толық мәтін
ВВЕДЕНИЕ
Халькогенидные стекла на основе теллуридов германия и галлия благодаря высокой прозрачности в среднем ИК-диапазоне и устойчивости к кристаллизации [1–4] являются перспективными материалами для вытяжки волоконно-оптических световодов. Такие световоды используются для изготовления сенсоров, с помощью которых проводят анализ жидких и газовых сред методом ИК-спектроскопии нарушенного полного внутреннего отражения и других применений [5–8]. К настоящему времени наиболее широкий диапазон прозрачности среди халькогенидных стекол (2–35 мкм) и волоконных световодов (4–16 мкм) достигнут в системе на основе теллуридов германия с добавлением йодида серебра [8, 9]. В работе [10] продемонстрирована перспективность стекол системы Ga–Ge–Te–I для изготовления волоконно-оптических сенсоров, которые химически более устойчивы по сравнению с коммерчески выпускаемыми устройствами на основе твердых растворов галогенидов серебра [11].
При получении массивных образцов халькогенидных стекол, волоконных световодов и оптических устройств на их основе необходимо знание термических свойств для расчета полей напряжений и связанных с ними деформаций, возникающих при различных температурных режимах эксплуатации [12]. Активное развитие аддитивных технологий с использованием халькогенидных стекол для создания компактных оптических элементов требует информации о тепловом расширении этих материалов [13, 14]. Для стекол на основе теллуридов германия и галлия такая информация имеется для единичных составов [15, 16].
Целью данной работы было исследование термических свойств стекол Ga15Ge10Te75-xIx (x = 0–6 ат. %) и разработка методики обработки данных динамической дилатометрии для определения температурной зависимости теплового коэффициента линейного расширения (ТКЛР). Под термическими свойствами в работе подразумеваются характеристические температуры (стеклования, кристаллизации, плавления), рассчитанные на их основе критерии кристаллизационной устойчивости и ТКЛР. Для исследований получали особо чистые образцы стекол с целью минимизации влияния примесей на измеряемые свойства.
ТЕОРЕТИЧЕСКАЯ ЧАСТЬ
Математически строгое определение ТКЛР (α) по дилатометрической кривой (ДК), являющейся экспериментально найденной зависимостью длины образца от температуры l(T), выражается формулой для измерений, обычно выполняемых при постоянном давлении
(1)
Значения α при использовании одной из простейших формул численного дифференцирования [17] равны
(2)
Массив полученных значений ДК приближенно переводится в αi(Ti). В связи с ограниченной точностью и ошибками при дифференцировании таблично заданных функций [18] в справочниках экспериментальные ДК приводят в форме
, (3)
(4)
которая оперирует средним значением α– по интервалу от начальной температуры T0 до конечной Te. Формула (4) как приближенное конечно-разностное представление α в относительно небольшом температурном участке лежит в основе интервального метода определения ТКЛР.
Точную локальную взаимосвязь α и l без ограничений на длину ДК обеспечивает формула
(3ʹ)
Выражая α из функции (3ʹ), получаем формулу расчета значений ТКЛР
(5)
по значениям li и Ti в каждой экспериментальной точке ДК.
Представленная ниже формула (5ʹ) – параметрически расширенная функциональная взаимосвязь α и l (5), дает возможность совместить расчет αi по экспериментальной ДК с приборно-калибровочной процедурой, необходимой для определения температурной зависимости ТКЛР методом динамической дилатометрии:
(5ʹ)
Калибровочные параметры на полуэмпирическом уровне устраняют систематическую погрешность измерения ТКЛР в динамическом режиме, связанную прежде всего с отставанием температуры во времени, с некоторой неоднородностью распределения температур в образце и влиянием конструкционных характеристик и особенностей измерительной части самого кварцевого дилатометра. В число опорных калибровочных данных при определении параметров γ, n; m включаются результаты измерения α, выполненные интервальным методом в статических условиях.
ЭКСПЕРИМЕНТАЛЬНАЯ ЧАСТЬ
Получение стекол. Для синтеза стекол использовали германий марки 6N (ООО “Германий”, Россия), галлий марки 7N (АО “Гиредмет”, Россия), теллур марки 5N (Optoelectronic Materials Co., Ltd., Китай), йод 3N (ООО “Химреактив”, Россия). Йод дополнительно очищали многократной вакуумной сублимацией. Йодид германия(IV) синтезировали пропусканием паров йода над германием с последующей многократной вакуумной дистилляцией. Трубки из кварцевого стекла для изготовления реакторов предварительно прокаливали при 980°С в течение 5 ч в потоке кислорода для удаления примеси OH-групп [19]. Рассчитанное количество германия, галлия, теллура и йодида германия(IV) загружали в реактор и вакуумировали до остаточного давления 10-3 Па. Для удаления примесей газов и воды, адсорбированных на поверхности исходных веществ, шихту сплавляли. Далее реактор запаивали и помещали в печь. Гомогенизирующее плавление шихты проводили при температуре 850°С в течение 5 ч в режиме перемешивающего качания печи. Стеклообразующий расплав закаливали в воду, отжиг полученного стекла проводили при температуре стеклования в течение 30 мин. Образцы имели форму цилиндров диаметром 7 и длиной до 100 мм.
Атомно-эмиссионная спектрометрия с индуктивно связанной плазмой (АЭС ИСП). Макросостав исследуемых стекол и содержание примесей в исходных веществах и полученных образцах были определены методом АЭС ИСП на спектрометре-полихроматоре iCAP 6300Duo (Thermo Scientific, USA), обеспечивающем одновременное измерение интенсивности до 250 спектральных линий на CID-детекторе. Подробное описание методики приведено в [20]. Неопределенность результатов анализа не превышала 0.1 ат. % для макросостава и 15 % для содержания примесей (P = 0.95).
Дифференциальная сканирующая калориметрия. Изучение термических свойств полученных стекол осуществляли на синхронном анализаторе Netzsch STA 409 PC Luxx. Измерения проводили в алюминиевых тиглях в диапазоне температур 300–650 K при скорости термосканирования 10 K/мин в потоке осушенного аргона с расходом 80 мл/мин. Неопределенность измерения характеристических температур, обусловленная методикой их нахождения, не превышала ±2К.
Измерение плотности. Плотность стекол измеряли методом гидростатического взвешивания на весах Ohaus PR124. В качестве иммерсионной жидкости была использована дистиллированная вода. Измерения проводились при температуре 297 К. Погрешность измерения плотности по данным пяти измерений составила ±0.007 г/см3.
Дилатометрия. Измерения проводили с помощью кварцевого горизонтального дилатометра, состоящего из трубчатой резистивной печи, станции регистрации данных ИНТЕГРАФ-3410 (Россия, Нижний Новгород), микропроцессорных измерительных регуляторов МЕТАКОН-6305 (Россия, г. Нижний Новгород) и датчика линейных перемещений ЛИР-14 (Россия, Санкт-Петербург). Точность определения ТКЛР на данном оборудовании и по разработанной методике составила ±0.17×10–6 К–1 (P = 0.95).
Подготовленные образцы стекол в форме цилиндров длиной 5.5–6.5 мм с плоскопараллельными полированными гранями были исследованы на кварцевом горизонтальном дилатометре в интервале температур от 293 до 412 К со скоростью нагревания 0.5 К/мин на воздухе.
РЕЗУЛЬТАТЫ И ОБСУЖДЕНИЕ
Макросостав и содержание примесей. Результаты определения макросостава стекол Ga15Ge10Te75–xIx методом АЭС ИСП представлены в табл. 1. Отклонения содержания элементов от заданного значения не превышали 0.1 ат. % для германия, 0.2 ат. % для галлия, 1.9 ат. % для теллура, 1.7 ат. % для йода. Систематически заниженное содержание йода в полученных образцах может быть обусловлено двумя основными причинами: частичным улетучиванием йодида германия(IV) при сплавлении шихты на стадии вакуумирования реактора; концентрированием йода в паровой фазе перед закалкой стеклообразующего расплава.
Таблица 1. Макросостав образцов стекол Ga15Ge10Te75–xIx по результатам АЭС ИСП
| Образец | Содержание элементов, ±0.1 ат. % (P = 0.95) | |||
| Ga | Ge | Te | I | |
| Ga15Ge10Te75 | 15.1 | 10.0 | 74.9 | <0.05 | 
| Ga15Ge10Te72I3 | 14.9 | 9.9 | 72.6 | 2.6 | 
| Ga15Ge10Te71I4 | 14.9 | 10.1 | 71.9 | 3.1 | 
| Ga15Ge10Te70I5 | 14.8 | 10.1 | 71.4 | 3.8 | 
| Ga15Ge10Te69I6 | 14.8 | 10.1 | 70.9 | 4.3 | 
Результаты примесного анализа исходных особо чистых веществ и образца стекла Ga15Ge10Te69I6 приведены в табл. 2. Примесный состав полученных стекол не различался в пределах погрешности анализа, поэтому приведены результаты для единственного образца. Содержание примесных элементов, типично определяемых методом АЭС ИСП в халькогенидных стеклах, не превышало 0.2 ppm(мас.). Это позволяет отнести полученные образцы к особо чистым материалам и исключить примесное влияние на исследуемые свойства.
Таблица 2. Примесный состав исходных веществ и стекла Ga15Ge10Te69I6 по результатам АЭС ИСП
| Примесь | Содержание примеси, ppm(мас.) | |||||
| Ge | Ga | Te | I | GeI4 | Ga15Ge10Te69I6 | |
| Al | <0.1 | <0.2 | <0.1 | <0.02 | <0.02 | <0.1 | 
| Ca | 0.08 | <0.03 | 0.06 | <0.1 | <0.02 | <0.1 | 
| Mg | <0.05 | <0.01 | <0.01 | <0.08 | <0.07 | 0.05 | 
| Na | <0.2 | <0.07 | <0.1 | 0.3 | <0.05 | <0.1 | 
| K | <1 | <0.2 | <0.3 | <0.1 | <0.05 | <0.2 | 
| Li | <0.01 | 0.03 | <0.1 | 0.1 | <0.05 | 0.02 | 
| Fe | <0.1 | <0.04 | <0.02 | <0.1 | <0.02 | <0.08 | 
| Cu | <0.03 | <0.07 | <0.1 | <0.05 | <0.04 | <0.01 | 
| Cr | <0.07 | <0.02 | <0.03 | <0.2 | <0.05 | <0.05 | 
| Co | <0.05 | <0.07 | <0.1 | <0.2 | <0.02 | <0.1 | 
| Ni | <0.4 | <0.2 | <0.1 | <0.1 | <0.03 | <0.1 | 
| Ba, Sn, Ti … (20 элементов) | <0.1 | <0.2 | <0.1 | <0.1 | <0.1 | <0.2 | 
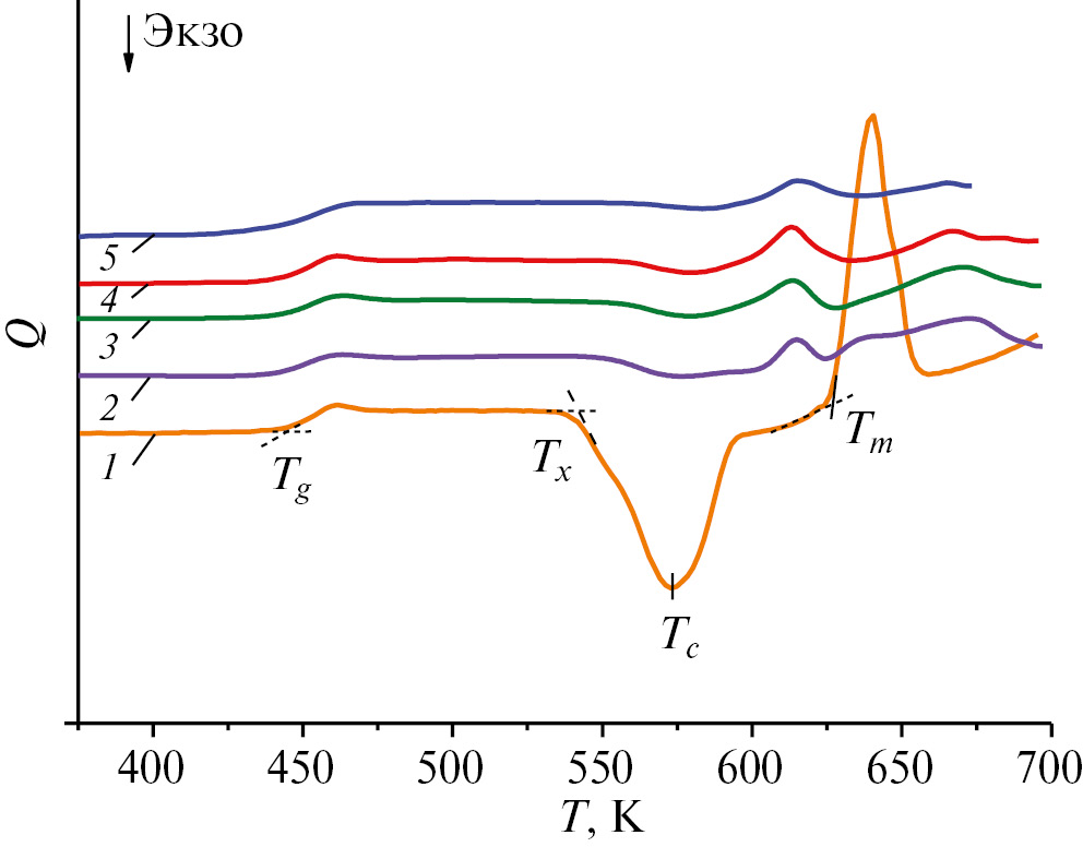
Характеристические температуры стекол. На кривых ДСК нагревания (рис. 1) исследуемых образцов обнаружены интервалы стеклования (расстекловывания), пики кристаллизации и плавления. Из положения указанных сигналов определены температура стеклования Tg, начала (Tx) и максимума (Tс) кристаллизации, начала плавления (Tm). Из значений характеристических температур рассчитаны общепринятые критерии кристаллизационной устойчивости [21]:
(6)
(7)
Рис. 1. ДСК-кривые нагревания стекол Ga15Ge10Te75–xIx: x = 0 (1), 3 (2), 4 (3), 5 (4), 6 (5).
Увеличение значения этих критериев соответствует повышению устойчивости к кристаллизации. Условной нижней границей пригодности стекол для вытяжки волоконных световодов является значение ΔT = 120К. Полученные результаты приведены в табл. 3. При увеличении содержания йода в стеклах Ga15Ge10Te75–xIx температуры стеклования и плавления кристаллов уменьшаются, температура начала кристаллизации возрастает, что приводит к увеличению критериев ΔT и Kgl. Таким образом, введение йода в стекла Ga15Ge10Te75–xIx повышает их кристаллизационную устойчивость. С позиции структурно-связевого критерия стеклообразования [22] такая закономерность обусловлена появлением фрагментов ближнего порядка GeTe4–xIx и GaTe4–xIx, в которых часть теллура замещается на йод [23, 24]. Это затрудняет формирование кристаллических фаз теллуридов германия и галлия. Стекло Ga15Ge10Te69I6 пригодно для вытяжки оптического волокна. Образцы с меньшим содержанием йода потенциально пригодны для изготовления оптической стеклокерамики с улучшенными механическими свойствами. Известно, что для этих целей применяют стекла со значением параметра 80 < ΔT < 120К [25]. Полученные результаты хорошо согласуются с данными [4].
Таблица 3. Характеристические температуры и критерии кристаллизационной устойчивости стекол Ga15Ge10Te75–xIx
| Образец | Tg,±2 К | Tx, ±2 К | Tc, ±1 К | Tm, ±2 К | ΔT, ±2 К | Kgl ±0.07 | 
| Ga15Ge10Te75 | 446 | 547 | 573 | 628 | 101 | 1.25 | 
| Ga15Ge10Te72I3 | 442 | 554 | 574 | 608 | 112 | 2.03 | 
| Ga15Ge10Te71I4 | 442 | 558 | 579 | 603 | 116 | 2.58 | 
| Ga15Ge10Te70I5 | 441 | 559 | 560 | 603 | 117 | 2.66 | 
| Ga15Ge10Te69I6 | 440 | 561 | 584 | 601 | 121 | 3.03 | 
Плотность. Результаты измерения плотности стекол методом гидростатического взвешивания представлены в табл. 4. При повышении содержания йода плотность стекол уменьшается. Это обусловлено разрушающим действием йода на структурную сетку стекол, снижающим связанность структурных фрагментов. Как правило, показатель преломления стекол пропорционален их плотности [26]. Поэтому можно предположить, что в рассматриваемой системе значение n уменьшается с увеличением содержания йода. Это обстоятельство позволяет подобрать пару стекол для обеспечения волноводной структуры: стекло сердцевины должно содержать меньше йода, чем оболочка.
Таблица 4. Плотность стекол Ga15Ge10Te75–xIx
| Образец | ρ, ± 7×10–3 г/см3 | 
| Ga15Ge10Te75 | 5.503 | 
| Ga15Ge10Te72I3 | 5.424 | 
| Ga15Ge10Te71I4 | 5.395 | 
| Ga15Ge10Te70I5 | 5.406 | 
| Ga15Ge10Te69I6 | 5.377 | 
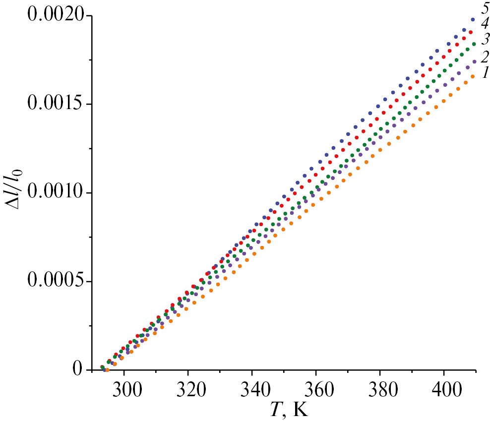
Термическое расширение. Результаты измерений относительного расширения стекол представлены на рис. 2. Дилатометрические данные были преобразованы по разработанной методике (уравнение (5ʹ)) для определения температурной зависимости ТКЛР. Полученная зависимость совместно с результатами измерений ТКЛР интервальным методом приведена на рис. 3. Значения ТКЛР, рассчитанные по предложенной модели обработки результатов динамической дилатометрии, совпадают с результатами интервального метода в пределах погрешности измерений.
Рис. 2. Термическое расширение стекол Ga15Ge10Te75–xIx: x = 0 (1), 3 (2), 4 (3), 5 (4), 6 (5).
Рис. 3. Температурные зависимости ТКЛР стекол Ga15Ge10Te75–xIx, вычисленные по данным динамической дилатометрии: x = 0 (1) 3 (2), 4 (3), 5 (4), 6 (5); точками показаны значения ТКЛР, полученные интервальным методом (для образцов с x = 0 и x = 5 по данным [15]).
На рис. 4 приведены зависимости ТКЛР при 350 К, найденные интервальным методом, от содержания йода и средней координации атомов в стекле < r >
< r > = Σri xi, (8)
где ri – координационное число i-го атома в стекле; xi – атомная доля [27]. Принимали значения rGa = 4, rGe = 4, rTe = 2; rI = 1 [23, 24, 28], xi – из табл. 1. Из полученных результатов следует, что при увеличении содержания йода и уменьшении средней координации атомов в стеклах Ge10Ga15Te75–xIx ТКЛР возрастает. Это может быть обусловлено уменьшением степени связанности структурной сетки стекла и увеличением ионного характера химических связей при добавлении йода [29]. Полученные результаты укладываются в общую тенденцию увеличения ТКЛР при уменьшении Tg [30]. Подобное влияние йода на ТКЛР было установлено ранее в стеклообразующей системе As2Se3–AsI3 [31]. Это необходимо учитывать при вытяжке волоконных световодов из стекол, обогащенных йодом, т.к. высокие значения ТКЛР могут приводить к разрыву кварцевого тигля или разрушению заготовки «штабик в трубке» при нагревании. В целом ТКЛР полученных образцов находятся на том же уровне или ниже, чем для большинства исследованных к настоящему времени сульфидных, селенидных и селенид-теллуридных стекол с высоким содержанием халькогена [15, 31–36]. Это упрощает технологию изготовления особо чистых образцов с применением многостадийных методик, включающих дистилляцию стеклообразующего расплава, при которых требуется многократное нагревание шихты [37].
Рис. 4. Зависимости ТКЛР стекол Ga15Ge10Te75–xIx от содержания йода (1) и средней координации атомов (2).
ЗАКЛЮЧЕНИЕ
Кристаллизационная устойчивость стекол Ga15Ge10Te75–xIx (x = 0–6 ат. %) повышается с увеличением содержания йода. Стекло состава Ga15Ge10Te79I6 потенциально пригодно для изготовления волоконных световодов (ΔT = 121 ± 2 K). Плотность стекол Ga15Ge10Te75–xIx уменьшается с возрастанием x от 5.503 до 5.377 г/см3. Увеличение содержания йода повышает ТКЛР стекол.
Наблюдаемые закономерности влияния состава на термические свойства интерпретированы в рамках структурно-связевого подхода. Результаты динамической дилатометрии обработаны с использованием новой методики, отражающей локальную взаимосвязь дилатометрической кривой и ТКЛР.
ФИНАНСИРОВАНИЕ РАБОТЫ
Работа выполнена при финансовой поддержке гранта Российского научного фонда № 21-73-10104.
КОНФЛИКТ ИНТЕРЕСОВ
Авторы заявляют, что у них нет конфликта интересов.
Авторлар туралы
Д. Патрушев
Институт химии высокочистых веществ им. Г.Г. Девятых Российской академии наук
														Email: velmuzhov.ichps@mail.ru
				                					                																			                												                	Ресей, 							603137 Нижний Новгород, ул. Тропинина, 49						
А. Кутьин
Институт химии высокочистых веществ им. Г.Г. Девятых Российской академии наук
														Email: velmuzhov.ichps@mail.ru
				                					                																			                												                	Ресей, 							603137 Нижний Новгород, ул. Тропинина, 49						
А. Плехович
Институт химии высокочистых веществ им. Г.Г. Девятых Российской академии наук
														Email: velmuzhov.ichps@mail.ru
				                					                																			                												                	Ресей, 							603137 Нижний Новгород, ул. Тропинина, 49						
К. Балуева
Институт химии высокочистых веществ им. Г.Г. Девятых Российской академии наук
														Email: velmuzhov.ichps@mail.ru
				                					                																			                												                	Ресей, 							603137 Нижний Новгород, ул. Тропинина, 49						
А. Вельмужов
Институт химии высокочистых веществ им. Г.Г. Девятых Российской академии наук
							Хат алмасуға жауапты Автор.
							Email: velmuzhov.ichps@mail.ru
				                					                																			                												                	Ресей, 							603137 Нижний Новгород, ул. Тропинина, 49						
Е. Тюрина
Институт химии высокочистых веществ им. Г.Г. Девятых Российской академии наук
														Email: velmuzhov.ichps@mail.ru
				                					                																			                												                	Ресей, 							603137 Нижний Новгород, ул. Тропинина, 49						
И. Евдокимов
Институт химии высокочистых веществ им. Г.Г. Девятых Российской академии наук
														Email: velmuzhov.ichps@mail.ru
				                					                																			                												                	Ресей, 							603137 Нижний Новгород, ул. Тропинина, 49						
А. Курганова
Институт химии высокочистых веществ им. Г.Г. Девятых Российской академии наук
														Email: velmuzhov.ichps@mail.ru
				                					                																			                												                	Ресей, 							603137 Нижний Новгород, ул. Тропинина, 49						
Әдебиет тізімі
- Petkov P., Ilchev P., Ilcheva V., Petcova T. Physico-chemical Properties of Ge-Te-Ga Glasses // J. Optoelectron. Adv. 2007. V. 9. № 10. P. 3093–3096.
- Cheng C., Wang X., Xu T., Sun L., Pan Z., Liu S., Zhu Q., Liao F., Nie Qiuhua, Dai S., Shen X., Zhang X., Chen W. Optical Properties of Ag- and AgI-doped Ge–Ga–Te Far-infrared Chalcogenide Glasses // Infrared Phys. Technol. 2016. V. 76. P. 698–703. https://doi.org/10.1016/j.infrared.2016.04.035
- Nie Q., Wang G., Wang X., Dai S., Deng S., Xu T., Shen X. Glass Formаtion and Properties of GeTe4–Ga2Te3–AgX (X= I/Br/Cl) Far Infrared Transmitting Chalcohalide Glasses // Opt. Commun. 2010. V. 283. P. 4004–4007. https://doi.org/10.1016/J.OPTCOM.2010.06.011
- Velmuzhov А.P., Sukhanov М.V., Plekhovich А.D., Zernova N.S., Churbanov М.F. Preparation and Investigation of the Properties of Ge25-xGaxTe75-yIy Glass System (x = 5, 10, 15, y = 0–6) // J. Non-Cryst. Solids. 2019. V. 503–504. P. 297–301. https://doi.org/10.1016/j.jnoncrysol.2018.10.008
- Boussard-Plédel C. Chalcogenide Waveguides for Infrared Sensing [в кн. Adam J.-L., Zhang X. Chalcogenide Glasses. Preparation, Properties and Applications // Woodhead Publishing. 2014. P. 381–410. https://doi.org/10.1533/9780857093561.2.381
- Wang X., Nie Q., Wang G., Sun J., Song B., Dai Sh., Zhang X., Bureau B., Boussard C., Conseil C., Ma H. Investigations of Ge–Te–AgI Chalcogenide Glass for Far-infrared Application // Spectrochim. Acta, Part A: Mol. Biomol. Spectrosc. 2012. V. 86. P. 586–589. https://doi.org/10.1016/j.saa.2011.11.018
- Shiryaev V.S., Velmuzhov A.P., Kotereva T.V., Tyurina E.А., Sukhanov M.V, Karaksina E.V. Recent Achievements in Development of Chalcogenide Optical Fibers for Mid-IR Sensing // Fibers. 2023. V.11. P. 54. https://doi.org/10.3390/fib11060054
- Cui S., Boussard-Plédel C., Lucas J., Bureau B. Te-based Glass Fiber for Far-infrared Biochemical Sensing up to 16 μm // Opt. Express. 2014. V. 22. № 18. P. 21253–21262. https://doi.org/10.1364/OE.22.021253
- Le Coq D., Cui Sh., Boussard-Pledel C., Masselin P., Bychkov E., Bureau B. Telluride Glasses with Far-infrared Transmission up to 35 mm // Opt. Mater. 2017. V. 72 P. 809–812. https://doi.org/10.1016/j.optmat.2017.07.038
- Velmuzhov A.P., Shiryaev V.S., Sukhanov M.V., Kotereva T.V., Stepanov B.S., Snopatin G.E. Mid-IR Fiber-optic Sensors Based on Especially Pure Ge20Se80 and Ga10Ge15Te73I2 Glasses // J. Non-Cryst. Solids. 2022. V. 579. P. 121374. https://doi.org/10.1016/j.jnoncrysol.2021.121374
- Artyushenko V., Bocharnikov A., Sakharova T., Usenov I. Mid-infrared Fiber Optics for 1–18 µm Range // Opt. Photonics. 2014. V. 9. № 4. P. 35–39. https://doi.org/10.1002/opph.201400062
- Musgraves J.D., Danto S., Richardson K. Thermal Properties of Chalcogenide Glasses// Adam J.-A., Zhang X. Chalcogenide Glasses. Preparation, Properties and Applications. Woodhead, 2014. P. 82–112. https://doi.org/10.1533/9780857093561.1.82
- Baudet E., Ledemi Y., Larochelle P., Morency S., Messaddeq Y. 3D-printing of Arsenic Sulfide Chalcogenide Glasses // Opt. Mater. Express. 2019. V. 9. №. 5. P. 2307–2317. https://doi.org/10.1364/OME.9.002307
- Luo Y., Canning J., Zhang J., Peng G.-D. Toward Optical Fibre Fabrication Using 3D Printing Technology // Opt. Fiber Technol. 2020. V. 58. P. 102299. https://doi.org/10.1016/j.yofte.2020.102299
- Giridhat A., Mahadevan S., Singh A.K. Thermal Expansion of Some Ge-Se-Te Glasses // J. Non-Cryst. Solids. 1988. V. 103. P. 73–78. https://doi.org/10.1016/0022-3093(88)90417-6
- Plekhovich А.D., Kut’in A.M., Velmuzhov A.P., Zernova N.S., Churbanov M.F. Thermodynamic Properties of Ge0.25-yGayTe0.75-xIx Glasses (y = 0.10, 0.15; x = 0 – 0.06 mol Fraction) for Optical Applications // Thermochim. Acta. 2020. V. 685. P. 178517. https://doi.org/10.1016/j.tca.2020.178517
- Бронштейн И. Н., Семендяев К. А. Справочник по математике для инженеров и учащихся вузов. 13-е изд., исправленное. М.: Наука, 1986. 544 с.
- Зельдович Я.Б., Мышкис А.Д. Элементы прикладной математики. М.: Наука, 1972. 592 с.
- Вельмужов А.П., Суханов М.В., Чурбанов М.Ф., Котерева Т.В., Шабарова Л.В., Кириллов Ю.П. Поведение гидроксильных групп в кварцевом стекле при термообработке в интервале 750–950°С // Неорган. материалы. 2018. Т. 54. № 9. С. 977–983. https://doi.org/10.1134/S0002337X18090166
- Evdokimov I.I., Kurganova A.E., Velmuzhov A.P. Determinатion of the Matrix Composition of Glasses of the Ga–Ge–Te–I System by Inductively Coupled Plasma Atomic Emission Spectrometry // J. Anal. Chem. 2023. V. 78. № 5. P. 644–651. https://doi.org/10.1134/S1061934823050040
- Hruby, A. Evaluation of Glass-forming Tendency by Means of DTA // Czech. J. Phys. B. 1972. V. 22. № 11. P.1187–1193. https://doi.org/10.1007/BF01690134
- Дембовский С.А., Чечеткина Е.А. Стеклообразование. М.: Наука, 1990. 279 с.
- Bouzid A., Pham T.-L., Chaker Z., Boero M., Massobrio C., Shin Y.-H., Ori G. Quantitative Assessment of the Structure of Ge20Te73I7 Chalcohalide Glass by First-principles Molecular Dynamics // Phys. Rev. B. 2021. V. 103. P. 094204. https://doi.org/10.1103/PhysRevB.103.094204
- Jovari P., Kaban I., Bureau B., Wilhelm A., Lucas P., Beuneu B., Zajac D.A. Structure of Te-rich Te–Ge–X (X = I, Se, Ga) Glasses // J. Phys.: Condens. Matter. 2010. V. 22. P. 404207. https://doi.org/10.1088/0953-8984/22/40/404207
- Calvez L. Transparent Chalcogenide Glass-ceramics // Adam J.-A., Zhang X. Chalcogenide Glasses. Preparation, Properties and Applications. Woodhead, 2014. P. 310–346. https://doi.org/10.1533/9780857093561.1.310
- Kitamura N., Fukumi K., Nishii J., Ohno N. Relationship between Refractive Index and Density of Synthetic Silica Glasses // J. Appl. Phys. 2007. V. 101. № 12. P. 123533. https://doi.org/10.1063/1.2748861
- John C. M. Topological Constraint Theory of Glass // Am. Ceram. Soc. Bull. 2011. V. 90. №. 4. P. 31–37.
- Chaker Z., Ori G., Boero M., Massobrio C., Furet E., Bouzid A. First-principles Study of the Atomic Structure of Glassy Ga10Ge15Te75 // J. Non-Cryst. Solids. 2018. V. 498. P. 338–344. https://doi.org/10.1016/j.jnoncrysol.2018.03.039
- Бартенев Г.М. Строение и механические свойства неорганических стекол. М.: Стройиздат, 1966. 216 с.
- Lunkenheimer P., Loidl A., Riechers B., Zaccone A., Samwer K. Thermal Expansion and the Glass Transition // Nat. Phys. 2023. V. 19. P. 694–699. https://doi.org/10.1038/s41567-022-01920-5
- Tverjanovich A., Vagizova E. Thermal Expansion of Glasses in the As2Se3–AsI3 System // J. Non-Cryst. Solids. 1999. V. 243. № 2–3. P. 277–280. https://doi.org/10.1016/S0022-3093(98)00830-8
- Voronova, A.E., Ananichev V.A., Blinov L.N. Thermal Expansion of Melts and Glasses in the As–Se System // Glass Phys. Chem. 2001. V. 27. № 3. P. 267–273. https://doi.org/10.1023/A:1011348518854
- Kawomoto Y., Tsuchihashi S. Thermal Expansion of Arsenic-Sulfur Glasses // J. Ceram. Soc. Jpn. 1970. V. 78. № 5. P. 173–174.
- Giridhar A., Mahadevan S., Singh A.K. Thermal Expansion Studies on As-Sb-Se Glasses // Bull. Mater. Sci. 1986. V. 8. № 1. P. 53–60. https://doi.org/10.1007/BF02744097
- Tsiulyariu D., Gumenyuk N., Marian S. Optical Absorption and Thermal Expansion of Semiconductor Glasses As-S-Ge by Topological Transition // Proc. SPIE. 1995. V. 2648. P. 41–47. https://doi.org/10.1117/12.226198
- Zhu E., Liu Y., Sun X., Yin G., Jiao Q., Dai S., Lin C. Correlation Between Thermo-Mechanical Properties and Network Structure in GexS100–x Chalcogenide Glasses // J. Non-Cryst. Solids: X. 2019. V. 1. P. 100015. https://doi.org/10.1016/j.nocx.2019.100015
- Velmuzhov A.P., Sukhanov M.V., Shiryaev V.S., Plekhovich A.D. Preparation of High-purity Germanium Telluride Based Glasses with Low Oxygen Impurity Content // J. Non-Cryst. Solids. 2021. V. 553. P. 120480. https://doi.org/10.1016/j.jnoncrysol.2020.120480
Қосымша файлдар
 
				
			 
						 
					 
						 
						 
						 
									
 
  
  
  Мақаланы E-mail арқылы жіберу
			Мақаланы E-mail арқылы жіберу 




