Парамагнитный эффект мейснера в сверхпроводящих боридах родия с магнитной подсистемой и при ее отсутствии
- Authors: Лаченков С.А.1, Власенко В.A.2,3, Цветков A.Ю.3, Кононов M.A.1,4
-
Affiliations:
- Институт металлургии и материаловедения им. А.А. Байкова Российской академии наук
- Институт металлургии и материаловедения им. А.А. Байкова
- Физический институт им. П.Н. Лебедева Российской академии наук
- Институт общей физики имени А.М. Прохорова Российской академии наук
- Issue: Vol 60, No 2 (2024)
- Pages: 175–182
- Section: Articles
- URL: https://journals.rcsi.science/0002-337X/article/view/274492
- DOI: https://doi.org/10.31857/S0002337X24020059
- EDN: https://elibrary.ru/LIQIXW
- ID: 274492
Cite item
Full Text
Abstract
Исследованы полевые М(Н) и температурные М(Т) зависимости магнитного момента ряда сверхпроводящих боридов родия со структурой типа LuRu4B4: «классического» сверхпроводника (YRh₄B₄), твердого раствора замещения с магнитным ионом (Y0.8Dy0.2Rh4B4), магнитных сверхпроводников (DyRh₃.₈Ru₀.₂B₄ и HoRh₃.₈Ru₀.₂B₄). На основе полученных данных проанализированы особенности парамагнитного эффекта Мейснера у этих соединений. Показано, что парамагнитный эффект Мейснера может возникнуть как под влиянием собственной магнитной подсистемы сверхпроводника, так и посредством небольших добавок магнитных ионов к исходному «классическому» сверхпроводящему соединению.
Full Text
ВВЕДЕНИЕ
Известно, что переход вещества в сверхпроводящее состояние характеризуется не только резким падением электросопротивления (до нулевого значения), но и идеальным диамагнетизмом (эффектом Мейснера), т.е. полным выталкиванием внешнего магнитного поля из образца, если оно не превышает критического значения. Возникновение эффекта Мейснера следует из теории БКШ, причем этот эффект имеет чисто квантово-механическую природу и не может быть объяснен на основе уравнений Максвелла [1].
С открытием высокотемпературной сверхпроводимости (ВТСП) был установлен интересный факт: в некоторых из таких материалов при переходе в безрезистивное состояние в магнитном поле проявлялся не традиционный диамагнетизм, а положительный магнитный момент (парамагнитный эффект Мейснера). Такой эффект был обнаружен на Bi-керамике – соединении со слоистой структурой, относящемся к ВТСП II рода [2]. Дальнейшие исследования показали, что парамагнитный эффект Мейснера имеет место у ниобиевых дисков [3] и даже у алюминия – сверхпроводника I рода [4]. Отметим, что положительный магнитный момент сверхпроводники показывают в том случае, если охлаждение (ниже Тс) происходит во внешнем магнитном поле (режим FC). С другой стороны, при охлаждении образца в отсутствие внешнего поля с последующим отогревом при включенном магнитном поле (режим ZFC) возникает отрицательный магнитный момент. В рамках традиционных теоретических представлений такое поведение магнитного момента образца характерно не для сверхпроводника, а для идеального проводника [1].
Из статьи [5] следует, что особенности парамагнитного эффекта Мейснера в случае Bi-керамики (например, ВТСП Bi₂Sr₂CaCu₂O₈) связаны с микроструктурой исследуемых материалов. Образцы I типа, синтезированные реакционным спеканием, имели пористую структуру с типичным размером зерна ~1–4 мкм, тогда как образцы II типа, полученные литьем из расплава, имели зерна значительно более крупные и плотно упакованные. В случае образцов I типа в режиме FC имел место частичный эффект Мейснера, тогда как для образцов II типа проявлялся парамагнитный отклик. Таким образом, микроструктура образцов оказывает существенное влияние на характер и тип эффекта Мейснера. Отметим, что до недавнего времени только критические токи массивных сверхпроводников относили к структурно чувствительным параметрам [1].
В настоящее время существуют два принципиальных подхода [5], которые позволяют объяснить возникновение парамагнитного эффекта Мейснера.
Первый базируется на наличии в образце сверхпроводящих гранул, между которыми существуют джозефсоновские связи с отрицательными энергиями (π-контакты). В джозефсоновских петлях, составленных из таких контактов, генерируются незатухающие токи, приводящие к появлению спонтанных орбитальных моментов, совпадающих по направлению с внешним магнитным полем.
Второй подход заключается в том, что сверхпроводящий образец может захватывать магнитный поток с последующим сжатием его в гигантский вихрь по мере уменьшения температуры. Идея захвата потока внутри сверхпроводящего образца и его последующего сжатия в гигантский вихрь является более простым и общим объяснением причины возникновения парамагнитного эффекта Мейснера, который охватывает широкий круг явлений.
Первоначально парамагнитный эффект Мейснера был подробно исследован и теоретически интерпретирован только у обычных сверхпроводников, в то время как сверхпроводники с собственной магнитной подсистемой (магнитные сверхпроводники) оставались вне поля зрения.
Как известно [6], магнитные сверхпроводники — это вещества, обладающие одновременно магнитными и сверхпроводящими свойствами. К таким объектам относятся сложные бориды родия с общей химической формулой RRh₄B₄ (где R – редкоземельный металл) [7–9]; железосодержащие сверхпроводники систем 1144 (EuRb/CsFe₄As₄) [10, 11], системы 122 EuFe₂(As₀.7P₀.₃)₂ [12]; семейство RNi₂B₂C с магнитными атомами [13–15]. Магнитная подсистема таких материалов в ряде случаев может радикально изменить их сверхпроводящие характеристики. Особенно интересны с этой точки зрения сложные бориды родия с широким спектром физических свойств, исследование которых остается актуальным и в настоящее время [16, 17].
В работе [18] было показано, что магнитная подсистема Dy₀.₈Y₀.₂Rh₄B₄ приводит к нарушению стандартного параболического хода кривой верхнего критического магнитного поля (Bс2(Т)), отклонению величины энергетической щели (Δ(0)) от значений, предсказываемых теорией БКШ, и ряду других аномалий.
Не так давно были выполнены измерения критических токов (jc) у магнитного сверхпроводника HoRh₃.₈Ru₀.₂B₄ [19]. Интерес к таким исследованиям был инициирован результатами работы [20], согласно которым магнитные области могут давать дополнительные центры пиннинга в сверхпроводнике. Оказалось, что закон «подобия», который как правило выполняется для обычных сверхпроводников, нарушается в случае магнитных [19]. Таким образом, к числу ранее установленных аномалий в сверхпроводниках с магнитной подсистемой добавилась еще одна, связанная с поведением их критических токов. В ряду таких аномалий наблюдаемый парамагнетизм в сверхпроводниках с собственной магнитной подсистемой — это еще один фрагмент, дополняющий и расширяющий картину наших представлений о взаимовлиянии сверхпроводимости и магнетизма.
Недавно авторы [21] наблюдали парамагнитный эффект Мейснера в искусственно созданной ферромагнитно-сверхпроводящей периодической структуре. В свою очередь в работе [22] этот эффект был обнаружен и исследован у сверхпроводника с собственной магнитной подсистемой DyRh₃.₈Ru₀.₂B₄, причем переход борида в сверхпроводящее состояние происходил на фоне положительного магнитного момента, обусловленного магнитной подсистемой (переход образца DyRh₃.₈Ru₀.₂B₄ в ферримагнитное состояние происходит при Тm~45К). Важно, что суммарный положительный момент магнитной подсистемы, сформированный в режиме FC, перекрывает вклад от диамагнитного эффекта Мейснера.
Представляется весьма важным расширить представления о парамагнитном эффекте Мейснера, а также проанализировать особенности поведения М(Т) магнитных сверхпроводников в режимах FC и ZFC в магнитных полях выше первого критического, включив в круг рассматриваемых объектов сложные бориды родия, сочетающие сверхпроводимость и магнетизм, а также их сверхпроводящие изоструктурные аналоги, у которых магнитная подсистема отсутствует.
ЭКСПЕРИМЕНТАЛЬНАЯ ЧАСТЬ
Сложные бориды родия RRh4B4 были синтезированы из смеси порошков иттрия, диспрозия, гольмия, родия, рутения и бора с чистотой не хуже 99.93%. Размер частиц порошка не превышал 40 мкм. Порошки иттрия, диспрозия и гольмия были приготовлены из дистиллированных редкоземельных металлов. Дистилляция металлов была выполнена в лаб. 12 ИМЕТ РАН по методикам, описанным в [23]. Необходимые порошки, взятые в требуемых количествах, тщательно перемешивали в агатовой ступке с добавлением ацетона, затем из них прессовали цилиндры. Синтез проводился прямым сплавлением исходных компонентов в контролируемой аргоновой атмосфере под давлением. Для кристаллизации соединений в структуре типа LuRu₄B₄, которая благоприятна для сосуществования сверхпроводимости и магнетизма, некоторое количество Rh замещали на Ru.
Удельное электросопротивление образцов измеряли обычным четырехконтактным методом при температурах от 1.6 до 250 К.
Зависимости магнитного момента образцов от поля и температуры измеряли на универсальном приборе РРМS-9 фирмы Quantum Design.
РЕЗУЛЬТАТЫ И ОБСУЖДЕНИЕ
В качестве объектов исследования были выбраны сверхпроводящие соединения: YRh₄B₄, Y₀.₈Dy₀.₂Rh₄B₄, DyRh₃.₈Ru₀.₂B₄ и HoRh₃.₈Ru₀.₂B₄. Все эти соединения были практически однофазными и состояли из фазы типа LuRu₄B₄ с тетрагональной решеткой. Более подробно рентгеновские исследования этих образцов описаны в работах [19, 22]. Отметим, что сверхпроводящие бориды родия со структурой типа LuRu₄B₄, содержащие атомы Y или R, были впервые представлены в работе [24].
Сверхпроводящий борид YRh₄B₄ (критическая температура сверхпроводящего перехода ~10 К, величина первого критического поля ~ 120–150 Э) кристаллизуется в структуре типа LuRu₄B₄. Важно, что у этого соединения нет магнитной подсистемы.
Рис. 1. Зависимости М(Т) в полях 1, 20, 100, 1000 Э для образца YRh₄B₄ в режимах FC и ZFC.
Зависимости магнитного момента от температуры (М(Т)) для YRh₄B₄ в полях от 1 до 1000 Э представлены на рис. 1. Анализ зависимостей М(Т) показывает, что после сверхпроводящего перехода магнитный момент имеет отрицательную величину, а модуль разности МZFC и МFC увеличивается по мере возрастания внешнего магнитного поля. Аналогичная картина наблюдалась для ранее упомянутого Bi-ВТСП, синтезированного реакционным спеканием [5]. Таким образом, величина парамагнитного отклика и поведение М(Т) в режимах FC и ZFC у YRh₄B₄ со структурой типа LuRu₄B₄аналогичны другим немагнитным сверхпроводникам, для которых наблюдался парамагнитный эффект Мейснера.
Рис. 2. Температурная зависимость электросопротивления для образца Y₀.₈Dy₀.₂Rh₄B₄.
Интересен случай сверхпроводника Y₀.₈Dy₀.₂Rh₄B₄, полученного на основе борида YRh₄B₄, в котором небольшое количество атомов Y замещено на Dy. У такого твердого раствора замещения критическая температура сверхпроводящего перехода понизилась до ~ 7.6 K (рис. 2) по сравнению с исходным YRh₄B₄ (Тс ~10 К), а величина первого критического поля составила ~120–150 Э, как у исходного YRh₄B₄.
Известно [9], что введение даже небольшого количества парамагнитных примесей в сверхпроводник (~1 ат.%, а в отдельных случаях ~0.1 ат.%) может привести к существенной деградации его свойств. Это происходит вследствие обменного взаимодействия отдельных локализованных магнитных ионов и электронов проводимости. Такое взаимодействие может быть описано на основе гамильтониана вида
, (1)
где Г – обменный параметр, Sj – спин j-го локализованного момента, s – спин электрона проводимости, N – полное число атомов в системе.
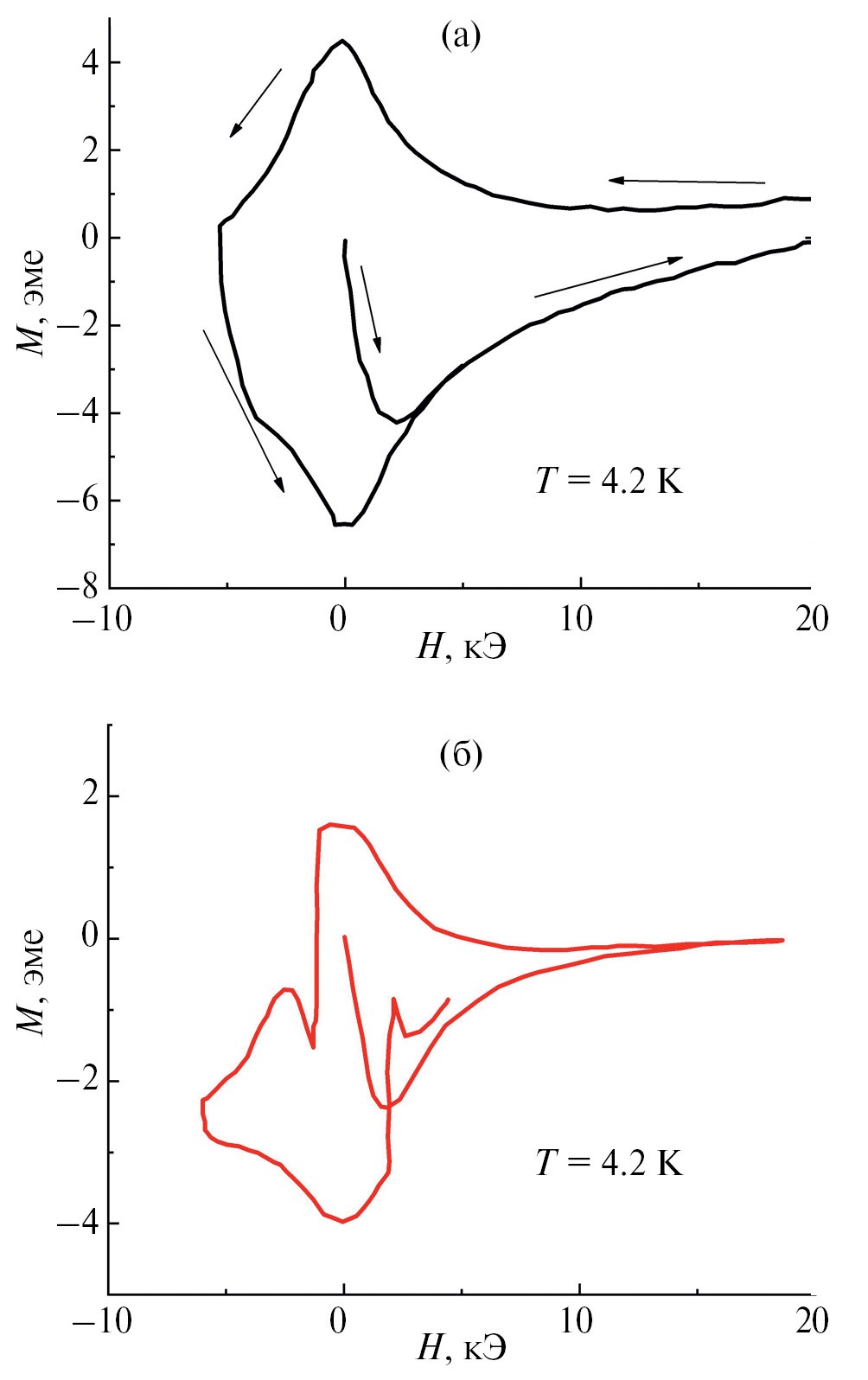
Рис. 3. Фрагменты зависимостей магнитного момента от поля при 4.2 К для YRh₄B₄ (а) и Y₀.₈Dy₀.₂Rh₄B₄(б).
Сравнительный анализ петель гистерезиса образцов YRh₄B₄ и Y₀.₈Dy₀.₂Rh₄B₄(рис. 3) показывает, что они во многом схожи и типичны для немагнитных сверхпроводников. Таким образом, небольшие добавки Dy к YRh₄B₄ еще не позволяют сформировать хорошо выраженную магнитную подсистему, но значительно понижают Тс соединения из-за взаимодействия локализованных магнитных ионов и электронов проводимости.
Рис. 4. Зависимости M(T) для образца Y₀.₈Dy₀.₂Rh₄B₄ в полях 20 и 100 Э в режимах FC и ZFC.
На рис. 4 приведены результаты исследований зависимости М(Т) образца Y₀.₈Dy₀.₂Rh₄B₄в режимах FC и ZFC (в полях 20 и 100 Э). Сравнительный анализ зависимостей М(Т) соединений YRh₄B₄ и Y₀.₈Dy₀.₂Rh₄B₄в режимах FC и ZFC (при 20 и 100 Э) указывает на их существенное различие (рис. 1 и 4): в случае YRh₄B₄ магнитный момент всегда имеет диамагнитный отклик (при FC более слабый), тогда как у образца Y₀.₈Dy₀.₂Rh₄B₄ такой отклик наблюдался только в режиме ZFC. Как отмечалось выше, небольшие добавки Dy к YRh₄B₄ не позволяют сформироваться собственной магнитной подсистеме соединения. С другой стороны, ионы диспрозия в структуре Y₀.₈Dy₀.₂Rh₄B₄образуют систему локализованных магнитных ионов, которые существенно влияют на характер М(Т) в режимах FC и ZFC и приводят к возникновению парамагнетизма в режиме FC ниже температуры сверхпроводящего перехода.
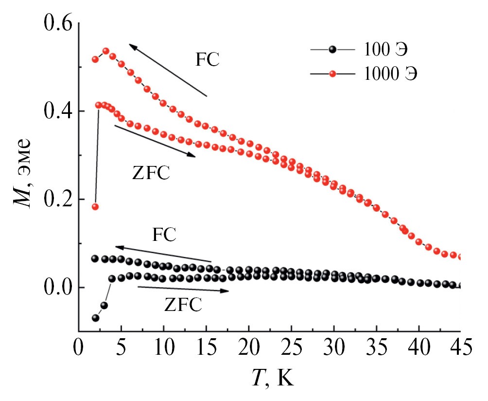
В работе [22] сообщалось о парамагнитном эффекте Мейснера у магнитного сверхпроводника DyRh₃.₈Ru₀.₂B₄ в полях ~ 20 Э. В настоящей работе были продолжены исследования этого соединения и выполнены измерения магнитного момента М(Т) в режимах FC и ZFC в более высоких магнитных полях (в полях 100 и 1000 Э) (рис. 5). Помимо «естественного» сдвига начала сверхпроводящего перехода DyRh₃.₈Ru₀.₂B₄ в область более низких температур, связанного с увеличением внешнего магнитного поля, можно отметить еще ряд важных моментов: возрастание величины М(Т) образца при повышении поля от 100 до 1000 Э; даже в режиме ZFC в приложенном внешнем магнитном поле ~ 1000 Э образец не проявлял диамагнетизма, хотя находился в сверхпроводящем состоянии. Сверхпроводящее состояние образца при таких условиях следует из анализа Вс2(Т) DyRh₃.₈Ru₀.₂B₄ при Т < 4 К и В<0.2 Тл [22].
Рис. 5. Зависимости М(Т) для образца DyRh₃.₈Ru₀.₂B₄ в полях 100 и 1000 Э в режимах FC и ZFC.
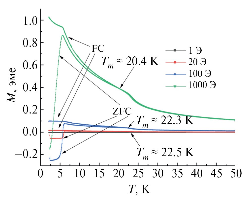
Другой объект, у которого был исследован и проанализирован парамагнитный эффект Мейснера, – это магнитный сверхпроводник HoRh₃.₈Ru₀.₂B₄ (кристаллическая структура типа LuRu₄B₄) с критической температурой сверхпроводящего перехода Тс~ 6 К, температурой магнитного перехода (парамагнетик → ферримагнетик) Тm ~ 20.4–22.5 К и величиной первого критического поля ~70–80 Э.
Результаты измерений М(Т) HoRh₃.₈Ru₀.₂B₄, выполненные в полях от 1 до 1000 Э, представлены на рис. 6. Видно, что в поле 20 Э образец HoRh₃.₈Ru₀.₂B₄ показывает парамагнитный эффект Мейснера, аналогичный тому, что наблюдался у соединения DyRh₃.₈Ru₀.₂B₄. Расхождение кривых М(Т) образца HoRh₃.₈Ru₀.₂B₄ в режимах FC и ZFC (рис. 6) начинается при температурах ниже Тm, причем во всех случаях кривые FC идут выше ZFC, а величина магнитного момента повышается по мере увеличения поля от 20 до 1000 Э. Второй этап резкого расхождения кривых FC и ZFC начинается при температурах ниже Тс, когда ZFC резко идет вниз, а FC остается практически постоянной в полях до 100 Э либо идет вверх в случае более высоких магнитных полей ( ~ 1000 Э). Важно, что М(Т) HoRh₃.₈Ru₀.₂B₄ в режиме ZFC при температурах ниже Тс всегда показывает отрицательные значения (в отличие от образца DyRh₃.₈Ru₀.₂B₄ (рис. 5)), тогда как в режиме FC магнитный момент положителен.
Рис. 6. Зависимости М(Т) в полях 1, 20, 100, 1000 Э для образца HoRh₃.₈Ru₀.₂B₄ в режимах FC и ZFC.
Из сопоставления данных, представленных на рис. 5 и 6, а также результатов [22] следует, что поведение магнитного момента соединения HoRh₃.₈Ru₀.₂B₄ в основном аналогично тому, что наблюдалось у DyRh₃.₈Ru₀.₂B₄. Важно отметить, что расхождение кривых FC и ZFC в случае сверхпроводников DyRh₃.₈Ru₀.₂B₄ и HoRh₃.₈Ru₀.₂B₄ начинается с перехода их собственной магнитной подсистемы из парамагнитного в ферримагнитное состояние. Хорошо известно, что подобным образом ведут себя кривые М(Т) обычных магнетиков [25, 26]. Второе резкое расхождение FC и ZFC у DyRh₃.₈Ru₀.₂B₄ и HoRh₃.₈Ru₀.₂B₄ происходит при температуре ниже Тс.
Из анализа работ [1–5] (обсуждались выше) следует, что парамагнитный эффект Мейснера существенно зависит от размерного и структурного факторов сверхпроводящих образцов. Теперь к таким факторам можно отнести магнитную подсистему сверхпроводника, а также небольшие добавки локализованных магнитных ионов, которые еще не формируют магнитную подсистему соединения, но обуславливают парамагнитный эффект Мейснера.
Если у обычных сверхпроводников расхождение кривых М(Т) в режимах FC и ZFC как правило наблюдается выше Тс, то в случае магнитных сверхпроводников это происходит в два этапа: первый связан с переходом их собственной магнитной подсистемы из парамагнитного в ферримагнитное состояние; второй наблюдается при температуре ниже сверхпроводящего перехода в виде резкого расхождения кривых FC и ZFC. Важно, что при наличии магнитной подсистемы переход в сверхпроводящее состояние в режимах FC и ZFC происходит из двух неэквивалентных состояний ее магнитного момента (MFC≠MZFC).
ЗАКЛЮЧЕНИЕ
Синтезирован ряд сверхпроводящих боридов родия со структурой типа LuRu₄B₄: «классический» сверхпроводник (YRh₄B₄), твердый раствор замещения с магнитным ионом (Y₀.₈Dy₀.₂Rh₄B₄), магнитные сверхпроводники (DyRh₃.₈Ru₀.₂B₄ и HoRh₃.₈Ru₀.₂B₄). Исследованы полевые М(Н) и температурные М(Т) зависимости магнитного момента этих соединений.
Показано, что в случае «классического» сверхпроводника YRh₄B₄ магнитный момент М(Т) после сверхпроводящего перехода имеет отрицательную величину как в режиме FC, так и в режиме ZFC, при этом модуль разности |МZFC – МFC| увеличивается по мере возрастания внешнего магнитного поля. Поведение магнитного момента YRh₄B₄ подобно другим немагнитным сверхпроводникам.
Установлено, что твердый раствор замещения Y₀.₈Dy₀.₂Rh₄B₄не имеет магнитной подсистемы. Однако диспрозий в структуре Y₀.₈Dy₀.₂Rh₄B₄образует систему локализованных магнитных ионов, которые существенно влияют на характер М(Т) и приводят к парамагнетизму в режиме FC ниже температуры сверхпроводящего перехода.
Установлено, что ход кривых М(Т) в режимах FC и ZFC в случае магнитных сверхпроводников DyRh₃.₈Ru₀.₂B₄ и HoRh₃.₈Ru₀.₂B₄ практически одинаков. Расхождение кривых FC и ZFC начинается с перехода магнитной подсистемы соединений из парамагнитного в ферримагнитное состояние; второе резкое расхождение кривых происходит при температуре ниже Тс.
Показано, что парамагнитный эффект Мейснера может возникнуть как под влиянием собственной магнитной подсистемы сверхпроводника, так и посредством небольших добавок магнитных ионов к исходному «классическому» сверхпроводящему соединению.
БЛАГОДАРНОСТЬ
Измерения проведены с использованием оборудования Центра коллективного пользования ФИАН.
ФИНАНСИРОВАНИЕ РАБОТЫ
Работа выполнялась по государственному заданию № 075-01176-23-00.
КОНФЛИКТ ИНТЕРЕСОВ
Авторы заявляют, что у них нет конфликта интересов.
About the authors
С. А. Лаченков
Институт металлургии и материаловедения им. А.А. Байкова Российской академии наук
Author for correspondence.
Email: slachenkov@imet.ac.ru
Russian Federation, Ленинский пр., 49, Москва, 119991
В. A. Власенко
Институт металлургии и материаловедения им. А.А. Байкова; Физический институт им. П.Н. Лебедева Российской академии наук
Email: slachenkov@imet.ac.ru
Russian Federation, Ленинский пр., 49, Москва, 119991; Ленинский пр., 53, Москва, 119334
A. Ю. Цветков
Физический институт им. П.Н. Лебедева Российской академии наук
Email: slachenkov@imet.ac.ru
Russian Federation, Ленинский пр., 53, Москва, 119334
M. A. Кононов
Институт металлургии и материаловедения им. А.А. Байкова Российской академии наук; Институт общей физики имени А.М. Прохорова Российской академии наук
Email: slachenkov@imet.ac.ru
Russian Federation, Ленинский пр., 49, Москва, 119991; ул. Вавилова, 38, Москва, 119334
References
- Шмидт В.В. Введение в физику сверхпроводников. М.: МЦНМО, 2000. 397 с.
- Svedlindh K. Niskanen, Norling P., Nordblad P., Lundgren L., Lonnberg B., Lundstrom T. Anti-Meissner Effect in the BiSrCaCuO-System // Physica C: Supercond. 1989. V. 162–164. Part 2. P. 1365-1366.
- Pust L., Wenger L.E. Detailed Investigation of the Superconducting Transition of Niobium Disks Exhibiting the Paramagnetic Meissner Effect // Phys. Rev. B. 1998. V. 58. № 2. P. 14191-14194.
- Geim A.K., Dubonos S.V., Lok J.G.S., Henini M.., Maan J.C. Paramagnetic Meissner Effect in Small Superconductors // Nature. 1998. V. 396. P. 144-146.
- Li. Paramagnetic Meissner Effect and Related Dynamical Phenomena // Phys. Rep. 2003. V. 376. P. 133–223. doi: 10.1016/S0370-1573(02)00635-X
- Буздин А.И., Булаевский Л.Н., Кулич М.Л., Панюков С.В. Магнитные сверхпроводники // УФН. 1984. Т. 144. Вып. 4. С. 597–641.
- Chevrel R., Sergent M., Prigent J. Sur de Nouvelles Phases Sulfurées Ternaires du Molybdène // Solid State Chem. 1971. V. 3. № 4. P. 515–519.
- Matthias B. T., Marezio M., Corenzwit E., Cooper A.S., Barz H.E. High-Temperature Superconductors, the First Ternary System // Science. 1972. V. 175. № 4029. P. 1465–1466.
- Maple M.B., Fischer O. Superconductivity in Ternary Compounds II. Superconductivity and Magnetism. N.Y.: Springer, 1982. P. 308.
- Liu Y. B., Liu Y., Cao G. H. Iron-Based Magnetic Superconductors AEuFe4As4 (A = Rb, Cs): Natural Superconductor–Ferromagnet Hybrids // J. Phys.: Condens. Matter. 2021. V.3 4. № 9. P. 093001.
- Usman M., Zhou X., Malliakas C.D., Welp U. et al. Probing Phosphorus Solubility and Its Effect on Critical Temperature (Tc) in the Helical Superconducting Magnet RbEuFe4As4–xPx // Chem. Mater. 2023. V. 35. № 20. P. 8494-8501. https://doi.org/10.1021/acs.chemmater.3c01310
- Prando G., Torsello D., Sanna S., Graf M. J. et al. Complex Vortex-Antivortex Dynamics in the Magnetic Superconductor EuFe2(As0.7P0.3)2 // Phys. Rev. B. 2022. V. 105. № 22. P. 224504. https://doi.org/10.7502/j.issn.1674-3962.2018.05.07
- Wolowiec C. T., White B. D., Maple M. B. Conventional Magnetic Superconductors // Phys. C: Supercond. Appl. 2015. V. 514. P. 113-129.
- Mazumdar C., Gupta L. C. Discovery of Superconducting Quaternary Y–Ni–B–C System, Tc∼ 12 K, and a Brief Review of Superconducting and Magnetic Properties of RNi2B2C // Supercond. Sci. Technol. 2022. V. 35. № 9. P. 094001. https://doi.org/https://doi.org/10.7502/j.issn.1674-3962.2018.05.07
- Gundogdu S., Clancy J.P., Xu G., Zhao Y. et al. Magnetic Order and Competition with Superconductivity in (Ho-Er)Ni2B2C // Mater. Res. Express. 2020. V.7. № 11. P.116002. https://doi.org/10.1088/2053-1591/abc9
- Jatmika J., Maruyama H., Rahman M. S., Sakai A., Nakatsuji S., Iyo A., Ebihara T. Superconducting Properties of the Ternary Boride YRh₄B₄ // Supercond. Sci. Technol. 2020. V. 33. № 12. P. 125006. https://doi.org/10.1088/1361-6668/abbb18
- Kurata K., Muranaka T. Superconducting Properties of Pt-Type and Bct-Type YRh₄B₄ // Supercond. Sci. Technol. 2023. V. 36. № 8. P. 085005. https://doi.org/10.1088/1361-6668/acd7ac
- Бурханов Г.С., Лаченков С.А., Хлыбов Е.П. Особенности фазовых переходов магнитного сверхпроводника Dy0.8Y0.2Rh4B4 // Металлы. 2010. № 3. С. 79–83.
- Бурханов Г.С., Лаченков С.А., Власенко В. А. Хлыбов Е.П., Гаврилкин С. Ю. Особенности магнитных свойств и критических токов сверхпроводящих боридов родия YRh₄B₄ и HoRh₃.₈Ru₀.₂B₄ // Неорган. материалы. 2021. Т. 57. № 7. C. 720-726. https://doi.org/10.31857/S0002337X21070022
- Jung S.-G., Kang J.-H., Park E. et al. Enhanced Critical Current Density in the Pressure-Induced Magnetic State of the High-Temperature Superconductor FeSe // Sci. Rep. 2015. V. 5. P. 16385. doi: 10.1038/srep1638
- Никитенко Ю. В., Жакетов В. Д. Магнетизм ферромагнитно-сверхпроводящих неоднородных слоистых структур // Физика элементарных частиц и атомного ядра. 2022. Т. 53. Вып. 6. C.1339–1400.
- Бурханов Г.С., Лаченков С.А., Хлыбов Е.П. Парамагнитный эффект Мейснера у магнитного сверхпроводника DyRh3,8Ru0,2B4 // Перспективные материалы. 2020. № 4. С. 5-10. https://doi.org/10.30791/1028-978X-2020-4-5-10.
- Девятых Г.Г., Бурханов Г.С. Высокочистые тугоплавкие и редкие металлы. М.: Наука, 1993. 223 с.
- Johnston D.C. Superconductivity in a New Ternary Structure Class of Boride Compounds // Solid State Commun. 1977. V. 24. № 10. P. 699-702.
- Труханов С.В. Особенности магнитного фазового расслоения в анион-дефицитном манганите La0.70Sr0.30MnO2.85 // ФТТ. 2011. Т. 53. Вып. 9. С. 1748-1753.
- Балаев Д.А., Красиков А.А., Балаев А.Д., Столяр С.В., Ладыгина В.П., Исхаков Р.С. Особенности релаксации остаточной намагниченности антиферромагнитных наночастиц на примере ферригидрита // ФТТ. 2020. Т. 62. Вып. 7. С. 1043-1049. https://doi.org/10.21883/FTT.2020.07.49469.038
Supplementary files








