Эффективный коэффициент разделения в зависимости от степени дистилляции и температуры
- Authors: Кравченко А.И.1, Жуков А.И.1
-
Affiliations:
- Харьковский физико-технический институт Национальной академии наук Украины
- Issue: Vol 60, No 1 (2024)
- Pages: 64-68
- Section: Articles
- URL: https://journals.rcsi.science/0002-337X/article/view/274444
- DOI: https://doi.org/10.31857/S0002337X24010084
- EDN: https://elibrary.ru/MHKRSR
- ID: 274444
Cite item
Full Text
Abstract
Показана возможность построения зависимости эффективного коэффициента разделения β от степени дистилляции g и температуры (при заданных значениях давления пара испаряемого вещества, числа Пекле при температуре плавления, энергии активации диффузии примеси и начального коэффициента разделения β0) через построение зависимости чистоты конденсата от g при заданном β0 и значениях числа Пекле, соответствующих ряду рассматриваемых температур. Приведен пример расчета указанной зависимости для модельного материала на основе бериллия. Отмечены закономерности названной зависимости.
Full Text
ВВЕДЕНИЕ
Дистилляция и сублимация относятся к основным методам получения высокочистых веществ, в связи с чем проявляется интерес к их теоретическим основам [1–11]. В общем случае эти процессы описываются системой уравнений с двумя параметрами: с начальным коэффициентом разделения β0 и с числом Пекле
,
где w – скорость испарения вещества с единицы поверхности, D – коэффициент диффузии примеси, X – размерный фактор испаряемого материала (например, начальная толщина слоя жидкости в тигле), ρ – плотность вещества. Ввиду сложности уравнений их решения не могут быть получены в аналитическом виде, но могут быть найдены численными методами [5–8].
Число Pe зависит от температуры T вследствие температурных зависимостей w(T) и D(T). Как было показано ранее [7–9],
, (1)
где Pe и Pem – числа Пекле при некоторой температуре T и при температуре плавления Tm соответственно, D и Dm – коэффициенты диффузии примеси при T и Tm соответственно, w и wm – скорости испарения вещества с единицы поверхности при T и Tm соответственно. При этом известен порядок величины Dm (~ 10–6 см2/с в твердом теле и ~10–5 см2/с в жидкости [12]), а температурная зависимость D(T) определяется формулой [7, 8]
, (2)
где Q – энергия активации диффузии примеси, R – универсальная газовая константа. С помощью уравнения Ленгмюра [13] выводится формула
, (3)
где p и pm – давление пара вещества при T и Tm соответственно (данные о давлении пара веществ могут быть взяты из справочной литературы, например [14]).
В то же время, для описания дистилляции и сублимации применимо простое уравнение с эффективным коэффициентом разделения β, зависящим от степени дистилляции g и числа Pe [6, 9–11]
, (4)
где С – усредненная концентрация примеси в конденсате, C0 – начальная концентрация примеси (β0 – отношение концентрации примеси в паре, покидающем поверхность испарения, к ее концентрации в веществе вблизи поверхности испарения). При идеальном перемешивании рафинируемой жидкости Pe = 0, а β = β0 [6].
Как альтернатива недавно представленного сложного рассмотрения зависимостей β(g) и β(T) [9, 10] был продолжен поиск более простого способа построения зависимости β(g, T) – что и было целью работы. При этом было обращено внимание на то, что графики зависимости С/C0 от g [6, 9–11], по сути, демонстрируют расхождение эффективного и равновесного коэффициентов разделения.
ТЕОРЕТИЧЕСКАЯ ЧАСТЬ
Отклонение графиков зависимости С/C0 от g, построенных при Pe ≠ 0, от графиков, построенных при Pe = 0, зависит от β0 и Pe: отклонение уменьшается с уменьшением β0 и Pe. При β0 ≥ 0.5 расхождение заметно при Pe > 1, при β0 = 0.1 расхождение заметно только при Pe > 1-10, при β0 = 0.01 – при Pe > 10, а при β0 = 0.001 – при Pe > 100 (см. графики [6, 9–11]).
Эффективный коэффициент разделения вычислялся с помощью уравнения (1), преобразованного к виду
. (5)
Формула (1) с учетом (2) и (3) преобразовывается в формулу
. (6)
которая позволяет вычислить значения Pe для ряда значений T (при заданных значениях параметров Tm, p, pm, Q и Pem) и, используя разработанную ранее методику расчета [6], построить зависимость С/C0 от g при значениях Pe, соответствующих заданному ряду значений T. После этого с помощью формулы (5) могут быть вычислены значения β при заданных T и g, т.е. может быть построена зависимость β(T, g) при заданном β0 и заданных параметрах Tm, p, pm, Q и Pem.
Зависимость β(g, T) рассматривалась на примере материала на основе бериллия со значением Q/R = 1 ∙ 104 K. Расчетные данные для такого материала приведены в табл. 1.
Таблица 1. Расчетные данные для материала на основе бериллия (Tm = 1551 K) со значением Q /R = 1∙104 K
T, K | p, мм рт. ст. [14] | p/pm | (Tm/T)1/2 | Pe/Pem | |
1551 | 0.03 | 1 | 1 | 1 | 1 |
1600 | 0.06 | 2.0 | 0.98 | 1.22 | 1.6 |
1700 | 0.24 | 8.0 | 0.96 | 1.77 | 4.3 |
1800 | 0.80 | 26.7 | 0.93 | 2.44 | 10.2 |
1900 | 2.32 | 77.3 | 0.90 | 3.29 | 21.1 |
РЕЗУЛЬТАТЫ И ОБСУЖДЕНИЕ
Зависимости С/C0 от g при значениях Pe, соответствующих температурам, указанным в табл. 1 для материала на основе бериллия при двух значениях Pem (10 и 100), показаны на рис. 1, а результаты вычисления зависимости β(T, g) – в табл. 2. (Для вычисления значений С/C0 при Pem = 100 и 1020 использовались графики зависимости С/C0 от g со значением Pe = 100 и 1000 (≈ 1020) соответственно из работ [10, 11].) (Можно отметить, что если g ≈ 0 или g ≈ 1, то β ≈ β0.) Данные табл. 2 использовались для графического представления зависимостей β(g, T), показанных на рис. 2.
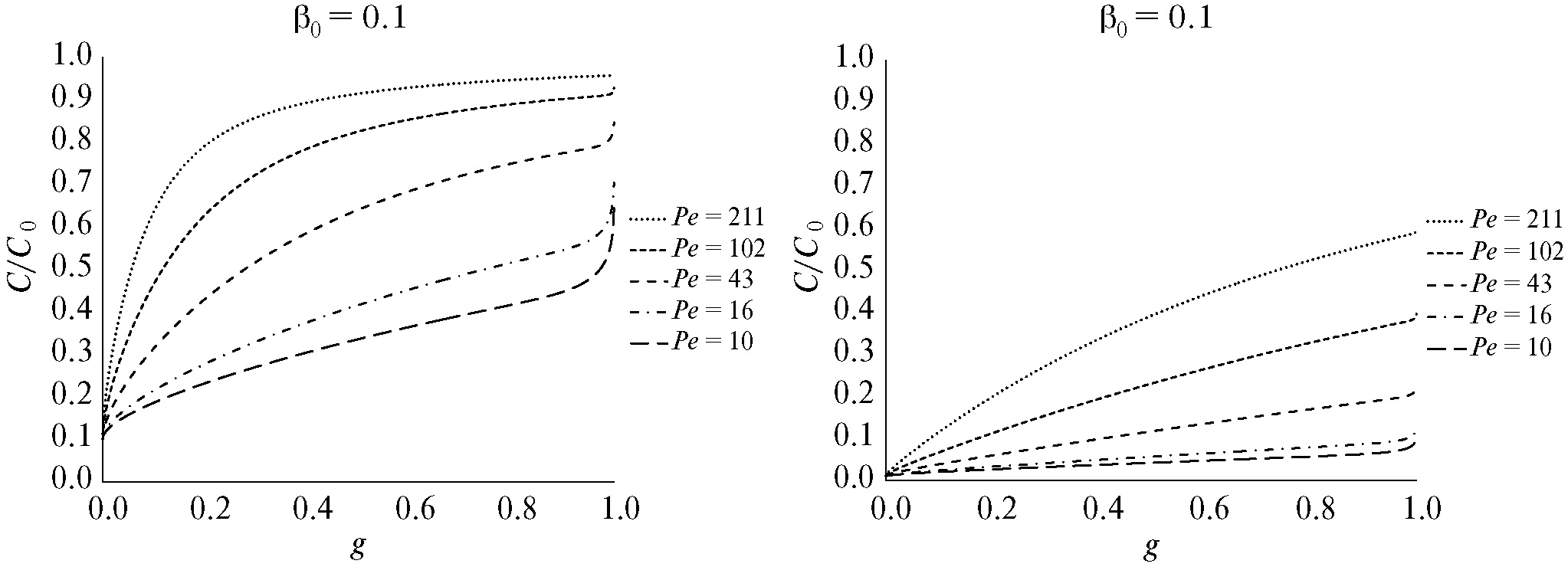
Рис. 1. Зависимости чистоты конденсата от степени дистилляции g материала в процессе с плоской постоянной поверхностью испарения при двух значениях β0 и различных значениях Pe (C – усредненная концентрация примеси в конденсате, C0 – начальная концентрация примеси)
Таблица 2. Эффективный коэффициент разделения β в процессе испарения бериллия с примесью (со значением Q/R = 1 ∙ 104 K) при различных температурах (при Pem = 10 и 100) в зависимости от степени дистилляции g при различных значениях равновесного коэффициент разделения β0
β0 | T, K | Pe | С/C0 при различных g | β при различных g | ||||||||
g = 0.2 | g = 0.4 | g = 0.6 | g = 0.8 | g = 0.9 | g = 0.2 | g = 0.4 | g = 0.6 | g = 0.8 | g = 0.9 | |||
0.1 | 1551 | 10 | 0.22 | 0.30 | 0.36 | 0.41 | 0.45 | 0.19 | 0.25 | 0.27 | 0.25 | 0.23 |
1600 | 16 | 0.28 | 0.37 | 0.45 | 0.51 | 0.55 | 0.25 | 0.31 | 0.34 | 0.33 | 0.30 | |
1700 | 43 | 0.42 | 0.58 | 0.69 | 0.75 | 0.77 | 0.38 | 0.52 | 0.58 | 0.57 | 0.51 | |
1800 | 102 | 0.62 | 0.78 | 0.85 | 0.89 | 0.90 | 0.57 | 0.73 | 0.78 | 0.77 | 0.72 | |
1900 | 211 | 0.80 | 0.90 | 0.93 | 0.95 | 0.99 | 0.75 | 0.87 | 0.94 | 0.89 | 0.84 | |
0.01 | 1551 | 10 | 0.02 | 0.03 | 0.05 | 0.06 | 0.07 | 0.02 | 0.02 | 0.03 | 0.03 | 0.03 |
1600 | 16 | 0.02 | 0.05 | 0.07 | 0.08 | 0.09 | 0.02 | 0.04 | 0.05 | 0.04 | 0.04 | |
1700 | 43 | 0.05 | 0.10 | 0.14 | 0.17 | 0.19 | 0.04 | 0.08 | 0.10 | 0.09 | 0.08 | |
1800 | 100 | 0.11 | 0.19 | 0.26 | 0.32 | 0.36 | 0.06 | 0.16 | 0.19 | 0.18 | 0.17 | |
1900 | 211 | 0.20 | 0.34 | 0.44 | 0.52 | 0.55 | 0.18 | 0.29 | 0.33 | 0.33 | 0.30 | |
0.1 | 1551 | 100 | 0.62 | 0.78 | 0.85 | 0.89 | 0.90 | 0.57 | 0.73 | 0.78 | 0.77 | 0.72 |
1800 | 1020 | 0.96 | 0.98 | 0.99 | 0.99 | 0.99 | 0.91 | 0.97 | 0.98 | 0.98 | 0.96 | |
0.01 | 1551 | 100 | 0.11 | 0.19 | 0.26 | 0.32 | 0.36 | 0.06 | 0.16 | 0.19 | 0.19 | 0.17 |
1800 | 1020 | 0.57 | 0.75 | 0.83 | 0.88 | 0.89 | 0.52 | 0.70 | 0.75 | 0.76 | 0.70 | |
Рис. 2. Зависимости β(g) при различных значениях β0 и Т для материала на основе бериллия при Q/R = 1 ∙ 104 K и Pem = 10 (X = 1.4 см)
Данные табл. 2 и рис. 2 дают представление о характере зависимости β(g, T). Коэффициент β растет с ростом g и T. Зависимость β(g, T) более заметна при меньшем значении β0, большей температуре и большем значении Pem. Видно негативное влияние увеличения начальной толщины слоя жидкости X на эффективность рафинирования (для бериллия с Tm = 1551 K значение Pem = 10 соответствует X ~ 1 см, а Pem = 100 – X ~ 10 см).
Можно обратить внимание на зависимость β от Q. Как показывает формула (6), рост Q уменьшает отношение Pe/Pem, т. е. сближает графики зависимости β(g), построенные при различных температурах при заданном β0.
Такая методика построения зависимости β(g, T) заметно проще представленной в недавней работе [10] и обеспечивает более надежные результаты расчетов.
ЗАКЛЮЧЕНИЕ
На примере модельного материала “основа – примесь” с заданными параметрами (Tm, p, pm, Q, Pem и β0) показана возможность построения зависимости β(g, T) с использованием предварительно построенной зависимости чистоты конденсата от g при заданном β0 и значениях числа Пекле, соответствующих ряду рассматриваемых температур.
КОНФЛИКТ ИНТЕРЕСОВ
Авторы заявляют, что у них нет конфликта интересов.
About the authors
А. И. Кравченко
Харьковский физико-технический институт Национальной академии наук Украины
Author for correspondence.
Email: krwchnko@gmail.com
Ukraine, Харьков
А. И. Жуков
Харьковский физико-технический институт Национальной академии наук Украины
Email: krwchnko@gmail.com
Ukraine, Харьков
References
- King C.J. Separation Processes. Second edition. N.Y.: Dover, 2013.
- Девятых Г.Г., Еллиев Ю.Е. Глубокая очистки веществ. М.: Высшая школа, 1990. 192 с.
- Дытнерский Ю.И. Процессы и аппараты химической технологии. Учебник для вузов. Изд. 2. В 2 кн. Ч. 2. Массообменные процессы и аппараты. М.: Химия, 1995. 368 с.
- Нисельсон Л.А., Ярошевский А.Г. Межфазовые коэффициенты распределения. Равновесия кристалл – жидкость и жидкость – пар. М.: Наука, 1992. 399 с.
- Кириллов Ю.П., Кузнецов Л.А., Шапошников В.А., Чурбанов М.Ф. Влияние диффузии на глубину очистки веществ дистилляцией // Неорган. материалы. 2015. Т. 51. № 11. С. 1177–1182. https://doi.org/10.7868/S002337X15100085
- Жуков А.И., Кравченко А.И. Расчет сублимации с учетом диффузии примеси // Неорган. материалы. 2017. Т. 53. № 6. С. 662–668. https://doi.org/10.1134/S0020168517060161
- Кравченко А.И., Жуков А.И. Температурная зависимость диффузионного числа Пекле в процессах сублимации некоторых простых веществ // Неорган. материалы. 2021. Т. 57. № 7. С. 789–795. https://doi.org/10.1134/S0020168521070101
- Kravchenko A.I., Zhukov A.I., Datsenko O.A. Temperature Dependences of the Peclet Number in Sublimation Processes of Simple Substances // Problems Аt. Sci. Technol. 2022. № 1. P. 13–16. https://vant.kipt.kharkov.ua/
- Кравченко А.И., Жуков А.И. Коэффициенты разделения и числа Пекле в испарительных процессах рафинирования веществ с простой основой при температурах вблизи от температур плавления // Неорган. материалы. 2022. Т. 58. № 8. С. 891–897. https://doi.org/10.31857/S0002337X22080073
- Кравченко А.И., Жуков А.И. О зависимости эффективного коэффициента разделения от температуры и степени дистилляции // Неорган. материалы. 2023. Т. 59. № 8. С. 921–926. https://doi.org/10.31857/S0002337X23080080
- Kravchenko A.I. On Parameters of Evaporation Refining // Mater. Plus. 2023. V. 2. № 2. P. 1–4. https://doi.org/10.37256/mp02010002
- Бокштейн Б.С., Ярославцев А.Б. Диффузия атомов и ионов в твердых телах. М.: МИСиС, 2005. 362 с.
- Пазухин В.А., Фишер А.Я. Разделение и рафинирование металлов в вакууме. М.: Металлургия, 1969. 204 с.
- Несмеянов А.Н. Давление пара химических элементов. М.: Изд-во АН СССР, 1961. 396 с.
Supplementary files




