Термоэлектрические свойства манганитов Ca0.5−xSr0.5LuxMnO3−δ
- Authors: 1, 1, 1,2, 1, 1
-
Affiliations:
- Институт химии твердого тела УрО Российской академии наук
- Уральский федеральный университет им. первого Президента России Б.Н. Ельцина
- Issue: Vol 59, No 12 (2023)
- Pages: 1365-1371
- Section: Articles
- URL: https://journals.rcsi.science/0002-337X/article/view/252417
- DOI: https://doi.org/10.31857/S0002337X23120059
- EDN: https://elibrary.ru/VCIYSS
- ID: 252417
Cite item
Full Text
Abstract
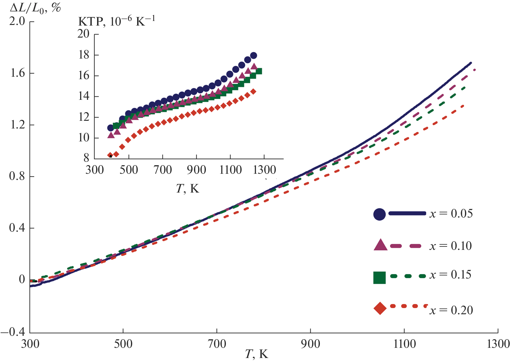
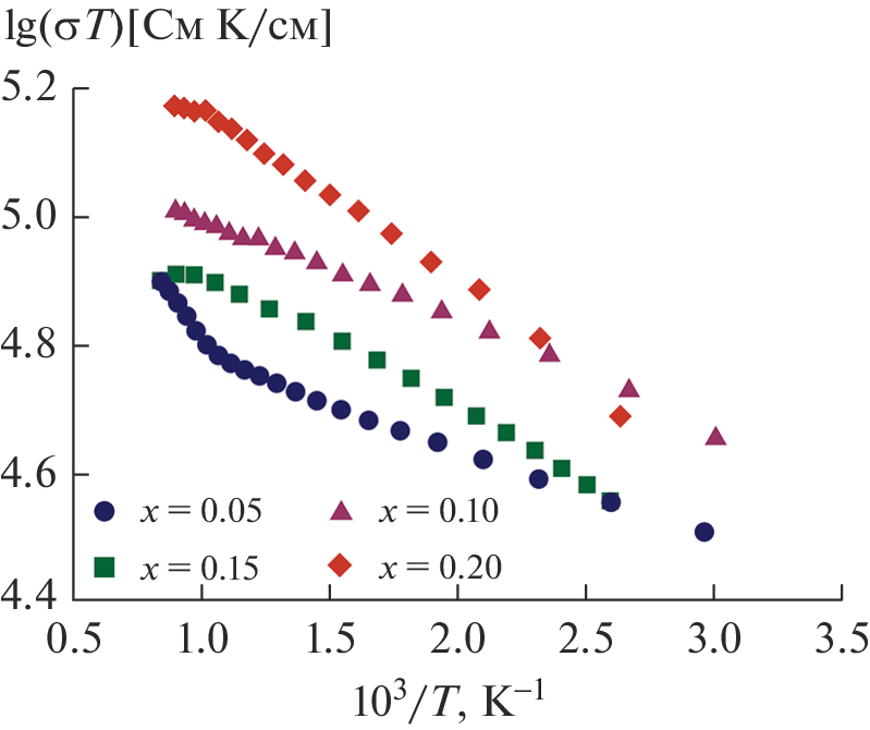
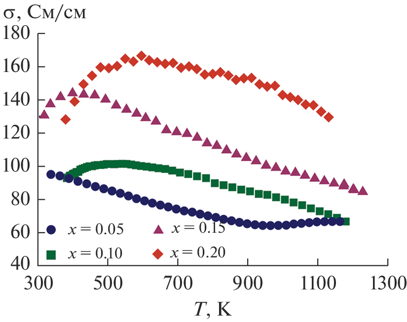
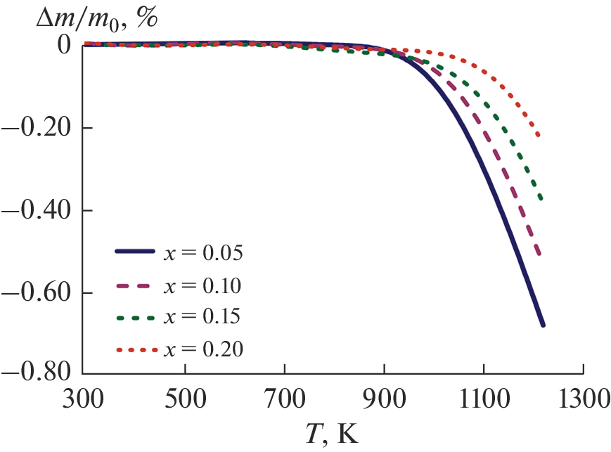
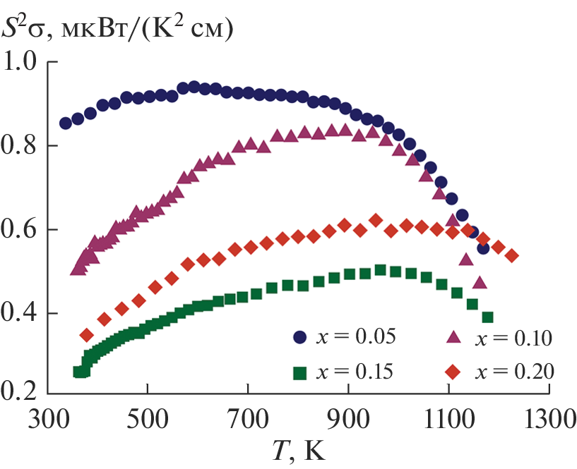
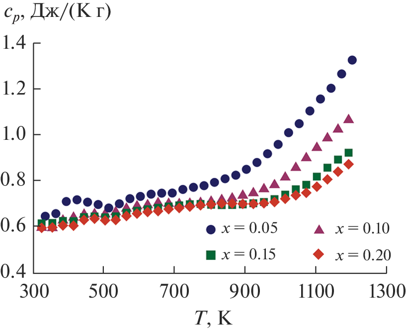
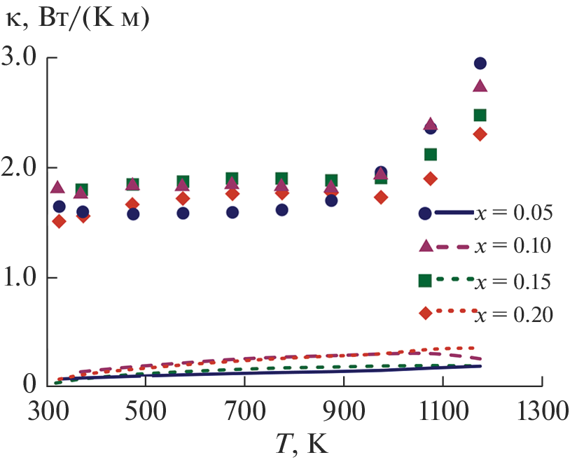
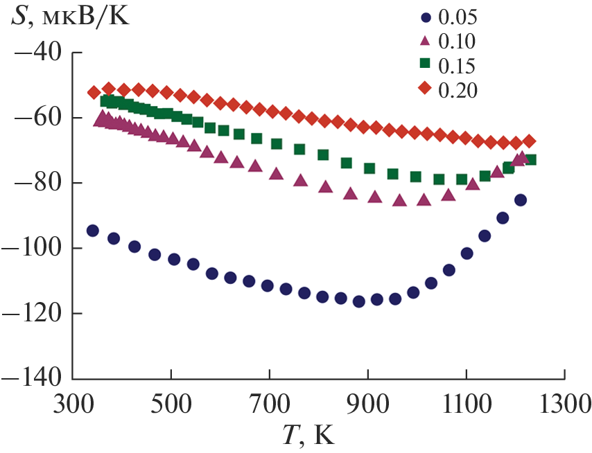
На основе результатов измерений удельной электропроводности (σ), коэффициента Зеебека (S), термического расширения, теплоемкости и температуропроводности на воздухе в температурном диапазоне 300–1200 K определены теплопроводность (κ), фактор мощности (S2σ) и термоэлектрическая добротность (ZT = S2σT/κ) манганитов Ca0.5−xSr0.5LuxMnO3−δ, где x = 0.05, 0.10, 0.15 и 0.20. Установлено, что наибольшие S2σ и ZT имеет состав Ca0.45Sr0.5Lu0.05MnO3−δ, благодаря высоким значениям S и низкой κ.
About the authors
Институт химии твердого тела УрО Российской академии наук
Email: i.a.leonidov@urfu.ru
Россия, 620108, Екатеринбург,
ул. Первомайская, 91
Институт химии твердого тела УрО Российской академии наук
Email: i.a.leonidov@urfu.ru
Россия, 620108, Екатеринбург,
ул. Первомайская, 91
Институт химии твердого тела УрО Российской академии наук; Уральский федеральный университет им. первого Президента России
Б.Н. Ельцина
Email: i.a.leonidov@urfu.ru
Россия, 620108, Екатеринбург,
ул. Первомайская, 91; Россия, 620002, Екатеринбург, ул. Мира, 19
Институт химии твердого тела УрО Российской академии наук
Email: i.a.leonidov@urfu.ru
Россия, 620108, Екатеринбург,
ул. Первомайская, 91
Институт химии твердого тела УрО Российской академии наук
Author for correspondence.
Email: i.a.leonidov@urfu.ru
Россия, 620108, Екатеринбург,
ул. Первомайская, 91
References
- Ni C., Irvine J.T.S. Calcium Manganite as Oxygen Electrode Materials for Reversible Solid Oxide Fuel Cell // Faraday Discuss. 2015. V. 182. P. 289–305. https://doi.org/10.1039/C5FD00026B
- Porras-Vazquez J.M., Losilla E.R., Keenan P.J., Hancock C.A., Kemp T.F., Hanna J.V., Slater P.R. Investigation into the Effect of Si Doping on the Performance of Sr1−yCayMnO3−δ SOFC Cathode Materials // Dalton Trans. 2013. V. 42. P. 5421–5429. https://doi.org/10.1039/C3DT32561J
- da Silva F.S., de Souza T.M. Novel Materials for Solid Oxide Fuel Cell Technologies: A Literature Review // Int. J. Hydrogen Energy. 2017. V. 42. P. 26020–26036. https://doi.org/10.1016/j.ijhydene.2017.08.105
- Sun C., Hui R., Roller J. Cathode Materials for Solid Oxide Fuel Cells: a Review // J. Solid State Electrochem. 2010. V. 14. P. 1125–1144. https://doi.org/10.1007/s10008-009-0932-0
- Esaka T., Morimoto H., Iwahara H. Nonstoichiometry in Perovskite-Type Oxide Cal−xCexMnO3−δ and Its Properties in Alkaline Solution // J. Appl. Electrochem. 1992. V. 22. P. 821–824. https://doi.org/10.1007/BF01023724
- Lucas C., Eiroa I., Nunes M.R., Russo P.A., Ribeiro Carrott M.M.L., da Silva Pereira M.I., Melo Jorge M.E. Preparation and Characterization of Ca1−xCexMnO3 Perovskite Electrodes // J. Solid State Electrochem. 2009. V. 13. P. 943–950. https://doi.org/10.1007/s10008-008-0630-3
- Wang Y., Sui Y., Wang X., Su W. Effects of Substituting La3+, Y3+ and Ce4+ for Ca2+ on the High Temperature Transport and Thermoelectric Properties of CaMnO3 // J. Phys. D: Appl. Phys. 2009. V. 42. P. 055010. https://doi.org/10.1088/0022-3727/42/5/055010
- Bhaskar A., Liu C.-J., Yuan J.J. Thermoelectric and Magnetic Properties of Ca0.98RE0.02MnO3−δ (RE = Sm, Gd, and Dy) // J. Electron. Mater. 2012. V. 41. P. 2338–2344. https://doi.org/10.1007/s11664-012-2159-6
- Löhnert R., Töpfer J. Enhancing the Thermoelectric Properties of CaMnO3−δ Via Optimal Substituent Selection // J. Solid State Chem. 2022. V. 315. P. 123437. https://doi.org/10.1016/j.jssc.2022.123437
- Madre M.A., Amaveda H., Dura O.J., Pelloquin D., Mora M., Torres M.A., Marinel S., Sotelo A. Effect of Y, La, and Yb Simultaneous Doping on the Thermal Conductivity and Thermoelectric Performances of CaMnO3 Ceramics // J. Alloys Compd. 2023. V. 954. P. 170201. https://doi.org/10.1016/j.jallcom.2023.170201
- Ohtaki M. Recent Aspects of Oxide Thermoelectric Materials for Power Generation from Mid-to-High Temperature Heat Source // J. Ceram. Soc. Jpn. 2011. V. 119. P. 770–775. https://doi.org/10.2109/jcersj2.119.770
- Okuda T., Fujii Y. Cosubstitution Effect on the Magnetic, Transport, and Thermoelectric Properties of the Electron-Doped Perovskite Manganite CaMnO3 // J. Appl. Phys. 2010. V. 108. P. 103702. https://doi.org/10.1063/1.3505756
- Chimaissem O., Dabrowski B., Kolesnik S., Mais J., Brown D.E., Kruk R., Prior P., Pyles B., Jorgensen J.D. Relationship between Structural Parameters and the Néel Temperature in Sr1−xCaxMnO3 (0 ≤ x ≤ 1) and Sr1−yBayMnO3 (y ≤ 0.2) // Phys. Rev. B. 2001. V. 64. P. 134412. https://doi.org/10.1103/PhysRevB.64.134412
- Kraus W., Nolze G. PowderCell for Windows – Version 2.4 – Structure Visualisation/Manipulation, Powder Pattern Calculation and Profile Fitting, Federal Institute for Materials Research and Testing. Berlin, 2000.
- Cusack N., Kendall P. The Absolute Scale of Thermoelectric Power at High Temperature // Proc. Phys. Soc. 1958. V. 72. P. 898–901. https://doi.org/10.1088/0370-1328/72/5/429
- Shannon R.D. Revised Effective Ionic Radii and Systematic Studies of Interatomie Distances in Halides and Chaleogenides // Acta Crystallogr., Sect. A. 1976. V. 32. P. 751–767. https://doi.org/10.1107/S0567739476001551
- Bosman I.G., Daal H.J. Small-Polaron Versus Band Conduction in Some Transition-Metal Oxides // Adv. Phys. 1970. V. 19. P. 1–117. https://doi.org/10.1080/00018737000101071
- Федорова О.М., Ведмидь Л.Б., Балакирева В.Б., Воротников В.А., Балакирев В.Ф. Влияние концентрации бария на структурные свойства и электропроводность твердых растворов Pr1−xBaxMnO3 (x = 0, 0.15, 0.25) // Неорган. материалы. 2021. Т. 57. № 4. С. 412–418. https://doi.org/10.31857/S0002337X21040047
- Hundley M.F., Neumeier J.J. Thermoelectric Power of La1−xCaxMnO3+δ: Inadequacy of the Nominal Mn3+/4+ Valence Approach // Phys. Rev. B. 1997. V. 55. P. 11511–11515. https://doi.org/10.1103/PhysRevB.55.11511
- Moskvin A.S. Disproportionation and Electronic Phase Separation in Parent Manganite LaMnO3 // Phys. Rev. B. 2009. V. 55. P. 115102. https://doi.org/10.1103/PhysRevB.79.115102
- Леонидов И.А., Константинова Е.И., Патракеев М.В., Марков А.А., Кожевников В.Л. Коэффициент Зеебека в парамагнитных манганитах Ca1−хPrхMnO3−δ // Неорган. материалы. 2017. Т. 53. № 6. С. 594–600. https://doi.org/10.1134/S0020168517060097
- Austin I.G., Mott N.F. Polarons in Crystalline and Non-Crystalline Materials // Adv. Phys. 2001. V. 50. P. 757–812. https://doi.org/10.1080/00018736900101267
- Konstantinova E.I., Ryzhkov M.A., Leonidova O.N., Litvinov V.A., Leonidov I.A. Influence of Holmium Doping and Oxygen Nonstoichiometry on the Transport Properties of Perovskite-Type Ca0.6−xSr0.4HoxMnO3−δ // J. Solid State Electrochem. 2023. https://doi.org/10.1007/s10008-023-05386-0
- Konstantinova E.I., Leonidov I.A., Markov A.A., Samigullina R.F., Chukin A.V., Leonidov I.I. The Impact of Morphotropy and Polymorphism on Electric Properties of Manganites: the Case of Sr0.5Ca0.5Mn1−xVxO3 // J. Mater. Chem. A. 2020. V. 8. P. 16497–16505. https://doi.org/10.1039/d0ta03731a
- Konstantinova E.I., Leonidova O.N., Chukin A.V., Leonidov I.A. Thermal Expansion and Phase Transitions in Sr0.5Ca0.5Mn1−xVxO3 Perovskites // Mater. Lett. 2021. V. 283. P. 128803. https://doi.org/10.1016/j.matlet.2020.128803
- Thiel P., Populoh S., Yoon S., Saucke G., Rubenis K., Weidenkaff A. Charge-Carrier Hopping in Highly Conductive CaMn1−xMxO3−δ Thermoelectrics // J. Phys. Chem. C. 2015. V. 119. P. 21860–21867. https://doi.org/10.1021/acs.jpcc.5b05882
- Thiel P., Eilertsen J., Populoh S., Saucke G., Döbeli M., Shkabko A., Sagarna L., Karvonen L., Weidenkaff A. Influence of Tungsten Substitution and Oxygen Deficiency on the Thermoelectric Properties of CaMnO3−δ // J. Appl. Phys. 2013. V. 114. P. 243707. https://doi.org/10.1063/1.4854475
Supplementary files












