Chemical Stability of the CsZr2(PO4)3 Phosphate with the Kosnarite Structure in Various Environments
- Authors: Alekseeva L.S.1, Nokhrin A.V.2, Orlova A.I.1, Boldin M.S.2, Voronin A.V.1, Murashov A.A.1, Chuvil’deev V.N.2
- 
							Affiliations: 
							- Lobachevsky State University
- Lobachevsky State University of Nizhny Novgorod
 
- Issue: Vol 59, No 9 (2023)
- Pages: 1060-1066
- Section: Articles
- URL: https://journals.rcsi.science/0002-337X/article/view/249402
- DOI: https://doi.org/10.31857/S0002337X23090026
- EDN: https://elibrary.ru/GFGANE
- ID: 249402
Cite item
Full Text
Abstract
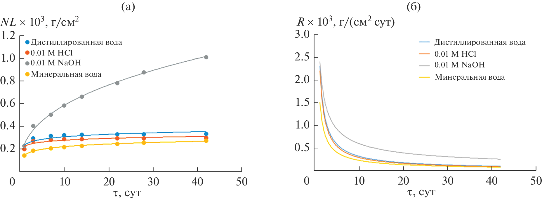
The CsZr2(PO4)3 phosphate isostructural with the mineral kosnarite has been prepared via sol–gel synthesis at 900°C, and ceramics based on this phosphate have been produced by spark plasma sintering. The relative density of the ceramics has been determined to be 75.5%. The chemical stability of the ceramic materials has been assessed at 90°C in static mode in distilled and mineral water, weakly acidic solution, and weakly alkaline solution. The minimum rates of Cs leaching were ~10–5 to 10–4 g/(cm2 day). We have assessed the effect of contact medium on the mechanism of cesium leaching from the CsZr2(PO4)3 ceramics.
About the authors
L. S. Alekseeva
Lobachevsky State University
														Email: golovkina_lyudmila@mail.ru
				                					                																			                												                								Россия, 603022, Нижний Новгород, пр. Гагарина, 23						
A. V. Nokhrin
Lobachevsky State University of Nizhny Novgorod
														Email: nokhrin@nifti.unn.ru
				                					                																			                												                								Russia, 603022, Nizhny Novgorod						
A. I. Orlova
Lobachevsky State University
														Email: golovkina_lyudmila@mail.ru
				                					                																			                												                								Russia, Nizhniy Novgorod, 603022						
M. S. Boldin
Lobachevsky State University of Nizhny Novgorod
														Email: nokhrin@nifti.unn.ru
				                					                																			                												                								Russia, 603022, Nizhny Novgorod						
A. V. Voronin
Lobachevsky State University
														Email: golovkina_lyudmila@mail.ru
				                					                																			                												                								603022, Nizhny Novgorod, Russia						
A. A. Murashov
Lobachevsky State University
														Email: golovkina_lyudmila@mail.ru
				                					                																			                												                								603022, Nizhny Novgorod, Russia						
V. N. Chuvil’deev
Lobachevsky State University of Nizhny Novgorod
							Author for correspondence.
							Email: nokhrin@nifti.unn.ru
				                					                																			                												                								Russia, 603022, Nizhny Novgorod						
References
- Donald I.W., Metcalfe B.L., Taylor R.N.J. The Immobilization of High Level Radioactive Wastes Using Ceramics and Glasses // J. Mater. Sci. 1997. V. 32. P. 5851–5887. https://doi.org/10.1023/A:1018646507438
- Stefanovsky S.V., Yudintsev S.V., Gieré R., Lumpkin G.R. Nuclear Waste Forms // Energy, Waste and Environment: Geological Society of London Special Publications. 2004. V. 236. P. 37–63. https://doi.org/10.1144/GSL.SP.2004.236.01.0
- Liu H., Wang H., Zhao J., Li J., Zhang X., Yang J., Zhu Y., Xie R., Zheng K., Huang H., Huo J. Immobilization of Cs and Sr within Perovskite-Type Ba0.7-ySry(La, Cs)0.3ZrO3 Glass/Ceramic Composite Waste Form // Ceram. Int. 2022. V. 48. № 23. Part A. P. 34298–34307. https://doi.org/10.1016/j.ceramint.2022.08.007
- Liu Q., Feng L., Sun Y., Fang S., Zhang Z., Han N., Wang J., Zhang C., Wang T. Effects of Phosphate Glass on Cs+ Immobilization in Geopolymer Glass-Ceramics // Ceram. Int. 2023. V. 49. № 4. P. 6545–6553. https://doi.org/10.1016/j.ceramint.2022.10.113
- Fang S., Sun Y., Feng L., Liu Q., Zhang Z., Han N., Wang P., Zhou Y., Wang J., Zhang C., Wang T. Effects of Borosilicate Glass on Pollucite Crystallization and Cs+ Immobilization in Geopolymer Materials // J. Non-Cryst. Solids. 2022. V. 595. P. 121836. https://doi.org/10.1016/j.jnoncrysol.2022.121836
- Yang Y., Cao X., Shi L., Zhang Z., Wang P., Li J., Sun Y., Chen S., Wang T., Ma L., Peng S. Thermal Evolution Effects on the Properties of Converting Cs-Polluted Soil into Pollucite-Base Glass-Ceramics for Radioactive Cesium Immobilization // J. Materiomics. 2021. V. 7. № 6. P. 1335–1343. https://doi.org/10.1016/j.jmat.2021.01.001
- Yang Y., Wang T., Zhang Z., Ke Z., Shan C., Cao X., Ma L., Peng S. A Novel Method to Convert Cs-Polluted sSoil into Pollucite-Base Glass-Ceramics for Cs Immobilization // Chem. Eng. J. 2020. V. 385. P. 123844. https://doi.org/10.1016/j.cej.2019.123844
- He P., Fu S., Wang M., Duan X., Wang Q., Li D., Yang Z., Jia D., Zhou Y. B2O3-Assisted Low-Temperature Crystallization of Pollucite Structures and Their Potential Applications in Cs+ Immobilization // J. Nucl. Mater. 2020. V. 540. P. 152314. https://doi.org/10.1016/j.jnucmat.2020.152314
- Wang J., Wei Y., Wang J., Zhang X., Wang Y., Li N. Simultaneous Immobilization of Radionuclides Sr and Cs by Sodium Zirconium Phosphate Type Ceramics and Its Chemical Durability // Ceram. Int. 2022. V. 48. № 9. P. 12772–12778. https://doi.org/10.1016/j.ceramint.2022.01.147
- Jing Z., Yuan Y., Hao W., Miao J. Synthesis of Pollucite with Cs-Polluted Incineration Ash Mixed with Soil for Immobilization of Radioactive Cs // J. Nucl. Mater. 2018. V. 510. P. 141–148. https://doi.org/10.1016/j.jnucmat.2018.07.047
- Grote R., Hong T., Shuller-Nickles L., Amoroso J., Tang M., Brinkman K.S. Radiation Tolerant Ceramics for Nuclear Waste Immobilization: Structure and Stability of Cesium Containing Hollandite of the Form (Ba,Cs)1.33(Zn,Ti)8O16 and (Ba,Cs)1.33(Ga,Ti)8O16 // J. Nucl. Mater. 2019. V. 518. P. 166–176. https://doi.org/10.1016/j.jnucmat.2019.03.005
- Fang Z., Xu X., Yang X., Xie H., Zhao X., Wang B., Zhao D., Yang Y. Structural Stability and Aqueous Durability of Cs Incorporation into BaAl2Ti6O16 Hollandite // J. Nucl. Mater. 2022. V. 565. P. 153716. https://doi.org/10.1016/j.jnucmat.2022.153716
- Orlova A.I. Crystalline Phosphates for HLW Immobilization – Composition, Structure, Properties and Production of Ceramics. Spark Plasma Sintering as a Promising Sintering Technology // J. Nucl. Mater. 2022. V. 559. P. 153407. https://doi.org/10.1016/j.jnucmat.2021.153407
- Петьков В.И., Асабина Е.А., Лукутцов А.А., Корчемкин И.В., Алексеев А.А., Демарин В.Т. Иммобилизация цезия в минералоподобные матрицы со структурой тридимита, коснарита, лангбейнита // Радиохимия. 2015. Т. 57. № 6. С. 540–546.
- Nomura N., Kikawada Y., Oi T. Immobilization of Cesium by Zirconium Phosphate // J. Radioanal. Nucl. Chem. 2015. V. 304. P. 683–691. https://doi.org/10.1007/s10967-014-3853-z
- Chen S., Guo J.-F., Xu B., Sun X.-W. Sintering of Metakaolin-Based Na-Pollucite Ceramics and Their Immobilization of Cs // Ann. Nucl. Energy. 2020. V. 145. P. 107595. https://doi.org/10.1016/j.anucene.2020.107595
- Орлова А.И., Трошин А.Н., Михайлов Д.А., Чувильдеев В.Н., Болдин М.С., Сахаров Н.В., Нохрин А.В., Скуратов В.А., Кирилкин Н.С. Фосфорсодержащие соединения цезия со структурой поллуцита. Получение высокоплотной керамики и ее радиационные испытания // Радиохимия. 2014. Т. 56. № 1. С. 87–92.
- Balaji D., Kumar S.P. Langbeinite Phosphosilicates K2–xCsxZr2P2SiO12 (x = 0, 0.5, 1.0, 1.5, 2.0) for Cesium Encapsulation; Synthesis, Chemical Durability and Thermal Expansion Study // Ceram. Int. 2021. V. 47. № 20. P. 28951–28959. https://doi.org/10.1016/j.ceramint.2021.07.055
- Орлова А.И., Корытцева А.К., Логинова Е.Е. Семейство фосфатов со структурой лангбейнита. Кристаллохимический аспект иммобилизации радиоактивных отходов // Радиохимия. 2011. Т. 53. № 1. С. 48–57
- Montel J.-M. Minerals and Design of New Waste Forms for Conditioning Nuclear Waste // C. R. Geoscience. 2011. V. 343. P. 230–236.
- Scheetz B.E., Agrawal D.K., Breval E., Roy R. Sodium Zirconium–Phosphate (NZP) as a Host Structure for Nuclear Waste Immobilization: A Review // Waste Manag. 1994. V. 14. P. 489–505.
- Asabina E.A., Pet’kov V.I. Synthesis, Structural Study and Thermal Expansion of Cesium Dititanium Tris(Phosphate) // Eurasian Chem. Technol. J. 2010. V. 12. № 3–4. P. 189–194.
- Salvato D., Vigier J.-F., Cologna M., Luzzi L., Somers J., Tyrpekl V. Spark Plasma Sintering of Fine Uranium Carbide Powder // Ceram. Int. 2017. V. 43. № 1. Part A. P. 866. https://doi.org/10.1016/j.ceramint.2016.09.136
- Yang K., Kardoulaki E., Zhao D., Broussard A., Metzger K., White J.T., Sivack M.R., Mcclellan K.J., Lahoda E.J., Lian J. Uranium Nitride (UN) Pellets with Controllable Microstructure and Phase – Fabrication by Spark Plasma Sintering and Their Thermal-Mechanical and Oxidation Properties // J. Nucl. Mater. 2021. V. 557. P. 153272. https://doi.org/10.1016/j.jnucmat.2021.153272
- Chakraborty N., Basu D., Fisher W. Thermal Expansion of Ca1–xSrxZr4(PO4)6 Ceramics // J. Eur. Ceram. Soc. 2005. V. 25. P. 1885–1893. https://doi.org/10.1016/j.jeurceramsoc.2004.06.019
- Orlova A.I., Volgutov V.Yu., Mikhailov D.A., Bykov D.M., Skuratov V.A., Chuvil’deev V.N., Nokhrin A.V., Boldin M.S., Sakharov N.V. Phosphate Ca1/4Sr1/4Zr2(PO4)3 of the NaZr2(PO4)3 Structure Type: Synthesis of a Dense Ceramic Material and Its Radiation Testing // J. Nucl. Mater. 2014. V. 446. № 1–3. P. 232–239. https://doi.org/10.1016/j.jnucmat.2013.11.025
- De Groot G.J., Van der Sloot H.A. Determination of Leaching Characteristics of Waste Minerals Leading to Environmental Product Certification // Stabilization and Solidification of Hazardous, Radioactive and Mixed Wastes / Eds. Gilliam T.M., Wiles C.C. V. 2. Philadelphia: ASTM, 1992. P. 149–170.
- Torras J., Buj I., Rovira M., de Pablo J. Semi-Dynamic Leaching Tests of Nickel Containing Wastes Stabilized/Solidified with Magnesium Potassium Phosphate Cements // J. Hazard. Mater. 2011. V. 186. P. 1954–1960. https://doi.org/10.1016/j.jhazmat.2010.12.093
- Xue Q., Wang P., Li J.-S., Zhang T.-T., Wang S.-Y. Investigation of the Leaching Behavior of Lead in Stabilized/Solidified Waste Using a Two-Year Semi-Dynamic Leaching Test // Chemosphere. 2017. V. 166. P. 1–7. https://doi.org/10.1016/j.chemosphere.2016.09.059
- Орлова В.А., Козлов П.В., Джевелло К.А., Балакина В.А., Беланова Е.А., Галузин Д.Д., Ремизов М.Б. Фазообразование в фосфатных и боросиликатных стеклах, содержащих железо, хром, никель и серу // Неорган. материалы. 2019. Т. 55. С. 890–897. https://doi.org/10.1134/S0002337X19080116
Supplementary files
 
				
			 
					 
						 
						 
						 
						 
				
 
  
  
  Email this article
			Email this article 






