Synthesis and Spectral Properties of La1 – xBWO6:Erx and La1 – x – yBWO6:Ybx,Ery Upconversion Phosphors
- Authors: Krut’ko V.A.1, Komova M.G.1, Pominova D.V.2, Popov A.V.2, Yaroslavtsev A.B.1, Nikiforova G.E.3, Gavrikov A.V.1
-
Affiliations:
- Kurnakov Institute of General and Inorganic Chemistry, Russian Academy of Sciences
- Prokhorov General Physics Institute, Russian Academy of Sciences
- Kurnakov Institute of General and Inorganic Chemistry of the Russian Academy of Sciences
- Issue: Vol 59, No 9 (2023)
- Pages: 1022-1034
- Section: Articles
- URL: https://journals.rcsi.science/0002-337X/article/view/249394
- DOI: https://doi.org/10.31857/S0002337X23090087
- EDN: https://elibrary.ru/GFJUXD
- ID: 249394
Cite item
Full Text
Abstract
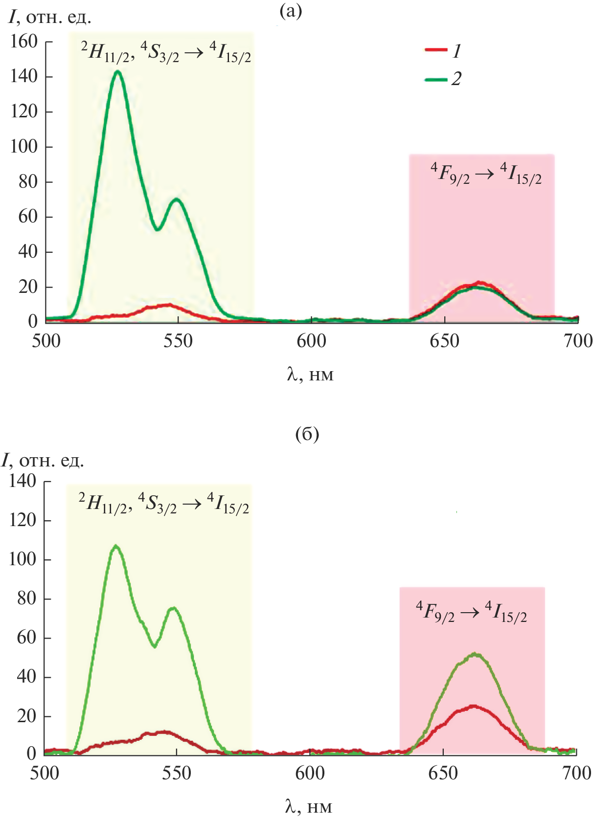
Using LaBWO6 as a host, we have prepared a series of erbium-doped lanthanum borotungstates (LBTs), La1 – xErxBWO6, and Yb/Er-codoped La1 – x – yYbxEryBWO6, which crystallize in monoclinic crystal system (sp. gr. P21). The materials have been synthesized by ceramic route and a sol–gel (Pechini) process, followed by annealing. We have studied the spectral properties of the synthesized LBTs exhibiting the luminescence in the green spectral region upon the excitation in the near-infrared region. The highest efficiency, with Ben = 0.55%, has been obtained for La0.97Yb0.02Er0.01BWO6 composition. Sol–gel synthesis (Pechini process) has been shown to be the optimal approach for the preparation of such phosphors. Due to a combination of high upconversion efficiency and thermal stability, the synthesized upconversion phosphors can be used for the design of white light sources pumped in the near-IR spectral region.
About the authors
V. A. Krut’ko
Kurnakov Institute of General and Inorganic Chemistry, Russian Academy of Sciences
Email: kroutko@igic.ras.ru
119991, Moscow, Russia
M. G. Komova
Kurnakov Institute of General and Inorganic Chemistry, Russian Academy of Sciences
Email: kroutko@igic.ras.ru
119991, Moscow, Russia
D. V. Pominova
Prokhorov General Physics Institute, Russian Academy of Sciences
Email: kroutko@igic.ras.ru
119991, Moscow, Russia
A. V. Popov
Prokhorov General Physics Institute, Russian Academy of Sciences
Email: kroutko@igic.ras.ru
119991, Moscow, Russia
A. B. Yaroslavtsev
Kurnakov Institute of General and Inorganic Chemistry, Russian Academy of Sciences
Email: kroutko@igic.ras.ru
119991, Moscow, Russia
G. E. Nikiforova
Kurnakov Institute of General and Inorganic Chemistry of the Russian Academy of Sciences
Email: smirnova_macha1989@mail.ru
Russian Federation, 119991, Moscow
A. V. Gavrikov
Kurnakov Institute of General and Inorganic Chemistry, Russian Academy of Sciences
Author for correspondence.
Email: kroutko@igic.ras.ru
119991, Moscow, Russia
References
- Стефанович С.Ю., Венсковский Н.У., Мосунов А.В., Крутько В.А. Оптическая нелинейность и диэлектрические свойства нецентросиммеричных кристаллов семейства боратовольфраматов РЗЭ Ln3BWO9 // Журн. неорган. химии. 2001. Т. 46. № 12. С. 2040–2045.
- Maczka M., Tomaszewski P., Stepien-Damm J., Majchrowski A., Macalik L., Hanuza J. Crystal Structure and Vibration Properties of Nonlinear Eu3BWO9 and Nd3BWO9 // J. Solid State Chem. 2004. V. 177. P. 3595–3602. https://doi.org/10.1016/j.jssc.2004.06.016
- Крутько В.А., Попов А.В., Воронько Ю.К., Чудинова Н.Н. Люминесцентные свойства гексагональных Ln3BWO9 (Ln–Gd, Y), активированных ионами Yb3+ // Неорган. материалы. 2010. Т. 46. № 8. С. 1001–1006. https://doi.org/10.1134/S0020168510080182
- Zhu R., Huang Y., Seo H.J. A-Red-Emitting Phosphor of Eu-Based Borotungstate Eu3BWO9 for White Light-Emitting Diodes // J. Electrochem. Soc. 2010. V. 157. P. H1116–H1120. https://doi.org/10.1149/1.3501964
- Lu-Ling Li, Xiao-Yu Yue, Wen-Jing Zhang et al. Magnetism and Giant Magnetocaloric Effect in Rare-Earth-Based Compounds R3BWO9 (R = Gd, Dy, Ho) // Chin. Phys. B. 2021. V. 30. № 7. P. 077501–077505. https://doi.org/10.1088/1674-1056/abf916
- Yanlin Huang, Hyo Jin Seo. A Novel Red-Emitting Nano-Phosphor of Eu3+–Doped LaBWO6 // Mater. Lett. 2012. V. 84. P. 107–109. https://doi.org/10.1016/j.matlet.2012.06.051
- Sun C.X., Lin Z.B., Zhang L.Z., Huang Y.S., Wang Chin G.F. Phase Diagram, Growth and Optical Property of the LaBWO6 Crystal // J. Struct. Chem. 2013. V. 32. P. 1088–1092. https://www.researchgate.net/publication/283843691
- Daoyun Zhu, Zhongfei Mu. Synthesis of Sm3+ and Dy3+ Doped LaBWO6 for Evaluation as Potential Materials in Luminescent Display Applications // Displays. 2014. V. 35. P. 261–265. https://doi.org/10.1016/j.displa.2014.09.005
- Xiong F.B., Lin H.F., Ma Z., Wang Y.P., Lin H.Y., Meng X.G., Shen H.X., Zhu W.Z. Luminescence Properties of a Novel Red-Emitting Phosphor LaBMO6: Pr3+ (M = W, Mo) // Opt. Mater. 2017. V. 66. P. 474–479. https://doi.org/10.1016/j.optmat.2017.03.002
- Bin Li, Xiaoyong Huang, Heng Guo, Yujia Zeng. Energy Transfer and Tunable Photoluminescence of LaBWO6:Tb3+, Eu3+ Phosphors for Near-UV White LEDs // Dyes Pigments. 2018. V. 150. P. 67–72. https://doi.org/10.1016/j.dyepig.2017.11.003
- Kaminskii A.A. Monoclinic LaBWO6: A New SRS-Active Crystal // Quant. Electron. 2019. V. 49. P. 377–379. https://doi.org/10.1070/QEL16980
- Джуринский Б.Ф., Резник Е.М., Тананаев И.В. Синтез и физико-химические свойства боратовольфраматов редкоземельных элементов // Журн. неорган. химии. 1980. Т. 25. № 11. С. 2981–2987.
- Палкина К.К., Сайфуддинов В.З., Кузнецов В.Г., Джуринский Б.Ф., Лысанова Г.В., Резник Е.М. Структура и синтез кристаллов соединений La2O3·B2O3·2MoO3 и La2O3·B2O3·2WO3 // Журн. неорган. химии. 1979. Т. 24. № 5. С. 1193–1198.
- Aleksandrov L., Komatsu T., Iordanova R., Dimitriev Y. Raman Spectroscopic Study of Structure of WO3-La2O3-B2O3 Glasses with no Color and Crystallization of LaBWO6 // Opt. Mater. 2011. V. 34. P. 201–206. https://doi.org/10.1016/j.optmat.2011.08.002
- Gancheva M., Aleksandrov L., Iordanova R., Dimitriev Y. Synthesis of Amorphous and Crystalline LaBWO6 Using Mechanochemical Activation // J. Chem. Technol. Metall. 2015. V. 50. № 4. P. 467–473.
- Джуринский Б.Ф., Лысанова Г.В. Соединения редкоземельных элементов со смешанными оксоанионами: синтез, строение, границы существования в ряду La–Lu // Журн. неорган. химии. 1998. Т. 43. № 12. С. 2065–2074.
- Mu-Huai Fang, Zhen Bao, Wen-Tse Huang, Ru-Shi Liu. Evolutionary Generation of Phosphor Materials and Their Progress in Future Applications for Light-Emitting Diodes // Chem. Rev. 2022. V. 122. № 13. P. 11474–11513. https://doi.org/10.1021/acs.chemrev.1c00952
- Lei Zhao, Dandan Meng, Yanyan Li, Yun Zhang, Haiqing Wang. Tunable Emitting Phosphors K3Gd(PO4)2: Tm3+-Dy3+ for Light-Emitting Diodes and Field Emission Displays // J. Alloys Compd. 2017. V. 728. P. 564–570. https://doi.org/10.1016/j.jallcom.2017.09.025
- Jin X.Y., Xie Y., Tang R., Geng X., Che J.Z., Lou L.Y., Chen W.S., Deng B., Yu R.J. Novel Double Perovskite Sr3WO6: Sm3+, Na+ Orange-Red Emitting Phosphors with High Thermal Stability for White LEDs // J. Alloys Compd. 2022. V. 899. P. 162739. https://doi.org/10.1016/j.jallcom.2021.162739
- Dai J., Zhao D., Zhang R.J., Jia L., Yao Q.X. Enhancing Luminescence Intensity and Improving Thermostability of Red Phosphors Li3Ba2La3(WO4)8: Eu3+ by Co-doping with Sm3+ Ions // J. Alloys Compd. 2022. V. 891. P.161973. https://doi.org/10.1016/j.jallcom.2021.161973
- Yadav R.S., Monika, Rai S.B., Dhoble S.J. Recent Advances on Morphological Changes in Chemically Engineered Rare Earth Doped Phosphor Materials // Prog. Solid State Chem. 2020. V. 57. P. 100267. https://doi.org/10.1016/j.progsolidstchem.2019.100267
- Moine B., Bizarri G. Degradation Mechanism of Phosphors by Vacuum Ultraviolet Excitation // Opt. Mater. 2006. V. 28. № 6–7. P. 587–591. https://doi.org/10.1016/j.optmat.2005.09.067
- Zhang Z.H., Wang Y.H., Li X.X., Du Y.K., Liu W.J. Photoluminescence Degradation and Color Shift Studies of Annealed BaMgAl10O17:Eu2+ Phosphor // J. Lumin. 2007. V. 122–123. P. 1003–1005. https://doi.org/10.1016/j.jlumin.2006.01.351
- Yang J., Zhang C., Peng C., Li C., Wang L., Chai R., Lin J. Controllable Red, Green, Blue (RGB) and Bright White Upconversion Luminescence of Lu2O3:Yb3+ /Er3+/Tm3+ Nanocrystals through Single Laser Excitation at 980 nm // Chemistry. 2009. V. 15. № 18. P. 4649–4655. https://doi.org/10.1002/chem.200802106
- Mahalingam V., Naccache R., Ventrone F., Capobianco J.A. Enhancing Upconverted White Light in Tm3+/Yb3+/Ho3+–Doped GdVO4 Nanocrystals via Incorporation of Li+ Ions // Opt. Express. 2012. V. 20. № 1. P. 111–119. https://doi.org/10.1364/OE.20.000111
- Banski M., Podhorodecki A., Misiewicz J., Afzaal M., Abdelhady L.A., O’Brien P. Selective Excitation of Eu3+ in the Core of Small β-NaGdF4 Nanocrystals // J. Mater. Chem. C. 2013. V. 1. P. 801–807. https://doi.org/10.1039/C2TC00132B
- Gao C., Zheng P., Liu Q. et al. Recent Advances of Upconversion Nanomaterials in the Biological Field // Nanomaterials. 2021. V. 11. P. 2474. https://doi.org/10.3390/nano11102474
- Wang G., Jia G., Wang J., Kong H., Lu Y., Zhang C. Novel Rare Earth Activator Ions-Doped Perovskite-Type La4Ti3O12 Phosphors: Facile Synthesis, Structure, Multicolor Emissions, and Potential Applications // J. Alloys Compd. 2021. V. 877. P. 160217. https://doi.org/10.1016/j.jallcom.2021.160217
- Roy A., Dwivedi A., Mishra H., Rai A.K., Rai S.B. Generation of Color Tunable Emissions from Ho3+/Tm3+/Yb3+ Co-doped YTaO4 Phosphors through NIR Excitation Under Different Conditions (Variation of Concentration, Excitation Pump Power and the External Temperature) // J. Alloys Compd. 2021. V. 865. P. 158938. https://doi.org/10.1016/j.jallcom.2021.158938
- Lim C.S., Aleksandrovsky A.S., Molokeev M.S., Oreshonkov A., Atuchin V. Structural and Spectroscopic Effects of Li+ Substitution for Na+ in LixNa1–x-CaGd0.5Ho0.05Yb0.45(MoO4)3 Scheelite-Type Upconversion Phosphors // Molecules. 2021. V. 26. № 23. P. 7357. https://doi.org/ https://www.researchgate.net/publication/280610057https://doi.org/10.3390/molecules26237357
- Крутько В.А., Комова М.Г., Поминова Д.В. Синтез и люминесцентные свойства наноразмерных боратовольфраматов Gd3–x – yYbxEryBWO9 // Неорган. материалы. 2018. Т. 54. № 11. С. 1210–1216. https://doi.org/10.1134/S0002337X1811009X
- Orlovskii Yu.V., Popov A.V., Platonov V.V., Fedorenko S.G., Sildos I., Osipov V.V. Fluctuation Kinetics of Fluorescence Hopping Quenching in the Nd3+:Y2O3 Spherical Nanoparticles // J. Lumin. 2013. V. 139 P. 91–97. https://doi.org/10.1016/j.jlumin.2013.02.029
- Fedorenko S.G., Popov A.V., Vagapova E.A., Baranchikov A.E., Orlovskii Yu.V. Concentration Self-Quenching of Luminescence in Crystal Matrices Activated by Nd3+ Ions: Theory and Experiment // J. Lumin. 2018. V. 198. P. 138–145. https://doi.org/10.1016/J.JLUMIN.2018.02.032
- Dıaz-Torres L.A., Barbosa-Garcıa O., Pinto-Robledo V., David Sumida D., Hernandez J.M. Evidence of Energy Transfer among Nd Ions in Nd:YAG Driven by a Mixture of Exchange and Multipolar Interactions // Opt. Mater. 1998. V. 10. P. 319–326.
- Popov A.V., Fedorenko S.G., Krut’ko V.A., Iskhakova L.D., Komova M.G., Timofeeva E.E., Kononkova N.N., Orlovskii Yu.V. Impurity Fluorescence Self-Quenching in Nd3+: Gd3BWO9 Krystalline Powders: Experiment and Analysis // J. Alloys Compd. 2020. V. 822. P. 153654. https://doi.org/10.1016/j.jallcom.2020.153654
- Reddy B.R., Venkateswarlu P. Energy up-conversion in LaF3: Nd3+ // J. Chem. Phys. 1983. V. 79. P. 5845–5850.https://doi.org/10.1063/1.445754
- Ikonnikov D.A., Voronov V.N., Molokeev M.S., Aleksandrovsky A.S. Upconversion Luminescence of CsScF4 Crystals Doped with Erbium and Ytterbium // Opt. Mater. 2016. V. 60. P. 584–589. https://doi.org/10.1016/j.optmat.2016.09.016
- Aleksandrovsky A.S., Gudim I.A., Krylov A.S., Malakhovskii A.V., Temerov V.L. Upconversion Luminescence of YAl3(BO3)4:(Yb3+, Tm3+) Crystals // J. Alloys Compd. 2010. V. 496. P. L18–L21. https://doi.org/10.1016/j.jallcom.2010.02.089
- Ryabova A.V., Pominova D.V., Krut’ko V.A., Komova M.G., Loschenov V.B. Spectroscopic Research of Upconversion Nanomaterials Based on Complex Oxide Compounds Doped with Rare-Earth Ion Pairs: Benefit for Cancer Diagnostics by Upconversion Fluorescence and Radio Sensitive Methods // Photon Lasers Med. 2013. V. 2. № 2. P. 117–128. https://doi.org/10.1515/plm-2013-0013
- Auzel F. Upconversion and Anti-Stokes Processes with f and d Ions in Solids // Chem. Rev. 2004. V. 104. № 1. P. 139–173.
- Kaiser M., Würth C., Kraft M., Soukka T., Resch-Genger U. Explaining the Influence of Dopant Concentration and Excitation Power Density on the Luminescence and Brightness of β-NaYF4: Yb3+, Er3+ Nanoparticles: Measurements and Simulations // Nano Res. 2019. V. 12. № 8. P. 1871–1879. https://doi.org/10.1007/s12274-019-2450-4
- Liu J., Deng H., Huang Z., Zhang Y., Chen D., Shao Y. Phonon-Assisted Energy Back Transfer-Induced Multicolor Upconversion Emission of Gd2O3:Yb3+/Er3+ Nanoparticles under Near-Infrared Excitation // Phys. Chem. Chem. Phys. 2015. V. 17. P. 15412–15418.
- Punjabi A., Wu X., Tokatli-Apollon A., El-Rifai M., Lee H., Zhang Y., Wang C., Liu Z., Chan E.M., Duan C. Amplifying the Red-Emission of Upconverting Nanoparticles for Biocompatible Clinically Used Prodrug-Induced Photodynamic Therapy // ACS Nano. 2014. V. 8. P. 10621–10630.
- Ермолаев В.Л., Свешникова Е.Б., Бодунов Е.Н. Индуктивно-резонансный механизм безызлучательных переходов в ионах и молекулах в конденсированной фазе // УФН. 1996. Т. 166. № 3. С. 279–302.
- Becker P., van der Wolf B., Bohat’y L., Dong J., Kaminskii A.A. Monoclinic LaBO2MoO4:Nd3+ – a New SE- and (χ(2) +χ(3))-Active Crystal for Multifunctional Lasers // Laser Phys. Lett. 2008. V. 5. № 10. P. 737–745. https://doi.org/10.1002/lapl.200810056
Supplementary files














